Effect of butorphanol nasal spray administration on patient cooperativity during labor epidural placement: a single-center randomized controlled trial.

IF 2.1 3区 医学 Q2 ANESTHESIOLOGY
Jing Sun, Fan Wu, Mingguang Wu, Guanxiong Wu, Zhao Zheng, Gehui Li, Xiaoguang Wang, Xiaolei Huang, Yuantao Li
{"title":"Effect of butorphanol nasal spray administration on patient cooperativity during labor epidural placement: a single-center randomized controlled trial.","authors":"Jing Sun, Fan Wu, Mingguang Wu, Guanxiong Wu, Zhao Zheng, Gehui Li, Xiaoguang Wang, Xiaolei Huang, Yuantao Li","doi":"10.1186/s13741-025-00535-7","DOIUrl":null,"url":null,"abstract":"<p><strong>Background: </strong>Epidural block stands as the prevailing, secure, and efficient approach to labor analgesia. Inadequate maternal cooperation not only hampers anesthesia effectiveness but also may lead to severe consequences, including nerve damage due to positional changes.</p><p><strong>Methods: </strong>A randomized controlled clinical trial with 200 participants was conducted to compare painless delivery with epidural alone versus a combination of butorphanol nasal spray preceding epidural administration for painless delivery. The objective was to assess the combined approach's efficacy in diminishing maternal pain and enhancing maternal compliance.</p><p><strong>Results: </strong>Within 8-min post-anesthesia, the combined analgesic group (EXP group) exhibited significantly lower maternal pain intensity scores, improved maternal cooperation, reduced visual analogue scale (VAS) pain, and McGill scores compared to the epidural alone group (CTRL group). No statistically significant differences emerged in 24-h postpartum blood loss, labor duration, or lactation period. Neonatal indicators, including umbilical artery blood PCO2, base excess of extracellular fluid (BE-ecf), weight, and Apgar score, showed no significant differences between the EXP and CTRL groups. However, the EXP group demonstrated a higher umbilical artery blood pH than the CTRL group. The EXP group exhibited significantly higher probabilities of pain intensity scores ≤ 6, maternal cooperation scores ≤ 3, VAS scores ≤ 3 at 6-, 8-, and 10-min post-anesthesia, and McGill scores of 0 compared to the CTRL group.</p><p><strong>Conclusion: </strong>Butorphanol nasal spray emerges as an effective means to alleviate pain during epidural puncture in labor analgesia, markedly improving maternal anesthesia adherence. This combined analgesic method proves to be a safe and efficacious approach for maternal pain relief during labor.</p>","PeriodicalId":19764,"journal":{"name":"Perioperative Medicine","volume":"14 1","pages":"59"},"PeriodicalIF":2.1000,"publicationDate":"2025-05-23","publicationTypes":"Journal Article","fieldsOfStudy":null,"isOpenAccess":false,"openAccessPdf":"https://www.ncbi.nlm.nih.gov/pmc/articles/PMC12100865/pdf/","citationCount":"0","resultStr":null,"platform":"Semanticscholar","paperid":null,"PeriodicalName":"Perioperative Medicine","FirstCategoryId":"3","ListUrlMain":"https://doi.org/10.1186/s13741-025-00535-7","RegionNum":3,"RegionCategory":"医学","ArticlePicture":[],"TitleCN":null,"AbstractTextCN":null,"PMCID":null,"EPubDate":"","PubModel":"","JCR":"Q2","JCRName":"ANESTHESIOLOGY","Score":null,"Total":0}
引用次数: 0

Abstract

Background: Epidural block stands as the prevailing, secure, and efficient approach to labor analgesia. Inadequate maternal cooperation not only hampers anesthesia effectiveness but also may lead to severe consequences, including nerve damage due to positional changes.

Methods: A randomized controlled clinical trial with 200 participants was conducted to compare painless delivery with epidural alone versus a combination of butorphanol nasal spray preceding epidural administration for painless delivery. The objective was to assess the combined approach's efficacy in diminishing maternal pain and enhancing maternal compliance.

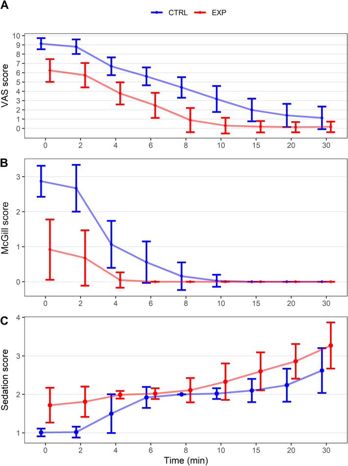
Results: Within 8-min post-anesthesia, the combined analgesic group (EXP group) exhibited significantly lower maternal pain intensity scores, improved maternal cooperation, reduced visual analogue scale (VAS) pain, and McGill scores compared to the epidural alone group (CTRL group). No statistically significant differences emerged in 24-h postpartum blood loss, labor duration, or lactation period. Neonatal indicators, including umbilical artery blood PCO2, base excess of extracellular fluid (BE-ecf), weight, and Apgar score, showed no significant differences between the EXP and CTRL groups. However, the EXP group demonstrated a higher umbilical artery blood pH than the CTRL group. The EXP group exhibited significantly higher probabilities of pain intensity scores ≤ 6, maternal cooperation scores ≤ 3, VAS scores ≤ 3 at 6-, 8-, and 10-min post-anesthesia, and McGill scores of 0 compared to the CTRL group.

Conclusion: Butorphanol nasal spray emerges as an effective means to alleviate pain during epidural puncture in labor analgesia, markedly improving maternal anesthesia adherence. This combined analgesic method proves to be a safe and efficacious approach for maternal pain relief during labor.

Abstract Image

Abstract Image

Abstract Image

布托啡诺鼻喷雾剂对分娩时患者硬膜外放置配合性的影响:一项单中心随机对照试验。
背景:硬膜外阻滞是目前普遍、安全、有效的分娩镇痛方法。产妇配合不足不仅会影响麻醉效果,还可能导致严重后果,包括体位改变引起的神经损伤。方法:对200名患者进行随机对照临床试验,比较单纯硬膜外无痛分娩与硬膜外布托啡诺鼻喷雾剂联合无痛分娩的效果。目的是评估联合方法在减少产妇疼痛和提高产妇依从性方面的疗效。结果:麻醉后8 min内,联合镇痛组(EXP组)与单独硬膜外组(CTRL组)相比,产妇疼痛强度评分明显降低,产妇配合性改善,视觉模拟评分(VAS)疼痛和McGill评分明显降低。产后24小时出血量、产程、哺乳期差异无统计学意义。新生儿指标,包括脐动脉血PCO2、细胞外液碱性过剩(BE-ecf)、体重和Apgar评分,在EXP组和CTRL组之间无显著差异。然而,实验组的脐动脉血pH值高于对照组。实验组麻醉后6、8、10 min疼痛强度评分≤6分、产妇配合评分≤3分、VAS评分≤3分、McGill评分为0分的概率显著高于对照组。结论:布托啡诺鼻喷雾剂可有效缓解分娩时硬膜外穿刺疼痛,显著提高产妇麻醉依从性。这种联合镇痛方法被证明是一种安全有效的产妇分娩镇痛方法。
本文章由计算机程序翻译,如有差异,请以英文原文为准。
求助全文
约1分钟内获得全文 求助全文
来源期刊
自引率
3.80%
发文量
55
审稿时长
10 weeks
×
引用
GB/T 7714-2015
复制
MLA
复制
APA
复制
导出至
BibTeX EndNote RefMan NoteFirst NoteExpress
×
提示
您的信息不完整,为了账户安全,请先补充。
现在去补充
×
提示
您因"违规操作"
具体请查看互助需知
我知道了
×
提示
确定
请完成安全验证×
copy
已复制链接
快去分享给好友吧!
我知道了
右上角分享
点击右上角分享
0
联系我们:info@booksci.cn Book学术提供免费学术资源搜索服务,方便国内外学者检索中英文文献。致力于提供最便捷和优质的服务体验。 Copyright © 2023 布克学术 All rights reserved.
京ICP备2023020795号-1
ghs 京公网安备 11010802042870号
Book学术文献互助
Book学术文献互助群
群 号:604180095
Book学术官方微信