The Association Between Academic Achievement and Subsequent Youth Offending: A Systematic Review and Meta-Analysis.

IF 1.7 3区 社会学 Q2 CRIMINOLOGY & PENOLOGY
M Lankester, C Coles, A Trotter, S Scott, J Downs, H Dickson, A Wickersham
{"title":"The Association Between Academic Achievement and Subsequent Youth Offending: A Systematic Review and Meta-Analysis.","authors":"M Lankester, C Coles, A Trotter, S Scott, J Downs, H Dickson, A Wickersham","doi":"10.1007/s40865-025-00266-9","DOIUrl":null,"url":null,"abstract":"<p><p>The association between academic achievement and youth offending has yet to be clearly quantified. This meta-analysis aims to provide a robust estimate of the longitudinal association between academic achievement and subsequent youth offending. We searched PsycINFO, ERIC, British Education Index, and Web of Science from inception to 2 April 2024 using a comprehensive search strategy. We identified eligible studies reporting on the association between academic achievement and subsequent youth offending, as measured using self-report or administrative records up to the age of 25 years. Correlation coefficients and odds ratios were pooled in a meta-analysis. Effect modifiers were investigated in a sub-group analysis, and other findings were narratively synthesised. PROSPERO record: CRD42023402103. Seventeen studies were included, of which eight were pooled in a meta-analysis. The findings showed a small but statistically significant association between lower academic achievement and youth offending (pooled Fisher <i>z</i> =  - 0.21, 95% CI [- 0.29, - 0.12], <i>I</i> <sup>2</sup> = 98.4%). Sub-group analysis and narrative synthesis yielded mixed findings on the possible role of measurement timing and offence types. Lower academic achievement was associated with subsequent youth offending, underlining the need for a child-first approach to early prevention and intervention strategies in educational and forensic settings.</p><p><strong>Supplementary information: </strong>The online version contains supplementary material available at 10.1007/s40865-025-00266-9.</p>","PeriodicalId":45772,"journal":{"name":"Journal of Developmental and Life-Course Criminology","volume":"10 4","pages":"477-500"},"PeriodicalIF":1.7000,"publicationDate":"2024-01-01","publicationTypes":"Journal Article","fieldsOfStudy":null,"isOpenAccess":false,"openAccessPdf":"https://www.ncbi.nlm.nih.gov/pmc/articles/PMC12102114/pdf/","citationCount":"0","resultStr":null,"platform":"Semanticscholar","paperid":null,"PeriodicalName":"Journal of Developmental and Life-Course Criminology","FirstCategoryId":"90","ListUrlMain":"https://doi.org/10.1007/s40865-025-00266-9","RegionNum":3,"RegionCategory":"社会学","ArticlePicture":[],"TitleCN":null,"AbstractTextCN":null,"PMCID":null,"EPubDate":"2025/3/20 0:00:00","PubModel":"Epub","JCR":"Q2","JCRName":"CRIMINOLOGY & PENOLOGY","Score":null,"Total":0}
引用次数: 0

Abstract

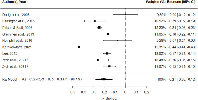
The association between academic achievement and youth offending has yet to be clearly quantified. This meta-analysis aims to provide a robust estimate of the longitudinal association between academic achievement and subsequent youth offending. We searched PsycINFO, ERIC, British Education Index, and Web of Science from inception to 2 April 2024 using a comprehensive search strategy. We identified eligible studies reporting on the association between academic achievement and subsequent youth offending, as measured using self-report or administrative records up to the age of 25 years. Correlation coefficients and odds ratios were pooled in a meta-analysis. Effect modifiers were investigated in a sub-group analysis, and other findings were narratively synthesised. PROSPERO record: CRD42023402103. Seventeen studies were included, of which eight were pooled in a meta-analysis. The findings showed a small but statistically significant association between lower academic achievement and youth offending (pooled Fisher z =  - 0.21, 95% CI [- 0.29, - 0.12], I 2 = 98.4%). Sub-group analysis and narrative synthesis yielded mixed findings on the possible role of measurement timing and offence types. Lower academic achievement was associated with subsequent youth offending, underlining the need for a child-first approach to early prevention and intervention strategies in educational and forensic settings.

Supplementary information: The online version contains supplementary material available at 10.1007/s40865-025-00266-9.

Abstract Image

Abstract Image

Abstract Image

学业成绩与青少年后续犯罪的关系:系统回顾与元分析。
学业成绩和青少年犯罪之间的关系还没有得到明确的量化。本荟萃分析的目的是提供一个可靠的估计纵向联系之间的学业成绩和随后的青少年犯罪。我们使用综合搜索策略检索了PsycINFO, ERIC, British Education Index和Web of Science,从创立到2024年4月2日。我们确定了符合条件的研究,报告了学业成绩与随后的青少年犯罪之间的关系,用自我报告或25岁以下的行政记录来衡量。在荟萃分析中合并相关系数和优势比。在亚组分析中研究了效果调节剂,并叙述了其他发现。普洛斯彼罗记录:CRD42023402103。纳入了17项研究,其中8项纳入了荟萃分析。研究结果显示,较低的学习成绩与青少年犯罪之间存在很小但有统计学意义的关联(合并Fisher z = - 0.21, 95% CI [- 0.29, - 0.12], I 2 = 98.4%)。分组分析和叙述综合在测量时间和犯罪类型的可能作用方面产生了不同的发现。较低的学习成绩与随后的青少年犯罪有关,这强调了在教育和司法环境中采取儿童优先的早期预防和干预策略的必要性。补充信息:在线版本包含补充资料,可在10.1007/s40865-025-00266-9获得。
本文章由计算机程序翻译,如有差异,请以英文原文为准。
求助全文
约1分钟内获得全文 求助全文
来源期刊
CiteScore
3.00
自引率
10.50%
发文量
28
期刊介绍: The Journal of Developmental and Life Course Criminology seeks to advance knowledge and understanding of developmental dimensions of offending across the life-course.  Research that examines current theories, debates, and knowledge gaps within Developmental and Life Course Criminology is encouraged.  The journal welcomes theoretical papers, empirical papers, and papers that explore the translation of developmental and life-course research into policy and/or practice.  Papers that present original research or explore new directions for examination are also encouraged.   The journal also welcomes all rigorous methodological approaches and orientations.  The Journal of Developmental and Life Course Criminology encourages submissions from a broad array of related disciplines including but not limited to psychology, statistics, sociology, psychiatry, neuroscience, geography, political science, history, social work, epidemiology, public health, and economics.
×
引用
GB/T 7714-2015
复制
MLA
复制
APA
复制
导出至
BibTeX EndNote RefMan NoteFirst NoteExpress
×
提示
您的信息不完整,为了账户安全,请先补充。
现在去补充
×
提示
您因"违规操作"
具体请查看互助需知
我知道了
×
提示
确定
请完成安全验证×
copy
已复制链接
快去分享给好友吧!
我知道了
右上角分享
点击右上角分享
0
联系我们:info@booksci.cn Book学术提供免费学术资源搜索服务,方便国内外学者检索中英文文献。致力于提供最便捷和优质的服务体验。 Copyright © 2023 布克学术 All rights reserved.
京ICP备2023020795号-1
ghs 京公网安备 11010802042870号
Book学术文献互助
Book学术文献互助群
群 号:604180095
Book学术官方微信