Potential of seven insulin resistance indicators as biomarkers to predict infertility risk in U.S. women of reproductive age: a cross-sectional study.

IF 4.7 2区 医学 Q1 ENDOCRINOLOGY & METABOLISM
Ruihua Yan, Jiao Zhang, Hongyun Ma, Yang Wu, Yang Fan
{"title":"Potential of seven insulin resistance indicators as biomarkers to predict infertility risk in U.S. women of reproductive age: a cross-sectional study.","authors":"Ruihua Yan, Jiao Zhang, Hongyun Ma, Yang Wu, Yang Fan","doi":"10.1186/s12958-025-01416-w","DOIUrl":null,"url":null,"abstract":"<p><strong>Background: </strong>Insulin resistance(IR) is a key mechanism underlying both obesity and metabolic syndrome, with significant implications for the onset and progression of female infertility. This study systematically examines the associations between seven insulin resistance indicators and the risk of infertility in U.S. women of reproductive age, while also evaluating the diagnostic value of these indicators in predicting infertility.</p><p><strong>Method: </strong>This cross-sectional study analyzed data from the 2013-2018 National Health and Nutrition Examination Survey (NHANES) to explore the relationship between seven insulin resistance indicators and infertility risk. The indicators included the Metabolic Score for Insulin Resistance (METS-IR), Triglyceride-Glucose Index (TyG), Triglyceride-Glucose-Waist Circumference (TyG-WC), Triglyceride-Glucose-Body Mass Index (TyG-BMI), Triglyceride-Glucose-Waist-to-Height Ratio (TyG-WHtR), Homeostasis Model Assessment of Insulin Resistance (HOMA-IR), and Triglyceride/High-Density Lipoprotein Ratio (TG/HDL). Receiver Operating Characteristic (ROC) curves were used to assess the diagnostic accuracy of each insulin resistance indicator in predicting infertility. Additionally, smooth curve fitting and threshold effect analysis were employed to further explore the relationship between insulin resistance indicators with high diagnostic efficacy and infertility.</p><p><strong>Results: </strong>This study included 1,100 women aged 20-45, of whom 140 (12.61%) were diagnosed with infertility. The results revealed significant positive correlations between METS-IR, TyG-BMI, TyG-WC, TyG-WHtR, and infertility risk. Specifically, as TyG-WC and TyG-WHtR levels increased, the risk of infertility rose linearly, while METS-IR and TyG-BMI exhibited a nonlinear positive association with infertility risk. No significant correlations were observed between TyG, HOMA-IR, TG/HDL, and infertility. Finally, ROC curve analysis indicated that METS-IR outperformed the other six insulin resistance indicators in predicting infertility risk.</p><p><strong>Conclusion: </strong>METS-IR, TyG-BMI, TyG-WC, and TyG-WHtR are significantly associated with the risk of infertility in U.S. women of reproductive age, with METS-IR demonstrating the highest predictive power. These findings suggest that METS-IR may have substantial clinical utility in evaluating infertility risk.</p>","PeriodicalId":21011,"journal":{"name":"Reproductive Biology and Endocrinology","volume":"23 1","pages":"77"},"PeriodicalIF":4.7000,"publicationDate":"2025-05-24","publicationTypes":"Journal Article","fieldsOfStudy":null,"isOpenAccess":false,"openAccessPdf":"https://www.ncbi.nlm.nih.gov/pmc/articles/PMC12102792/pdf/","citationCount":"0","resultStr":null,"platform":"Semanticscholar","paperid":null,"PeriodicalName":"Reproductive Biology and Endocrinology","FirstCategoryId":"3","ListUrlMain":"https://doi.org/10.1186/s12958-025-01416-w","RegionNum":2,"RegionCategory":"医学","ArticlePicture":[],"TitleCN":null,"AbstractTextCN":null,"PMCID":null,"EPubDate":"","PubModel":"","JCR":"Q1","JCRName":"ENDOCRINOLOGY & METABOLISM","Score":null,"Total":0}
引用次数: 0

Abstract

Background: Insulin resistance(IR) is a key mechanism underlying both obesity and metabolic syndrome, with significant implications for the onset and progression of female infertility. This study systematically examines the associations between seven insulin resistance indicators and the risk of infertility in U.S. women of reproductive age, while also evaluating the diagnostic value of these indicators in predicting infertility.

Method: This cross-sectional study analyzed data from the 2013-2018 National Health and Nutrition Examination Survey (NHANES) to explore the relationship between seven insulin resistance indicators and infertility risk. The indicators included the Metabolic Score for Insulin Resistance (METS-IR), Triglyceride-Glucose Index (TyG), Triglyceride-Glucose-Waist Circumference (TyG-WC), Triglyceride-Glucose-Body Mass Index (TyG-BMI), Triglyceride-Glucose-Waist-to-Height Ratio (TyG-WHtR), Homeostasis Model Assessment of Insulin Resistance (HOMA-IR), and Triglyceride/High-Density Lipoprotein Ratio (TG/HDL). Receiver Operating Characteristic (ROC) curves were used to assess the diagnostic accuracy of each insulin resistance indicator in predicting infertility. Additionally, smooth curve fitting and threshold effect analysis were employed to further explore the relationship between insulin resistance indicators with high diagnostic efficacy and infertility.

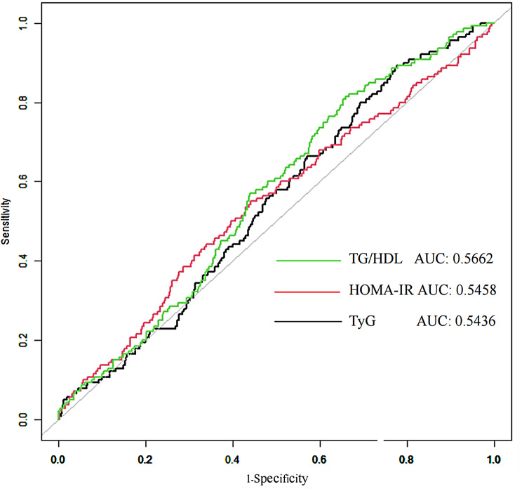
Results: This study included 1,100 women aged 20-45, of whom 140 (12.61%) were diagnosed with infertility. The results revealed significant positive correlations between METS-IR, TyG-BMI, TyG-WC, TyG-WHtR, and infertility risk. Specifically, as TyG-WC and TyG-WHtR levels increased, the risk of infertility rose linearly, while METS-IR and TyG-BMI exhibited a nonlinear positive association with infertility risk. No significant correlations were observed between TyG, HOMA-IR, TG/HDL, and infertility. Finally, ROC curve analysis indicated that METS-IR outperformed the other six insulin resistance indicators in predicting infertility risk.

Conclusion: METS-IR, TyG-BMI, TyG-WC, and TyG-WHtR are significantly associated with the risk of infertility in U.S. women of reproductive age, with METS-IR demonstrating the highest predictive power. These findings suggest that METS-IR may have substantial clinical utility in evaluating infertility risk.

Abstract Image

Abstract Image

Abstract Image

7种胰岛素抵抗指标作为生物标志物预测美国育龄妇女不孕症风险的潜力:一项横断面研究
背景:胰岛素抵抗(Insulin resistance, IR)是肥胖和代谢综合征的关键机制,在女性不孕症的发生和发展中具有重要意义。本研究系统地探讨了美国育龄妇女7项胰岛素抵抗指标与不孕症风险之间的关系,同时也评估了这些指标在预测不孕症中的诊断价值。方法:本横断面研究分析2013-2018年全国健康与营养调查(NHANES)数据,探讨7项胰岛素抵抗指标与不孕症风险的关系。指标包括胰岛素抵抗代谢评分(METS-IR)、甘油三酯-葡萄糖指数(TyG)、甘油三酯-葡萄糖-腰围(TyG- wc)、甘油三酯-葡萄糖-体重指数(TyG- bmi)、甘油三酯-葡萄糖-腰高比(TyG- whtr)、胰岛素抵抗稳态模型评估(HOMA-IR)、甘油三酯/高密度脂蛋白比(TG/HDL)。采用受试者工作特征(ROC)曲线评估各胰岛素抵抗指标预测不孕症的诊断准确性。并采用平滑曲线拟合和阈值效应分析,进一步探讨诊断效能较高的胰岛素抵抗指标与不孕症的关系。结果:本研究纳入了1100名年龄在20-45岁的女性,其中140名(12.61%)被诊断为不孕症。结果显示met - ir、TyG-BMI、TyG-WC、TyG-WHtR与不孕风险呈正相关。具体而言,随着TyG-WC和TyG-WHtR水平的升高,不孕症风险呈线性上升,而METS-IR和TyG-BMI与不孕症风险呈非线性正相关。TyG、HOMA-IR、TG/HDL与不孕症无显著相关性。最后,ROC曲线分析显示,METS-IR在预测不孕症风险方面优于其他6项胰岛素抵抗指标。结论:met - ir、TyG-BMI、TyG-WC和TyG-WHtR与美国育龄妇女不孕风险显著相关,其中met - ir的预测能力最强。这些发现表明met - ir在评估不孕症风险方面可能具有重要的临床应用价值。
本文章由计算机程序翻译,如有差异,请以英文原文为准。
求助全文
约1分钟内获得全文 求助全文
来源期刊
Reproductive Biology and Endocrinology
Reproductive Biology and Endocrinology 医学-内分泌学与代谢
CiteScore
7.90
自引率
2.30%
发文量
161
审稿时长
4-8 weeks
期刊介绍: Reproductive Biology and Endocrinology publishes and disseminates high-quality results from excellent research in the reproductive sciences. The journal publishes on topics covering gametogenesis, fertilization, early embryonic development, embryo-uterus interaction, reproductive development, pregnancy, uterine biology, endocrinology of reproduction, control of reproduction, reproductive immunology, neuroendocrinology, and veterinary and human reproductive medicine, including all vertebrate species.
×
引用
GB/T 7714-2015
复制
MLA
复制
APA
复制
导出至
BibTeX EndNote RefMan NoteFirst NoteExpress
×
提示
您的信息不完整,为了账户安全,请先补充。
现在去补充
×
提示
您因"违规操作"
具体请查看互助需知
我知道了
×
提示
确定
请完成安全验证×
copy
已复制链接
快去分享给好友吧!
我知道了
右上角分享
点击右上角分享
0
联系我们:info@booksci.cn Book学术提供免费学术资源搜索服务,方便国内外学者检索中英文文献。致力于提供最便捷和优质的服务体验。 Copyright © 2023 布克学术 All rights reserved.
京ICP备2023020795号-1
ghs 京公网安备 11010802042870号
Book学术文献互助
Book学术文献互助群
群 号:604180095
Book学术官方微信