Supercritical carbon dioxide extraction of astaxanthin from Corynebacterium glutamicum.

IF 5.1 3区 生物学 Q1 BIOTECHNOLOGY & APPLIED MICROBIOLOGY
Jan Seeger, Maximilian Zäh, Volker F Wendisch, Christoph Brandenbusch, Nadja A Henke
{"title":"Supercritical carbon dioxide extraction of astaxanthin from Corynebacterium glutamicum.","authors":"Jan Seeger, Maximilian Zäh, Volker F Wendisch, Christoph Brandenbusch, Nadja A Henke","doi":"10.1186/s40643-025-00882-9","DOIUrl":null,"url":null,"abstract":"<p><p>Astaxanthin, a red carotenoid with potent antioxidant properties, holds significant value in the feed, cosmetics, and nutraceutical industries. While traditionally sourced from microalgae, Corynebacterium glutamicum, a well-established industrial microorganism, has been engineered to serve as an efficient host for astaxanthin production. As astaxanthin integrates into the cellular membrane, effective extraction methods are essential to access this valuable compound. In this study, a sustainable batch extraction process using supercritical carbon dioxide (scCO₂) as a green solvent was developed. The effects of cosolvent concentration (0-9% (w/w)), temperature (50-75 °C), and pressure (450-650 bar) were investigated with regard to the extraction yield. An optimized extraction was achieved with 9% (w/w) ethanol as a cosolvent, at 68 °C and 550 bar, allowing the extraction of 67.5 ± 3.7% of the cellular astaxanthin within 0.5 h. Prolonging the extraction time further increased the recovery to 93.3%, which is comparable to processes that have been established for the extraction of astaxanthin from microalgae and yeast. This approach provides a scalable and environmentally friendly solution for industrial astaxanthin recovery.</p>","PeriodicalId":9067,"journal":{"name":"Bioresources and Bioprocessing","volume":"12 1","pages":"46"},"PeriodicalIF":5.1000,"publicationDate":"2025-05-26","publicationTypes":"Journal Article","fieldsOfStudy":null,"isOpenAccess":false,"openAccessPdf":"https://www.ncbi.nlm.nih.gov/pmc/articles/PMC12106249/pdf/","citationCount":"0","resultStr":null,"platform":"Semanticscholar","paperid":null,"PeriodicalName":"Bioresources and Bioprocessing","FirstCategoryId":"5","ListUrlMain":"https://doi.org/10.1186/s40643-025-00882-9","RegionNum":3,"RegionCategory":"生物学","ArticlePicture":[],"TitleCN":null,"AbstractTextCN":null,"PMCID":null,"EPubDate":"","PubModel":"","JCR":"Q1","JCRName":"BIOTECHNOLOGY & APPLIED MICROBIOLOGY","Score":null,"Total":0}
引用次数: 0

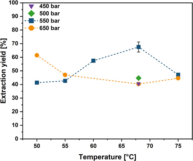
Abstract

Astaxanthin, a red carotenoid with potent antioxidant properties, holds significant value in the feed, cosmetics, and nutraceutical industries. While traditionally sourced from microalgae, Corynebacterium glutamicum, a well-established industrial microorganism, has been engineered to serve as an efficient host for astaxanthin production. As astaxanthin integrates into the cellular membrane, effective extraction methods are essential to access this valuable compound. In this study, a sustainable batch extraction process using supercritical carbon dioxide (scCO₂) as a green solvent was developed. The effects of cosolvent concentration (0-9% (w/w)), temperature (50-75 °C), and pressure (450-650 bar) were investigated with regard to the extraction yield. An optimized extraction was achieved with 9% (w/w) ethanol as a cosolvent, at 68 °C and 550 bar, allowing the extraction of 67.5 ± 3.7% of the cellular astaxanthin within 0.5 h. Prolonging the extraction time further increased the recovery to 93.3%, which is comparable to processes that have been established for the extraction of astaxanthin from microalgae and yeast. This approach provides a scalable and environmentally friendly solution for industrial astaxanthin recovery.

Abstract Image

Abstract Image

Abstract Image

超临界二氧化碳萃取谷氨酸棒状杆菌虾青素的研究。
虾青素是一种红色类胡萝卜素,具有有效的抗氧化特性,在饲料、化妆品和营养保健工业中具有重要价值。虽然传统上来源于微藻,但谷氨酸棒状杆菌作为一种成熟的工业微生物,已被设计为虾青素生产的有效宿主。由于虾青素与细胞膜结合,有效的提取方法是获取这种有价值的化合物的必要条件。本研究开发了一种以超临界二氧化碳(scCO₂)为绿色溶剂的可持续间歇萃取工艺。考察了助溶剂浓度(0-9% (w/w))、温度(50-75℃)和压力(450-650 bar)对提取率的影响。在68℃、550 bar条件下,以9% (w/w)乙醇为助溶剂,在0.5 h内可提取67.5±3.7%的细胞虾青素,延长提取时间可使回收率提高到93.3%,与已有的从微藻和酵母中提取虾青素的工艺相当。这种方法为虾青素的工业回收提供了一种可扩展且环保的解决方案。
本文章由计算机程序翻译,如有差异,请以英文原文为准。
求助全文
约1分钟内获得全文 求助全文
来源期刊
Bioresources and Bioprocessing
Bioresources and Bioprocessing BIOTECHNOLOGY & APPLIED MICROBIOLOGY-
CiteScore
7.20
自引率
8.70%
发文量
118
审稿时长
13 weeks
期刊介绍: Bioresources and Bioprocessing (BIOB) is a peer-reviewed open access journal published under the brand SpringerOpen. BIOB aims at providing an international academic platform for exchanging views on and promoting research to support bioresource development, processing and utilization in a sustainable manner. As an application-oriented research journal, BIOB covers not only the application and management of bioresource technology but also the design and development of bioprocesses that will lead to new and sustainable production processes. BIOB publishes original and review articles on most topics relating to bioresource and bioprocess engineering, including: -Biochemical and microbiological engineering -Biocatalysis and biotransformation -Biosynthesis and metabolic engineering -Bioprocess and biosystems engineering -Bioenergy and biorefinery -Cell culture and biomedical engineering -Food, agricultural and marine biotechnology -Bioseparation and biopurification engineering -Bioremediation and environmental biotechnology
×
引用
GB/T 7714-2015
复制
MLA
复制
APA
复制
导出至
BibTeX EndNote RefMan NoteFirst NoteExpress
×
提示
您的信息不完整,为了账户安全,请先补充。
现在去补充
×
提示
您因"违规操作"
具体请查看互助需知
我知道了
×
提示
确定
请完成安全验证×
copy
已复制链接
快去分享给好友吧!
我知道了
右上角分享
点击右上角分享
0
联系我们:info@booksci.cn Book学术提供免费学术资源搜索服务,方便国内外学者检索中英文文献。致力于提供最便捷和优质的服务体验。 Copyright © 2023 布克学术 All rights reserved.
京ICP备2023020795号-1
ghs 京公网安备 11010802042870号
Book学术文献互助
Book学术文献互助群
群 号:604180095
Book学术官方微信