Baseline predictors of responders to auricular point acupressure in chronic low back pain.

Nada Lukkahatai, Wanqi Chen, Jennifer Kawi, Hulin Wu, Claudia M Campbell, Johannes Thrul, Xinran Huang, Paul Christo, Constance M Johnson
{"title":"Baseline predictors of responders to auricular point acupressure in chronic low back pain.","authors":"Nada Lukkahatai, Wanqi Chen, Jennifer Kawi, Hulin Wu, Claudia M Campbell, Johannes Thrul, Xinran Huang, Paul Christo, Constance M Johnson","doi":"10.1016/j.ctmp.2025.200215","DOIUrl":null,"url":null,"abstract":"<p><strong>Background: </strong>Chronic low back pain (cLBP) is a major cause of disability, with varied patient responses to treatments. Auricular point acupressure (APA) has shown potential as a non-pharmacological intervention, but individual responses may differ significantly.</p><p><strong>Objective: </strong>This study aimed to determine the predictability of baseline characteristics, including functional disability, symptom severity, and treatment expectancy, on clinically significant responses to APA in reducing pain and improving function.</p><p><strong>Methods: </strong>A secondary analysis was performed using data from a randomized controlled trial with 263 cLBP patients. Participants were randomly assigned to targeted APA (T-APA), non-targeted APA (NT-APA), or to a control group. APA responders were defined as those with at least a 1.5-point reduction in pain intensity or a 2.5-point improvement in the Roland-Morris Disability Questionnaire (RMDQ). Predictors of response were assessed using logistic regression and machine learning models, including the Random Forest and Support Vector Machine (SVM).</p><p><strong>Results: </strong>Baseline pain, physical function, sleep disturbance, and treatment expectancy were key predictors. The Random Forest model had the highest accuracy for T-APA; however, logistic regression performed best in NT-APA. SVM was most accurate in the control group, with predictive accuracy varying by group (AUC 60.9%-80%). The Least Absolute Shrinkage and Selection Operator (LASSO) method was found to be overly aggressive, often eliminating important variables.</p><p><strong>Conclusion: </strong>This study highlights the variability in APA treatment responses for cLBP. While predictive models provide useful insights, further research with larger datasets is needed to improve prediction accuracy and generalizability, enhancing personalized treatment approaches for cLBP.</p>","PeriodicalId":520843,"journal":{"name":"Clinical traditional medicine and pharmacology","volume":"6 2","pages":""},"PeriodicalIF":0.0000,"publicationDate":"2025-06-01","publicationTypes":"Journal Article","fieldsOfStudy":null,"isOpenAccess":false,"openAccessPdf":"https://www.ncbi.nlm.nih.gov/pmc/articles/PMC12095896/pdf/","citationCount":"0","resultStr":null,"platform":"Semanticscholar","paperid":null,"PeriodicalName":"Clinical traditional medicine and pharmacology","FirstCategoryId":"1085","ListUrlMain":"https://doi.org/10.1016/j.ctmp.2025.200215","RegionNum":0,"RegionCategory":null,"ArticlePicture":[],"TitleCN":null,"AbstractTextCN":null,"PMCID":null,"EPubDate":"2025/4/14 0:00:00","PubModel":"Epub","JCR":"","JCRName":"","Score":null,"Total":0}
引用次数: 0

Abstract

Background: Chronic low back pain (cLBP) is a major cause of disability, with varied patient responses to treatments. Auricular point acupressure (APA) has shown potential as a non-pharmacological intervention, but individual responses may differ significantly.

Objective: This study aimed to determine the predictability of baseline characteristics, including functional disability, symptom severity, and treatment expectancy, on clinically significant responses to APA in reducing pain and improving function.

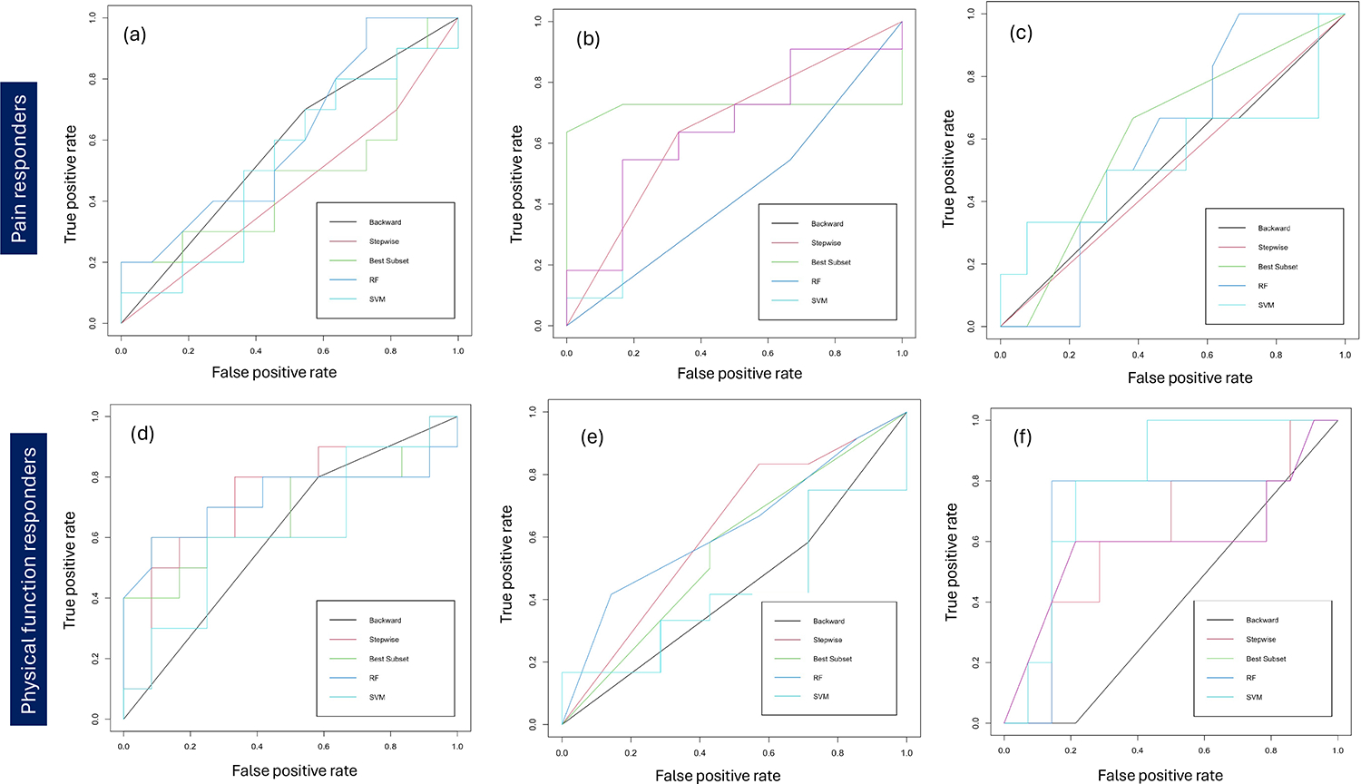
Methods: A secondary analysis was performed using data from a randomized controlled trial with 263 cLBP patients. Participants were randomly assigned to targeted APA (T-APA), non-targeted APA (NT-APA), or to a control group. APA responders were defined as those with at least a 1.5-point reduction in pain intensity or a 2.5-point improvement in the Roland-Morris Disability Questionnaire (RMDQ). Predictors of response were assessed using logistic regression and machine learning models, including the Random Forest and Support Vector Machine (SVM).

Results: Baseline pain, physical function, sleep disturbance, and treatment expectancy were key predictors. The Random Forest model had the highest accuracy for T-APA; however, logistic regression performed best in NT-APA. SVM was most accurate in the control group, with predictive accuracy varying by group (AUC 60.9%-80%). The Least Absolute Shrinkage and Selection Operator (LASSO) method was found to be overly aggressive, often eliminating important variables.

Conclusion: This study highlights the variability in APA treatment responses for cLBP. While predictive models provide useful insights, further research with larger datasets is needed to improve prediction accuracy and generalizability, enhancing personalized treatment approaches for cLBP.

Abstract Image

慢性腰痛患者耳穴穴位按压应答者的基线预测因素。
背景:慢性腰痛(cLBP)是致残的主要原因,患者对治疗的反应各不相同。耳穴穴位按压(APA)已显示出作为非药物干预的潜力,但个体反应可能存在显着差异。目的:本研究旨在确定基线特征的可预测性,包括功能残疾、症状严重程度和治疗预期,以及APA在减轻疼痛和改善功能方面的临床显著反应。方法:采用263例cLBP患者的随机对照试验数据进行二次分析。参与者被随机分配到靶向APA (T-APA),非靶向APA (NT-APA)或对照组。APA应答者定义为疼痛强度至少降低1.5分或Roland-Morris残疾问卷(RMDQ)改善2.5分的患者。使用逻辑回归和机器学习模型评估反应预测因子,包括随机森林和支持向量机(SVM)。结果:基线疼痛、身体功能、睡眠障碍和治疗预期是关键的预测因素。随机森林模型对T-APA的准确率最高;然而,逻辑回归在NT-APA中表现最好。支持向量机在对照组中准确率最高,各组预测准确率差异较大(AUC为60.9% ~ 80%)。最小绝对收缩和选择算子(LASSO)方法被发现过于激进,经常消除重要的变量。结论:本研究强调了APA治疗cLBP疗效的可变性。虽然预测模型提供了有用的见解,但需要对更大的数据集进行进一步的研究,以提高预测的准确性和普遍性,增强cLBP的个性化治疗方法。
本文章由计算机程序翻译,如有差异,请以英文原文为准。
求助全文
约1分钟内获得全文 求助全文
来源期刊
自引率
0.00%
发文量
0
×
引用
GB/T 7714-2015
复制
MLA
复制
APA
复制
导出至
BibTeX EndNote RefMan NoteFirst NoteExpress
×
提示
您的信息不完整,为了账户安全,请先补充。
现在去补充
×
提示
您因"违规操作"
具体请查看互助需知
我知道了
×
提示
确定
请完成安全验证×
copy
已复制链接
快去分享给好友吧!
我知道了
右上角分享
点击右上角分享
0
联系我们:info@booksci.cn Book学术提供免费学术资源搜索服务,方便国内外学者检索中英文文献。致力于提供最便捷和优质的服务体验。 Copyright © 2023 布克学术 All rights reserved.
京ICP备2023020795号-1
ghs 京公网安备 11010802042870号
Book学术文献互助
Book学术文献互助群
群 号:604180095
Book学术官方微信