Association between Skeletal Muscle Mass and Ocular Perfusion Pressure in Glaucoma.

Korean journal of ophthalmology : KJO Pub Date : 2025-06-01 Epub Date: 2025-05-22 DOI:10.3341/kjo.2025.0018
Jisoo Kang, Ji Hong Kim, Yu Jeong Kim, Han Woong Lim, Jooyoung Yoon, Won June Lee
{"title":"Association between Skeletal Muscle Mass and Ocular Perfusion Pressure in Glaucoma.","authors":"Jisoo Kang, Ji Hong Kim, Yu Jeong Kim, Han Woong Lim, Jooyoung Yoon, Won June Lee","doi":"10.3341/kjo.2025.0018","DOIUrl":null,"url":null,"abstract":"<p><strong>Purpose: </strong>This study aimed to investigate the relationship between body composition and glaucoma by analyzing the associations between anthropometric and ocular parameters.</p><p><strong>Methods: </strong>A total of 494 eyes from 247 patients were reviewed from a general health examination database at a tertiary hospital. Anthropometric parameters were assessed using a multifrequency bioelectrical impedance device. Mean ocular perfusion pressure (MOPP) was calculated based on systolic and diastolic blood pressures and intraocular pressure (IOP). Retinal thickness and other ocular parameters were analyzed for their association with body composition.</p><p><strong>Results: </strong>A total of 221 eyes from 221 patients, including 104 with glaucoma, were enrolled in the final analysis. The prevalence of sarcopenia was significantly higher in patients with glaucomatous damage than in those without (p = 0.025). Higher IOP showed significant associations with lower MOPP (p < 0.001), higher body mass index (BMI; p = 0.001), and higher waist to hip ratio (p = 0.001). Retinal thickness was not significantly associated with body composition parameters, including BMI and appendicular lean mass adjusted with squared height. Higher MOPP was significantly correlated with lower IOP (p < 0.001), higher BMI (p < 0.001), higher waist to hip ratio (p < 0.001), and higher appendicular lean mass divided by squared height (p = 0.009).</p><p><strong>Conclusions: </strong>Skeletal muscle mass and BMI were significantly associated with MOPP. Since low MOPP is a known risk factor for glaucoma, its association with skeletal muscle mass may indicate a relationship between systemic muscle health, ocular blood perfusion, and glaucomatous damage. Further large-scale studies are needed to validate these associations between skeletal muscle mass and glaucoma and explore their clinical implications.</p>","PeriodicalId":101356,"journal":{"name":"Korean journal of ophthalmology : KJO","volume":" ","pages":"246-260"},"PeriodicalIF":0.0000,"publicationDate":"2025-06-01","publicationTypes":"Journal Article","fieldsOfStudy":null,"isOpenAccess":false,"openAccessPdf":"https://www.ncbi.nlm.nih.gov/pmc/articles/PMC12178679/pdf/","citationCount":"0","resultStr":null,"platform":"Semanticscholar","paperid":null,"PeriodicalName":"Korean journal of ophthalmology : KJO","FirstCategoryId":"1085","ListUrlMain":"https://doi.org/10.3341/kjo.2025.0018","RegionNum":0,"RegionCategory":null,"ArticlePicture":[],"TitleCN":null,"AbstractTextCN":null,"PMCID":null,"EPubDate":"2025/5/22 0:00:00","PubModel":"Epub","JCR":"","JCRName":"","Score":null,"Total":0}
引用次数: 0

Abstract

Purpose: This study aimed to investigate the relationship between body composition and glaucoma by analyzing the associations between anthropometric and ocular parameters.

Methods: A total of 494 eyes from 247 patients were reviewed from a general health examination database at a tertiary hospital. Anthropometric parameters were assessed using a multifrequency bioelectrical impedance device. Mean ocular perfusion pressure (MOPP) was calculated based on systolic and diastolic blood pressures and intraocular pressure (IOP). Retinal thickness and other ocular parameters were analyzed for their association with body composition.

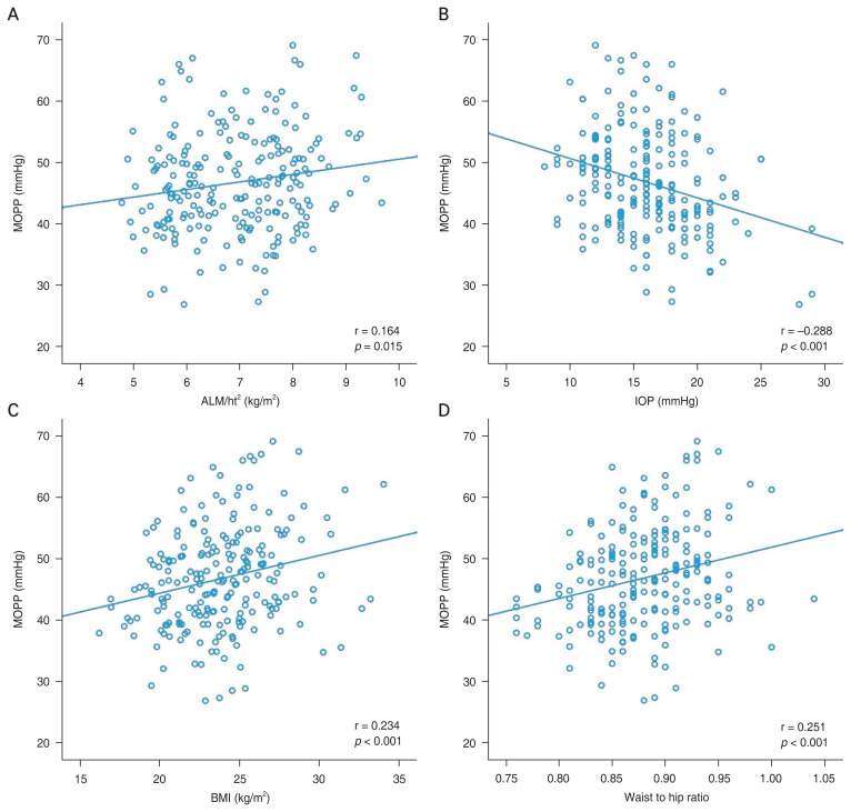
Results: A total of 221 eyes from 221 patients, including 104 with glaucoma, were enrolled in the final analysis. The prevalence of sarcopenia was significantly higher in patients with glaucomatous damage than in those without (p = 0.025). Higher IOP showed significant associations with lower MOPP (p < 0.001), higher body mass index (BMI; p = 0.001), and higher waist to hip ratio (p = 0.001). Retinal thickness was not significantly associated with body composition parameters, including BMI and appendicular lean mass adjusted with squared height. Higher MOPP was significantly correlated with lower IOP (p < 0.001), higher BMI (p < 0.001), higher waist to hip ratio (p < 0.001), and higher appendicular lean mass divided by squared height (p = 0.009).

Conclusions: Skeletal muscle mass and BMI were significantly associated with MOPP. Since low MOPP is a known risk factor for glaucoma, its association with skeletal muscle mass may indicate a relationship between systemic muscle health, ocular blood perfusion, and glaucomatous damage. Further large-scale studies are needed to validate these associations between skeletal muscle mass and glaucoma and explore their clinical implications.

Abstract Image

青光眼骨骼肌质量与眼灌注压的关系。
目的:通过分析人体测量和眼参数的相关性,探讨人体组成与青光眼的关系。方法:从某三级医院体检数据库中检索247例患者的494只眼。使用多频生物电阻抗装置评估人体测量参数。根据收缩压、舒张压和眼内压(IOP)计算平均眼灌注压(MOPP)。分析视网膜厚度和其他眼部参数与身体成分的关系。结果:221例患者共221只眼纳入最终分析,其中104例为青光眼。青光眼损害患者肌肉减少的发生率明显高于无青光眼损害患者(P= 0.025)。较高的IOP与较低的MOPP显著相关(结论:骨骼肌质量和BMI与MOPP显著相关。由于低MOPP是青光眼的已知危险因素,其与骨骼肌质量的关联可能表明全身肌肉健康、眼血灌注和青光眼损害之间的关系。需要进一步的大规模研究来验证骨骼肌质量与青光眼之间的关联,并探索其临床意义。
本文章由计算机程序翻译,如有差异,请以英文原文为准。
求助全文
约1分钟内获得全文 求助全文
来源期刊
自引率
0.00%
发文量
0
×
引用
GB/T 7714-2015
复制
MLA
复制
APA
复制
导出至
BibTeX EndNote RefMan NoteFirst NoteExpress
×
提示
您的信息不完整,为了账户安全,请先补充。
现在去补充
×
提示
您因"违规操作"
具体请查看互助需知
我知道了
×
提示
确定
请完成安全验证×
copy
已复制链接
快去分享给好友吧!
我知道了
右上角分享
点击右上角分享
0
联系我们:info@booksci.cn Book学术提供免费学术资源搜索服务,方便国内外学者检索中英文文献。致力于提供最便捷和优质的服务体验。 Copyright © 2023 布克学术 All rights reserved.
京ICP备2023020795号-1
ghs 京公网安备 11010802042870号
Book学术文献互助
Book学术文献互助群
群 号:604180095
Book学术官方微信