A six-month weight loss intervention is associated with significant changes in serum biomarkers related to inflammation, bone and cartilage metabolism in obese patients with psoriatic arthritis and matched controls.

IF 2.5 Q3 RHEUMATOLOGY
Linda Torres, Charlotte A Jonsson, Björn Eliasson, Helena Forsblad-d'Elia, Anton J Landgren, Annelie Bilberg, Inger Gjertsson, Ingrid Larsson, Eva Klingberg
{"title":"A six-month weight loss intervention is associated with significant changes in serum biomarkers related to inflammation, bone and cartilage metabolism in obese patients with psoriatic arthritis and matched controls.","authors":"Linda Torres, Charlotte A Jonsson, Björn Eliasson, Helena Forsblad-d'Elia, Anton J Landgren, Annelie Bilberg, Inger Gjertsson, Ingrid Larsson, Eva Klingberg","doi":"10.1186/s41927-025-00511-0","DOIUrl":null,"url":null,"abstract":"<p><strong>Background: </strong>Obesity is highly overrepresented in patients with psoriatic arthritis (PsA) and associated with increased disease activity and inferior treatment outcome. We have previously reported in 41 patients with PsA and body mass index (BMI) ≥ 33 kg/m<sup>2</sup> that weight loss treatment with Very Low Energy Diet (VLED) resulted in a median weight loss of 18,6% and concomitantly a significant improvement in C-reactive protein (CRP) and disease activity at six months (M6). This sub-study analyzes the effects on serum biomarkers associated with inflammation, bone and cartilage metabolism in the same PsA patients and matched controls.</p><p><strong>Methods: </strong>Patients and controls received VLED treatment (640 kcal/day) during 12-16 weeks depending on baseline (BL) BMI < 40 or ≥ 40 kg/m<sup>2</sup>, followed by an energy restricted diet. Serum was collected at BL and M6, and biomarkers were measured with Magnetic Luminex<sup>®</sup> Assays and enzyme-linked immunosorbent assay (ELISA). Nonparametric statistics and paired comparison tests were used.</p><p><strong>Results: </strong>In the PsA patients, the following proteins were significantly reduced at M6 as compared to BL: hepatocyte growth factor (HGF) (median (first-third quartile) 327.9 (250.3-413.6) pg/mL vs. 271.3 (206.9-331.0) pg/mL, p < 0.01), vascular endothelial growth factor (VEGF) (79.6 (55.9-113.5) pg/mL vs. 69.6 (53.1-105.3) pg/mL, p = 0.01), B-cell activating factor (BAFF) (794.4 (716.4-868.3) pg/mL vs. 674.6 (613.2-790.5) pg/mL, p = 0.01) and cartilage oligomeric matrix protein (COMP) (266.1 (209.9-366.0) ng/mL vs. 217.0 (156.0-272.0) ng/mL, p < 0.01), whereas carboxyterminal telopeptide of type-1 collagen (CTX-1) was significantly increased (268.0 (196.0-378.5) pg/mL vs. 508.0 (350.0-640.0) pg/mL, p < 0.01). Similar results were found in the control group.</p><p><strong>Conclusions: </strong>Weight loss was associated with reduced levels of serum biomarkers related to inflammation and cartilage degradation, and increased biomarkers for bone resorption. The study supports the strong relationship between obesity, inflammation, bone and cartilage metabolism, identifying BMI as a possible confounder for biomarker levels.</p><p><strong>Trial registration: </strong>ClinicalTrials.gov identifier: NCT02917434, registered on September 21, 2016, retrospectively registered.</p>","PeriodicalId":9150,"journal":{"name":"BMC Rheumatology","volume":"9 1","pages":"58"},"PeriodicalIF":2.5000,"publicationDate":"2025-05-23","publicationTypes":"Journal Article","fieldsOfStudy":null,"isOpenAccess":false,"openAccessPdf":"https://www.ncbi.nlm.nih.gov/pmc/articles/PMC12100911/pdf/","citationCount":"0","resultStr":null,"platform":"Semanticscholar","paperid":null,"PeriodicalName":"BMC Rheumatology","FirstCategoryId":"1085","ListUrlMain":"https://doi.org/10.1186/s41927-025-00511-0","RegionNum":0,"RegionCategory":null,"ArticlePicture":[],"TitleCN":null,"AbstractTextCN":null,"PMCID":null,"EPubDate":"","PubModel":"","JCR":"Q3","JCRName":"RHEUMATOLOGY","Score":null,"Total":0}
引用次数: 0

Abstract

Background: Obesity is highly overrepresented in patients with psoriatic arthritis (PsA) and associated with increased disease activity and inferior treatment outcome. We have previously reported in 41 patients with PsA and body mass index (BMI) ≥ 33 kg/m2 that weight loss treatment with Very Low Energy Diet (VLED) resulted in a median weight loss of 18,6% and concomitantly a significant improvement in C-reactive protein (CRP) and disease activity at six months (M6). This sub-study analyzes the effects on serum biomarkers associated with inflammation, bone and cartilage metabolism in the same PsA patients and matched controls.

Methods: Patients and controls received VLED treatment (640 kcal/day) during 12-16 weeks depending on baseline (BL) BMI < 40 or ≥ 40 kg/m2, followed by an energy restricted diet. Serum was collected at BL and M6, and biomarkers were measured with Magnetic Luminex® Assays and enzyme-linked immunosorbent assay (ELISA). Nonparametric statistics and paired comparison tests were used.

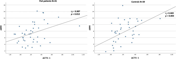
Results: In the PsA patients, the following proteins were significantly reduced at M6 as compared to BL: hepatocyte growth factor (HGF) (median (first-third quartile) 327.9 (250.3-413.6) pg/mL vs. 271.3 (206.9-331.0) pg/mL, p < 0.01), vascular endothelial growth factor (VEGF) (79.6 (55.9-113.5) pg/mL vs. 69.6 (53.1-105.3) pg/mL, p = 0.01), B-cell activating factor (BAFF) (794.4 (716.4-868.3) pg/mL vs. 674.6 (613.2-790.5) pg/mL, p = 0.01) and cartilage oligomeric matrix protein (COMP) (266.1 (209.9-366.0) ng/mL vs. 217.0 (156.0-272.0) ng/mL, p < 0.01), whereas carboxyterminal telopeptide of type-1 collagen (CTX-1) was significantly increased (268.0 (196.0-378.5) pg/mL vs. 508.0 (350.0-640.0) pg/mL, p < 0.01). Similar results were found in the control group.

Conclusions: Weight loss was associated with reduced levels of serum biomarkers related to inflammation and cartilage degradation, and increased biomarkers for bone resorption. The study supports the strong relationship between obesity, inflammation, bone and cartilage metabolism, identifying BMI as a possible confounder for biomarker levels.

Trial registration: ClinicalTrials.gov identifier: NCT02917434, registered on September 21, 2016, retrospectively registered.

Abstract Image

Abstract Image

6个月的减肥干预与银屑病关节炎肥胖患者和匹配对照中炎症、骨和软骨代谢相关的血清生物标志物的显著变化相关。
背景:肥胖在银屑病关节炎(PsA)患者中的比例过高,并与疾病活动性增加和治疗效果差相关。我们之前报道了41例PsA和体重指数(BMI)≥33 kg/m2的患者,极低能量饮食(VLED)减肥治疗导致中位体重减轻18.6%,并在6个月(M6)时显著改善c反应蛋白(CRP)和疾病活动性。该子研究分析了同一PsA患者和匹配对照中与炎症、骨和软骨代谢相关的血清生物标志物的影响。方法:根据基线(BL) BMI 2,患者和对照组在12-16周内接受VLED治疗(640千卡/天),随后进行能量限制饮食。在BL和M6处收集血清,并使用磁性Luminex®测定法和酶联免疫吸附测定法(ELISA)检测生物标志物。采用非参数统计和配对比较检验。结果:在PsA患者中,与BL相比,以下蛋白在M6时显著降低:肝细胞生长因子(HGF)(中位数(第一-第三四分位数)327.9 (250.3-413.6)pg/mL vs. 271.3 (206.9-331.0) pg/mL, p结论:体重减轻与炎症和软骨降解相关的血清生物标志物水平降低相关,骨吸收生物标志物水平增加相关。该研究支持肥胖、炎症、骨骼和软骨代谢之间的密切关系,并确定BMI可能是生物标志物水平的混杂因素。试验注册:ClinicalTrials.gov识别码:NCT02917434,于2016年9月21日注册,回顾性注册。
本文章由计算机程序翻译,如有差异,请以英文原文为准。
求助全文
约1分钟内获得全文 求助全文
来源期刊
BMC Rheumatology
BMC Rheumatology Medicine-Rheumatology
CiteScore
3.80
自引率
0.00%
发文量
73
审稿时长
15 weeks
×
引用
GB/T 7714-2015
复制
MLA
复制
APA
复制
导出至
BibTeX EndNote RefMan NoteFirst NoteExpress
×
提示
您的信息不完整,为了账户安全,请先补充。
现在去补充
×
提示
您因"违规操作"
具体请查看互助需知
我知道了
×
提示
确定
请完成安全验证×
copy
已复制链接
快去分享给好友吧!
我知道了
右上角分享
点击右上角分享
0
联系我们:info@booksci.cn Book学术提供免费学术资源搜索服务,方便国内外学者检索中英文文献。致力于提供最便捷和优质的服务体验。 Copyright © 2023 布克学术 All rights reserved.
京ICP备2023020795号-1
ghs 京公网安备 11010802042870号
Book学术文献互助
Book学术文献互助群
群 号:604180095
Book学术官方微信