Prevalence of eating disorders in aquatic athletes: a systematic review and meta-analysis.

IF 3.6 3区 医学 Q1 PSYCHIATRY
Prakasini Satapathy, Swastik Subhankar Sahu, Mahalaqua Nazli Khatib, M M Rekha, Mandeep Kaur, Girish Chandra Sharma, Puneet Sudan, K Satyam Naidu, Rajesh Singh, Brajgopal Kushwaha, Tripti Desai, Muhammed Shabil, Sanjay Singh Chauhan, Lokesh Verma, Amritpal Sidhu, Rachana Mehta, Sanjit Sah, Abhay M Gaidhane, Afukonyo Shidoiku Daniel, Joseph Clement Chipeta, Ganesh Bushi
{"title":"Prevalence of eating disorders in aquatic athletes: a systematic review and meta-analysis.","authors":"Prakasini Satapathy, Swastik Subhankar Sahu, Mahalaqua Nazli Khatib, M M Rekha, Mandeep Kaur, Girish Chandra Sharma, Puneet Sudan, K Satyam Naidu, Rajesh Singh, Brajgopal Kushwaha, Tripti Desai, Muhammed Shabil, Sanjay Singh Chauhan, Lokesh Verma, Amritpal Sidhu, Rachana Mehta, Sanjit Sah, Abhay M Gaidhane, Afukonyo Shidoiku Daniel, Joseph Clement Chipeta, Ganesh Bushi","doi":"10.1186/s12991-025-00564-y","DOIUrl":null,"url":null,"abstract":"<p><strong>Background: </strong>Aquatic athletes may face unique pressures related to body aesthetics and weight management, potentially increasing their risk of eating disorders (EDs). This systematic review and meta-analysis aimed to estimate the prevalence of EDs in aquatic athletes and assess the quality of the available evidence.</p><p><strong>Methods: </strong>A systematic search was conducted in PubMed, Embase, and Web of Science for studies published in English that reported on the prevalence of EDs among aquatic athletes. After screening and eligibility assessments, eight studies met the inclusion criteria, comprising a total of 715 athletes from various countries, including Poland, Canada, Brazil, Norway, the United States, and the United Kingdom. Quality assessment was performed using an adapted Newcastle-Ottawa Scale (NOS), and a random-effects meta-analysis was conducted to estimate pooled prevalence. Sensitivity analysis and a Doi plot were utilized to evaluate the publication bias.</p><p><strong>Results: </strong>The meta-analysis estimated a pooled prevalence of EDs in aquatic athletes at 27.56% (95% CI: 14.27-46.50%), with a heterogeneity (I²) of 76%, indicating substantial variability in study designs and participant characteristics. Sensitivity analysis confirmed the robustness of the findings, and the Doi plot indicated significant asymmetry (LFK index = -3.44), suggesting potential publication bias or variability across studies.</p><p><strong>Conclusion: </strong>This study revealed a high prevalence of EDs among aquatic athletes. Further research is required on the factors associated with these disorders. Standardized assessment tools and routine screening in aquatic sports settings are recommended to promote early detection and prevention of EDs, ultimately enhancing athlete well-being and performance.</p>","PeriodicalId":7942,"journal":{"name":"Annals of General Psychiatry","volume":"24 1","pages":"33"},"PeriodicalIF":3.6000,"publicationDate":"2025-05-24","publicationTypes":"Journal Article","fieldsOfStudy":null,"isOpenAccess":false,"openAccessPdf":"https://www.ncbi.nlm.nih.gov/pmc/articles/PMC12102871/pdf/","citationCount":"0","resultStr":null,"platform":"Semanticscholar","paperid":null,"PeriodicalName":"Annals of General Psychiatry","FirstCategoryId":"3","ListUrlMain":"https://doi.org/10.1186/s12991-025-00564-y","RegionNum":3,"RegionCategory":"医学","ArticlePicture":[],"TitleCN":null,"AbstractTextCN":null,"PMCID":null,"EPubDate":"","PubModel":"","JCR":"Q1","JCRName":"PSYCHIATRY","Score":null,"Total":0}
引用次数: 0

Abstract

Background: Aquatic athletes may face unique pressures related to body aesthetics and weight management, potentially increasing their risk of eating disorders (EDs). This systematic review and meta-analysis aimed to estimate the prevalence of EDs in aquatic athletes and assess the quality of the available evidence.

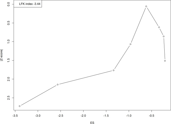
Methods: A systematic search was conducted in PubMed, Embase, and Web of Science for studies published in English that reported on the prevalence of EDs among aquatic athletes. After screening and eligibility assessments, eight studies met the inclusion criteria, comprising a total of 715 athletes from various countries, including Poland, Canada, Brazil, Norway, the United States, and the United Kingdom. Quality assessment was performed using an adapted Newcastle-Ottawa Scale (NOS), and a random-effects meta-analysis was conducted to estimate pooled prevalence. Sensitivity analysis and a Doi plot were utilized to evaluate the publication bias.

Results: The meta-analysis estimated a pooled prevalence of EDs in aquatic athletes at 27.56% (95% CI: 14.27-46.50%), with a heterogeneity (I²) of 76%, indicating substantial variability in study designs and participant characteristics. Sensitivity analysis confirmed the robustness of the findings, and the Doi plot indicated significant asymmetry (LFK index = -3.44), suggesting potential publication bias or variability across studies.

Conclusion: This study revealed a high prevalence of EDs among aquatic athletes. Further research is required on the factors associated with these disorders. Standardized assessment tools and routine screening in aquatic sports settings are recommended to promote early detection and prevention of EDs, ultimately enhancing athlete well-being and performance.

Abstract Image

Abstract Image

Abstract Image

游泳运动员饮食失调的患病率:系统回顾和荟萃分析。
背景:水上运动员可能面临着与身体美学和体重管理相关的独特压力,潜在地增加了他们饮食失调(EDs)的风险。本系统综述和荟萃分析旨在评估水上运动员ed的患病率,并评估现有证据的质量。方法:系统检索PubMed、Embase和Web of Science中发表的关于水上运动员ed患病率的英文研究。经过筛选和资格评估,8项研究符合纳入标准,共包括来自不同国家的715名运动员,包括波兰、加拿大、巴西、挪威、美国和英国。采用纽卡斯尔-渥太华量表(NOS)进行质量评估,并进行随机效应荟萃分析以估计总患病率。采用敏感性分析和Doi图评价发表偏倚。结果:荟萃分析估计,水上运动员ed的总患病率为27.56% (95% CI: 14.27-46.50%),异质性(I²)为76%,表明研究设计和参与者特征存在很大差异。敏感性分析证实了研究结果的稳健性,Doi图显示显著的不对称性(LFK指数= -3.44),表明研究间存在潜在的发表偏倚或可变性。结论:本研究揭示了在水上运动运动员中EDs的高患病率。需要进一步研究与这些疾病相关的因素。建议在水上运动环境中使用标准化评估工具和常规筛查,以促进ed的早期发现和预防,最终提高运动员的健康水平和表现。
本文章由计算机程序翻译,如有差异,请以英文原文为准。
求助全文
约1分钟内获得全文 求助全文
来源期刊
CiteScore
6.60
自引率
2.70%
发文量
43
审稿时长
>12 weeks
期刊介绍: Annals of General Psychiatry considers manuscripts on all aspects of psychiatry, including neuroscience and psychological medicine. Both basic and clinical neuroscience contributions are encouraged. Annals of General Psychiatry emphasizes a biopsychosocial approach to illness and health and strongly supports and follows the principles of evidence-based medicine. As an open access journal, Annals of General Psychiatry facilitates the worldwide distribution of high quality psychiatry and mental health research. The journal considers submissions on a wide range of topics including, but not limited to, psychopharmacology, forensic psychiatry, psychotic disorders, psychiatric genetics, and mood and anxiety disorders.
×
引用
GB/T 7714-2015
复制
MLA
复制
APA
复制
导出至
BibTeX EndNote RefMan NoteFirst NoteExpress
×
提示
您的信息不完整,为了账户安全,请先补充。
现在去补充
×
提示
您因"违规操作"
具体请查看互助需知
我知道了
×
提示
确定
请完成安全验证×
copy
已复制链接
快去分享给好友吧!
我知道了
右上角分享
点击右上角分享
0
联系我们:info@booksci.cn Book学术提供免费学术资源搜索服务,方便国内外学者检索中英文文献。致力于提供最便捷和优质的服务体验。 Copyright © 2023 布克学术 All rights reserved.
京ICP备2023020795号-1
ghs 京公网安备 11010802042870号
Book学术文献互助
Book学术文献互助群
群 号:604180095
Book学术官方微信