Study on the Association Network of Tuberculosis Lesions in Adult Extrapulmonary Tuberculosis in China: A Large-Scale Multicenter Observational Study.

IF 2.6 4区 医学 Q3 INFECTIOUS DISEASES
Jiajia Yu, Yunqing Chang, Chen Liang, Shengsheng Liu, Liang Li, Jian Du, Youcai Li, Hongyan Chen, Jianxiong Liu, Jinshan Ma, Mingwu Li, Jingmin Qin, Wei Shu, Peilan Zong, Yi Zhang, Xiaofeng Yan, Zhiyi Yang, Yongkang Dong, Zaoxian Mei, Qunyi Deng, Pu Wang, Wenge Han, Meiying Wu, Ling Chen, Xinguo Zhao, Lei Tan, Fujian Li, Chao Zheng, Hongwei Liu, Xinjie Li, Ertai A, Yingrong Du, Fenglin Liu, Wenyu Cui, Song Yang, Xiaohong Chen, Quanhong Wang, Junfeng Han, Qingyao Xie, Yanmei Feng, Wenyu Liu, Peijun Tang, Jianyong Zhang, Jian Zheng, Dawei Chen, Xiangyang Yao, Tong Ren, Yang Li, Yuanyuan Li, Lei Wu, Qiang Song, Jian Zhang, Mei Yang, Yuanyuan Liu, Shuliang Guo, Kun Yan, Xinghua Shen, Dan Lei, Yangli Zhang, Shenjie Tang, Wanli Kang
{"title":"Study on the Association Network of Tuberculosis Lesions in Adult Extrapulmonary Tuberculosis in China: A Large-Scale Multicenter Observational Study.","authors":"Jiajia Yu, Yunqing Chang, Chen Liang, Shengsheng Liu, Liang Li, Jian Du, Youcai Li, Hongyan Chen, Jianxiong Liu, Jinshan Ma, Mingwu Li, Jingmin Qin, Wei Shu, Peilan Zong, Yi Zhang, Xiaofeng Yan, Zhiyi Yang, Yongkang Dong, Zaoxian Mei, Qunyi Deng, Pu Wang, Wenge Han, Meiying Wu, Ling Chen, Xinguo Zhao, Lei Tan, Fujian Li, Chao Zheng, Hongwei Liu, Xinjie Li, Ertai A, Yingrong Du, Fenglin Liu, Wenyu Cui, Song Yang, Xiaohong Chen, Quanhong Wang, Junfeng Han, Qingyao Xie, Yanmei Feng, Wenyu Liu, Peijun Tang, Jianyong Zhang, Jian Zheng, Dawei Chen, Xiangyang Yao, Tong Ren, Yang Li, Yuanyuan Li, Lei Wu, Qiang Song, Jian Zhang, Mei Yang, Yuanyuan Liu, Shuliang Guo, Kun Yan, Xinghua Shen, Dan Lei, Yangli Zhang, Shenjie Tang, Wanli Kang","doi":"10.1155/cjid/4944872","DOIUrl":null,"url":null,"abstract":"<p><p><b>Background:</b> Extrapulmonary tuberculosis (EPTB) is a significant health problem which can lead to severe morbidity and mortality. In clinical practice, EPTB can have a variety of nonspecific clinical manifestations and can be concurrent with other types of EPTB. As information pertaining to concurrent EPTB is scarce, research efforts are needed to find concurrent EPTB types and to explore the association networks and rules of concurrent EPTB. <b>Materials and Methods:</b> An observational multicenter study was carried out at 21 hospitals from 15 provinces in China from Jan 1, 2011, to Dec 31, 2017. All the adult EPTB inpatients (≥ 15 years) were included. Multivariable logistic regression analysis was used to examine the associations of gender and age group for concurrent EPTB. The association network and rules for concurrent EPTB were analyzed by the Apriori algorithm. <b>Results:</b> A total of 75,993 adult EPTB inpatients (not including EPTB concurrent with PTB) were included. The ratio of male:female was 1.32. The most common types of EPTB lesions were tuberculous pleurisy (46.47%). In the fully adjusted multivariable logistic regression models, it was found that female EPTB patients (aOR = 1.129, 95% CI: 1.081-1.178) were more likely to have concurrent EPTB. As age increased, the risk of concurrent EPTB decreased (aOR < 1, <i>p</i> value for trend < 0.001). The association network graph showed that almost all the EPTB diseases may be concurrent with other types of EPTB. Ureteric tuberculosis and sacral tuberculosis diseases existed mainly in concurrence with other types of EPTB (about 80%). Tuberculous pleurisy and tuberculous lymphadenitis of the neck could be concurrent with more than 60 other types of EPTB disease. The most common concurrent EPTB types were tuberculous peritonitis concurrent with tuberculous pleurisy (1.64%). Sacral tuberculosis concurrentwith lumbar vertebra tuberculosis had the highest confidence value (68.56%). The strongest association rule was found for vesical tuberculosis concurrent with ureteric tuberculosis (lift = 166.18) and ureteric tuberculosis concurrent with vesical tuberculosis (lift = 166.18). <b>Conclusion:</b> The present study revealed the occurrence of concurrent EPTB types and analyzed the association network and rules among adult EPTB for the first time in a large sample population. Clinicians should be alert to the incidence of concurrent EPTB and that these patients require administration of customized treatment regimens in order to achieve the best outcomes.</p>","PeriodicalId":50715,"journal":{"name":"Canadian Journal of Infectious Diseases & Medical Microbiology","volume":"2025 ","pages":"4944872"},"PeriodicalIF":2.6000,"publicationDate":"2025-05-16","publicationTypes":"Journal Article","fieldsOfStudy":null,"isOpenAccess":false,"openAccessPdf":"https://www.ncbi.nlm.nih.gov/pmc/articles/PMC12101905/pdf/","citationCount":"0","resultStr":null,"platform":"Semanticscholar","paperid":null,"PeriodicalName":"Canadian Journal of Infectious Diseases & Medical Microbiology","FirstCategoryId":"3","ListUrlMain":"https://doi.org/10.1155/cjid/4944872","RegionNum":4,"RegionCategory":"医学","ArticlePicture":[],"TitleCN":null,"AbstractTextCN":null,"PMCID":null,"EPubDate":"2025/1/1 0:00:00","PubModel":"eCollection","JCR":"Q3","JCRName":"INFECTIOUS DISEASES","Score":null,"Total":0}
引用次数: 0

Abstract

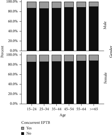
Background: Extrapulmonary tuberculosis (EPTB) is a significant health problem which can lead to severe morbidity and mortality. In clinical practice, EPTB can have a variety of nonspecific clinical manifestations and can be concurrent with other types of EPTB. As information pertaining to concurrent EPTB is scarce, research efforts are needed to find concurrent EPTB types and to explore the association networks and rules of concurrent EPTB. Materials and Methods: An observational multicenter study was carried out at 21 hospitals from 15 provinces in China from Jan 1, 2011, to Dec 31, 2017. All the adult EPTB inpatients (≥ 15 years) were included. Multivariable logistic regression analysis was used to examine the associations of gender and age group for concurrent EPTB. The association network and rules for concurrent EPTB were analyzed by the Apriori algorithm. Results: A total of 75,993 adult EPTB inpatients (not including EPTB concurrent with PTB) were included. The ratio of male:female was 1.32. The most common types of EPTB lesions were tuberculous pleurisy (46.47%). In the fully adjusted multivariable logistic regression models, it was found that female EPTB patients (aOR = 1.129, 95% CI: 1.081-1.178) were more likely to have concurrent EPTB. As age increased, the risk of concurrent EPTB decreased (aOR < 1, p value for trend < 0.001). The association network graph showed that almost all the EPTB diseases may be concurrent with other types of EPTB. Ureteric tuberculosis and sacral tuberculosis diseases existed mainly in concurrence with other types of EPTB (about 80%). Tuberculous pleurisy and tuberculous lymphadenitis of the neck could be concurrent with more than 60 other types of EPTB disease. The most common concurrent EPTB types were tuberculous peritonitis concurrent with tuberculous pleurisy (1.64%). Sacral tuberculosis concurrentwith lumbar vertebra tuberculosis had the highest confidence value (68.56%). The strongest association rule was found for vesical tuberculosis concurrent with ureteric tuberculosis (lift = 166.18) and ureteric tuberculosis concurrent with vesical tuberculosis (lift = 166.18). Conclusion: The present study revealed the occurrence of concurrent EPTB types and analyzed the association network and rules among adult EPTB for the first time in a large sample population. Clinicians should be alert to the incidence of concurrent EPTB and that these patients require administration of customized treatment regimens in order to achieve the best outcomes.

Abstract Image

Abstract Image

中国成人肺外结核病变关联网络研究:一项大规模多中心观察性研究。
背景:肺外结核(EPTB)是一种严重的健康问题,可导致严重的发病率和死亡率。在临床实践中,EPTB可具有多种非特异性临床表现,并可与其他类型的EPTB并发。由于并发性EPTB的相关信息较少,因此需要进一步研究并发性EPTB的类型,探索并发性EPTB的关联网络和规律。材料与方法:2011年1月1日至2017年12月31日,在中国15个省份的21家医院开展了一项多中心观察性研究。所有成年EPTB住院患者(≥15岁)均纳入研究。采用多变量logistic回归分析来检验性别和年龄组与并发EPTB的关系。利用Apriori算法对并发EPTB的关联网络和规则进行了分析。结果:共纳入75,993例成人EPTB住院患者(不包括EPTB合并PTB)。男女比例为1.32。最常见的EPTB病变类型为结核性胸膜炎(46.47%)。在完全调整后的多变量logistic回归模型中,发现女性EPTB患者(aOR = 1.129, 95% CI: 1.081 ~ 1.178)更容易并发EPTB。随着年龄的增加,并发EPTB的风险降低(aOR < 1,趋势p值< 0.001)。关联网络图显示,几乎所有的EPTB疾病都可能与其他类型的EPTB并发。输尿管结核和骶部结核主要与其他类型EPTB并发(约80%)。结核性胸膜炎和颈部结核性淋巴结炎可并发60多种其他类型的EPTB疾病。结核性腹膜炎合并结核性胸膜炎最常见(1.64%)。骶骨结核合并腰椎结核置信度最高(68.56%)。膀胱结核合并输尿管结核(lift = 166.18)和输尿管结核合并膀胱结核(lift = 166.18)的相关性最强。结论:本研究首次在大样本人群中揭示了成人EPTB并发型的发生,分析了成人EPTB的关联网络和规律。临床医生应该警惕并发EPTB的发生率,并且这些患者需要定制治疗方案以达到最佳结果。
本文章由计算机程序翻译,如有差异,请以英文原文为准。
求助全文
约1分钟内获得全文 求助全文
来源期刊
CiteScore
4.30
自引率
0.00%
发文量
108
审稿时长
>12 weeks
期刊介绍: Canadian Journal of Infectious Diseases and Medical Microbiology is a peer-reviewed, Open Access journal that publishes original research articles, review articles, and clinical studies related to infectious diseases of bacterial, viral and parasitic origin. The journal welcomes articles describing research on pathogenesis, epidemiology of infection, diagnosis and treatment, antibiotics and resistance, and immunology.
×
引用
GB/T 7714-2015
复制
MLA
复制
APA
复制
导出至
BibTeX EndNote RefMan NoteFirst NoteExpress
×
提示
您的信息不完整,为了账户安全,请先补充。
现在去补充
×
提示
您因"违规操作"
具体请查看互助需知
我知道了
×
提示
确定
请完成安全验证×
copy
已复制链接
快去分享给好友吧!
我知道了
右上角分享
点击右上角分享
0
联系我们:info@booksci.cn Book学术提供免费学术资源搜索服务,方便国内外学者检索中英文文献。致力于提供最便捷和优质的服务体验。 Copyright © 2023 布克学术 All rights reserved.
京ICP备2023020795号-1
ghs 京公网安备 11010802042870号
Book学术文献互助
Book学术文献互助群
群 号:604180095
Book学术官方微信