Face value: The effect of facial aesthetic treatment on first impressions and partner preferences.

IF 1.1 4区 心理学 Q3 OPHTHALMOLOGY
Perception Pub Date : 2025-09-01 Epub Date: 2025-05-26 DOI:10.1177/03010066251337353
Bastian Jaeger, Berno Bucker, Jacques van der Meulen, Mark van Vugt
{"title":"Face value: The effect of facial aesthetic treatment on first impressions and partner preferences.","authors":"Bastian Jaeger, Berno Bucker, Jacques van der Meulen, Mark van Vugt","doi":"10.1177/03010066251337353","DOIUrl":null,"url":null,"abstract":"<p><p>People across cultures engage in various practices that alter their appearance (e.g., makeup, tanning, facial aesthetic treatment). Theories in social and evolutionary psychology propose that the primary function of these practices is to create an appearance perceived more positively by others, ultimately resulting in more favorable outcomes in social, romantic, or professional relations. In two preregistered studies that improved upon and extended prior work, we tested the effect of popular types of minimally invasive facial aesthetic treatment on how people are perceived by others. Study 1 (2,720 raters, 114 targets) showed that treatment significantly increased perceived attractiveness (a 0.09-point change on a seven-point scale), but not perceived approachability (e.g., trustworthiness) or capability (e.g., competence). Study 2 (481 raters, 81 targets) showed that treatment significantly increased targets' desirability as a short-term romantic partner (a 0.10-point change on a seven-point scale) and as a platonic friend (a 0.08-point change on a seven-point scale), but not their desirability as a long-term romantic partner. Thus, our results suggest that a single session of minimally invasive facial aesthetic treatment leads to more positive perceptions on dimensions related to attractiveness, but these effects are relatively small.</p>","PeriodicalId":49708,"journal":{"name":"Perception","volume":" ","pages":"651-673"},"PeriodicalIF":1.1000,"publicationDate":"2025-09-01","publicationTypes":"Journal Article","fieldsOfStudy":null,"isOpenAccess":false,"openAccessPdf":"https://www.ncbi.nlm.nih.gov/pmc/articles/PMC12326030/pdf/","citationCount":"0","resultStr":null,"platform":"Semanticscholar","paperid":null,"PeriodicalName":"Perception","FirstCategoryId":"102","ListUrlMain":"https://doi.org/10.1177/03010066251337353","RegionNum":4,"RegionCategory":"心理学","ArticlePicture":[],"TitleCN":null,"AbstractTextCN":null,"PMCID":null,"EPubDate":"2025/5/26 0:00:00","PubModel":"Epub","JCR":"Q3","JCRName":"OPHTHALMOLOGY","Score":null,"Total":0}
引用次数: 0

Abstract

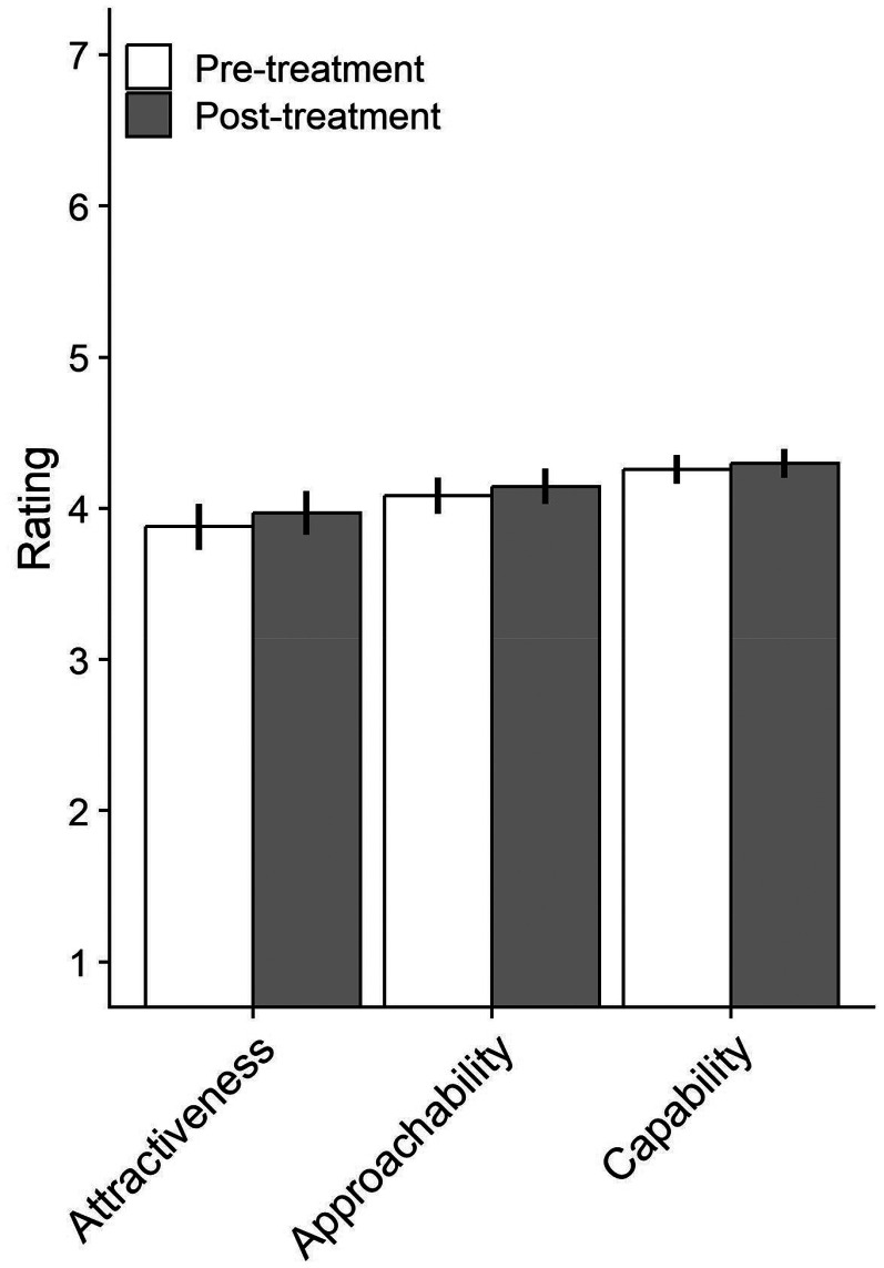
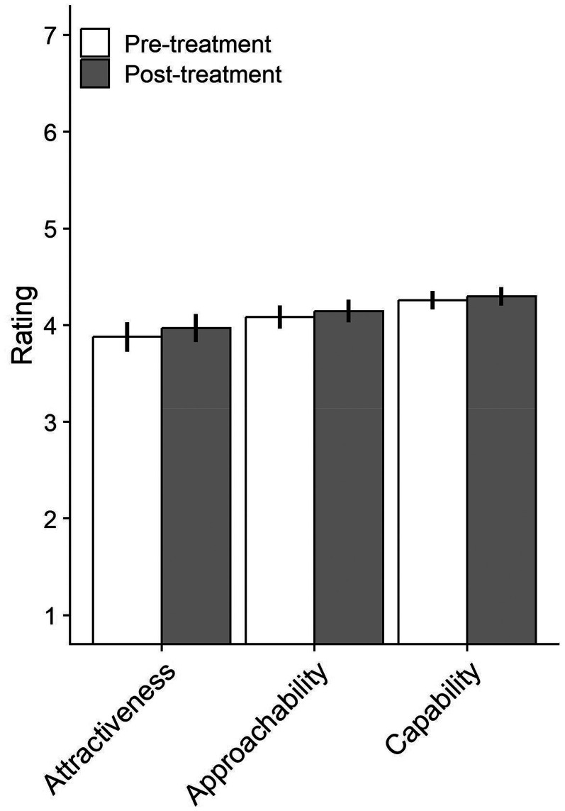
People across cultures engage in various practices that alter their appearance (e.g., makeup, tanning, facial aesthetic treatment). Theories in social and evolutionary psychology propose that the primary function of these practices is to create an appearance perceived more positively by others, ultimately resulting in more favorable outcomes in social, romantic, or professional relations. In two preregistered studies that improved upon and extended prior work, we tested the effect of popular types of minimally invasive facial aesthetic treatment on how people are perceived by others. Study 1 (2,720 raters, 114 targets) showed that treatment significantly increased perceived attractiveness (a 0.09-point change on a seven-point scale), but not perceived approachability (e.g., trustworthiness) or capability (e.g., competence). Study 2 (481 raters, 81 targets) showed that treatment significantly increased targets' desirability as a short-term romantic partner (a 0.10-point change on a seven-point scale) and as a platonic friend (a 0.08-point change on a seven-point scale), but not their desirability as a long-term romantic partner. Thus, our results suggest that a single session of minimally invasive facial aesthetic treatment leads to more positive perceptions on dimensions related to attractiveness, but these effects are relatively small.

Abstract Image

Abstract Image

Abstract Image

Abstract Image

Abstract Image

Abstract Image

面部价值:面部美容治疗对第一印象和伴侣偏好的影响。
不同文化背景下的人们会采取不同的做法来改变自己的外表(例如,化妆、晒黑、面部美容治疗)。社会心理学和进化心理学的理论认为,这些练习的主要功能是创造一种被他人更积极地感知的外表,最终在社会、爱情或职业关系中产生更有利的结果。在两项预先注册的研究中,我们改进并扩展了先前的工作,测试了流行类型的微创面部美容治疗对他人如何看待人们的影响。研究1(2720名评分者,114个目标)表明,治疗显著增加了感知吸引力(在7分制中变化0.09分),但没有感知到可接近性(如可信度)或能力(如胜任力)。研究2(481名评分者,81名测试对象)显示,治疗显著提高了测试对象作为短期浪漫伴侣(在7分制中提高了0.10分)和作为柏拉图式朋友(在7分制中提高了0.08分)的可取性,但没有提高他们作为长期浪漫伴侣的可取性。因此,我们的研究结果表明,单次微创面部美容治疗会导致对吸引力相关维度的更积极的看法,但这些影响相对较小。
本文章由计算机程序翻译,如有差异,请以英文原文为准。
求助全文
约1分钟内获得全文 求助全文
来源期刊
Perception
Perception 医学-心理学
CiteScore
2.80
自引率
5.90%
发文量
74
审稿时长
4-8 weeks
期刊介绍: Perception is a traditional print journal covering all areas of the perceptual sciences, but with a strong historical emphasis on perceptual illusions. Perception is a subscription journal, free for authors to publish their research as a Standard Article, Short Report or Short & Sweet. The journal also publishes Editorials and Book Reviews.
×
引用
GB/T 7714-2015
复制
MLA
复制
APA
复制
导出至
BibTeX EndNote RefMan NoteFirst NoteExpress
×
提示
您的信息不完整,为了账户安全,请先补充。
现在去补充
×
提示
您因"违规操作"
具体请查看互助需知
我知道了
×
提示
确定
请完成安全验证×
copy
已复制链接
快去分享给好友吧!
我知道了
右上角分享
点击右上角分享
0
联系我们:info@booksci.cn Book学术提供免费学术资源搜索服务,方便国内外学者检索中英文文献。致力于提供最便捷和优质的服务体验。 Copyright © 2023 布克学术 All rights reserved.
京ICP备2023020795号-1
ghs 京公网安备 11010802042870号
Book学术文献互助
Book学术文献互助群
群 号:604180095
Book学术官方微信