Unraveling the metabolic gene expression and energetic patterns of the seasonally acclimatized gilthead seabream.

IF 2.5 3区 农林科学 Q3 BIOCHEMISTRY & MOLECULAR BIOLOGY
Vasiliki Makri, Ioannis A Giantsis, Konstantinos Feidantsis, Ioannis Georgoulis, Antonia Gougousi, Basile Michaelidis
{"title":"Unraveling the metabolic gene expression and energetic patterns of the seasonally acclimatized gilthead seabream.","authors":"Vasiliki Makri, Ioannis A Giantsis, Konstantinos Feidantsis, Ioannis Georgoulis, Antonia Gougousi, Basile Michaelidis","doi":"10.1007/s10695-025-01513-y","DOIUrl":null,"url":null,"abstract":"<p><p>The aim of the present study was to investigate how seasonal changes in the oxidation of biological energy substrates contribute to the thermal tolerance of farmed fish, as well as to explore the potential relationship between seasonality, metabolic pathways, and the energy reserves of a highly important aquaculture species, i.e., the gilthead sea bream Sparus aurata. In a monthly basis collected tissue samples from a fish farm in Evoikos Gulf in Greece, RNA/DNA ratio was measured, representing a highly informative index of the nutritional condition and growth of fish. Additionally, seasonal variations in glucose and lipid metabolism were assessed through relative gene expressions of key metabolic enzymes and proteins such as glucose transporter (Glu), lactate dehydrogenase (L-LDH), citrate synthase (CS), 3-hydroxyacyl-CoA dehydrogenase (HOAD), pyruvate kinase (PK), AMP-activated protein kinase (AMPK), and peroxisome proliferator-activated receptors (PPARα/γ). Furthermore, the expression of uncoupling proteins, NADH dehydrogenase (NDH-2), hypoxia-inducible factor-1 alpha (Hif-1a), electron transport system activity (ETS), and its components (complex I + III) was also employed as indicators of the respiratory chain activity. The findings reveal two distinct metabolic periods affecting productivity: a cold acclimatization phase marked by significant lipid accumulation and a warm acclimatization phase characterized by elevated carbohydrate metabolic pathways and enhanced corresponding enzymatic activities. However, the decreasing CS enzymatic activity during warm acclimatization may reflect the initiation of mitochondrial dysfunction. These metabolic adjustments underscore the fish adaptive responses to seasonal temperature fluctuations, highlighting their mechanisms of thermal tolerance and energy utilization. This understanding is particularly relevant for sustainability practices under varying thermal conditions.</p>","PeriodicalId":12274,"journal":{"name":"Fish Physiology and Biochemistry","volume":"51 3","pages":"102"},"PeriodicalIF":2.5000,"publicationDate":"2025-05-24","publicationTypes":"Journal Article","fieldsOfStudy":null,"isOpenAccess":false,"openAccessPdf":"https://www.ncbi.nlm.nih.gov/pmc/articles/PMC12103388/pdf/","citationCount":"0","resultStr":null,"platform":"Semanticscholar","paperid":null,"PeriodicalName":"Fish Physiology and Biochemistry","FirstCategoryId":"97","ListUrlMain":"https://doi.org/10.1007/s10695-025-01513-y","RegionNum":3,"RegionCategory":"农林科学","ArticlePicture":[],"TitleCN":null,"AbstractTextCN":null,"PMCID":null,"EPubDate":"","PubModel":"","JCR":"Q3","JCRName":"BIOCHEMISTRY & MOLECULAR BIOLOGY","Score":null,"Total":0}
引用次数: 0

Abstract

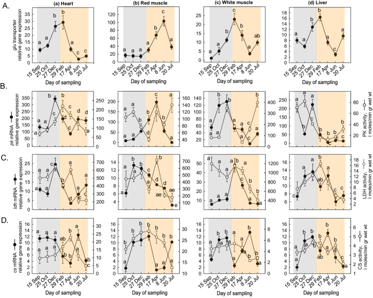
The aim of the present study was to investigate how seasonal changes in the oxidation of biological energy substrates contribute to the thermal tolerance of farmed fish, as well as to explore the potential relationship between seasonality, metabolic pathways, and the energy reserves of a highly important aquaculture species, i.e., the gilthead sea bream Sparus aurata. In a monthly basis collected tissue samples from a fish farm in Evoikos Gulf in Greece, RNA/DNA ratio was measured, representing a highly informative index of the nutritional condition and growth of fish. Additionally, seasonal variations in glucose and lipid metabolism were assessed through relative gene expressions of key metabolic enzymes and proteins such as glucose transporter (Glu), lactate dehydrogenase (L-LDH), citrate synthase (CS), 3-hydroxyacyl-CoA dehydrogenase (HOAD), pyruvate kinase (PK), AMP-activated protein kinase (AMPK), and peroxisome proliferator-activated receptors (PPARα/γ). Furthermore, the expression of uncoupling proteins, NADH dehydrogenase (NDH-2), hypoxia-inducible factor-1 alpha (Hif-1a), electron transport system activity (ETS), and its components (complex I + III) was also employed as indicators of the respiratory chain activity. The findings reveal two distinct metabolic periods affecting productivity: a cold acclimatization phase marked by significant lipid accumulation and a warm acclimatization phase characterized by elevated carbohydrate metabolic pathways and enhanced corresponding enzymatic activities. However, the decreasing CS enzymatic activity during warm acclimatization may reflect the initiation of mitochondrial dysfunction. These metabolic adjustments underscore the fish adaptive responses to seasonal temperature fluctuations, highlighting their mechanisms of thermal tolerance and energy utilization. This understanding is particularly relevant for sustainability practices under varying thermal conditions.

Abstract Image

Abstract Image

Abstract Image

揭示季节适应的赤头鲷的代谢基因表达和能量模式。
本研究的目的是研究生物能底物氧化的季节变化如何影响养殖鱼类的耐热性,并探讨一种非常重要的水产养殖物种——黄颡鱼(Sparus aurata)的季节性、代谢途径和能量储备之间的潜在关系。每月从希腊Evoikos湾的一个养鱼场收集组织样本,测量RNA/DNA比率,这是鱼类营养状况和生长的一个高度信息性指标。此外,通过葡萄糖转运蛋白(Glu)、乳酸脱氢酶(L-LDH)、柠檬酸合成酶(CS)、3-羟基酰基辅酶a脱氢酶(HOAD)、丙酮酸激酶(PK)、amp活化蛋白激酶(AMPK)和过氧化物酶体增殖物激活受体(PPARα/γ)等关键代谢酶和蛋白质的相对基因表达,评估糖脂代谢的季节性变化。此外,解偶联蛋白、NADH脱氢酶(NDH-2)、缺氧诱导因子-1 α (Hif-1a)、电子传递系统活性(ETS)及其组分(复合物I + III)的表达也被用作呼吸链活性的指标。研究结果揭示了影响产量的两个不同的代谢阶段:以显著的脂质积累为特征的冷驯化阶段和以碳水化合物代谢途径升高和相应酶活性增强为特征的热驯化阶段。然而,在热驯化过程中CS酶活性的下降可能反映了线粒体功能障碍的开始。这些代谢调节强调了鱼类对季节温度波动的适应性反应,突出了它们的热耐受性和能量利用机制。这种理解与在不同热条件下的可持续性实践特别相关。
本文章由计算机程序翻译,如有差异,请以英文原文为准。
求助全文
约1分钟内获得全文 求助全文
来源期刊
Fish Physiology and Biochemistry
Fish Physiology and Biochemistry 农林科学-生化与分子生物学
CiteScore
5.60
自引率
6.90%
发文量
106
审稿时长
4 months
期刊介绍: Fish Physiology and Biochemistry is an international journal publishing original research papers in all aspects of the physiology and biochemistry of fishes. Coverage includes experimental work in such topics as biochemistry of organisms, organs, tissues and cells; structure of organs, tissues, cells and organelles related to their function; nutritional, osmotic, ionic, respiratory and excretory homeostasis; nerve and muscle physiology; endocrinology; reproductive physiology; energetics; biochemical and physiological effects of toxicants; molecular biology and biotechnology and more.
×
引用
GB/T 7714-2015
复制
MLA
复制
APA
复制
导出至
BibTeX EndNote RefMan NoteFirst NoteExpress
×
提示
您的信息不完整,为了账户安全,请先补充。
现在去补充
×
提示
您因"违规操作"
具体请查看互助需知
我知道了
×
提示
确定
请完成安全验证×
copy
已复制链接
快去分享给好友吧!
我知道了
右上角分享
点击右上角分享
0
联系我们:info@booksci.cn Book学术提供免费学术资源搜索服务,方便国内外学者检索中英文文献。致力于提供最便捷和优质的服务体验。 Copyright © 2023 布克学术 All rights reserved.
京ICP备2023020795号-1
ghs 京公网安备 11010802042870号
Book学术文献互助
Book学术文献互助群
群 号:604180095
Book学术官方微信