Force and moment analysis of clear aligners: Impact of material properties and design on premolar rotation.

IF 2.3 3区 医学 Q1 DENTISTRY, ORAL SURGERY & MEDICINE
Korean Journal of Orthodontics Pub Date : 2025-05-25 Epub Date: 2025-03-26 DOI:10.4041/kjod24.114
Dong-Woo Kim, Hyun-Jun Lee, Ki Beom Kim, Sung-Hun Kim, Seong-Sik Kim, Soo-Byung Park, Youn-Kyung Choi, Yong-Il Kim
{"title":"Force and moment analysis of clear aligners: Impact of material properties and design on premolar rotation.","authors":"Dong-Woo Kim, Hyun-Jun Lee, Ki Beom Kim, Sung-Hun Kim, Seong-Sik Kim, Soo-Byung Park, Youn-Kyung Choi, Yong-Il Kim","doi":"10.4041/kjod24.114","DOIUrl":null,"url":null,"abstract":"<p><strong>Objective: </strong>To quantitatively analyze and compare the forces and moments generated by thermoformed polyethylene terephthalate glycol (PETG) and direct-printed TC-85 clear aligners (CAs), with various margin designs, during premolar rotation.</p><p><strong>Methods: </strong>In total, 132 CAs were fabricated and divided into four groups (n = 33 per group). Group C consisted of thermoformed PETG aligners with a 2 mm gingival margin. Group E comprised direct-printed TC-85 aligners with equi-gingival margin, whereas Group G utilized direct-printed TC-85 aligners with 2 mm gingival margins. Finally, Group T featured direct-printed TC-85 aligners with an additional 1 mm thickness at the mesial embrasure. The forces and moments were measured using a 6-axis force/moment transducer at 2°, 3°, and 4° of rotation. All measurements were conducted at 37°C to simulate intraoral conditions. Forces were measured in the buccolingual, anteroposterior, and vertical directions, while moments were measured in the mesiodistal, buccolingual, and rotational planes.</p><p><strong>Results: </strong>The PETG aligners (Group C) showed significantly increased buccal and posterior force across the rotation angles (<i>P</i> < 0.05), whereas the intrusive force remained consistent. In contrast, the TC-85 aligners maintained consistent forces across all rotation angles. Direct-printed aligners demonstrated significantly lower intrusive forces than PETG aligners (<i>P</i> < 0.001). Group T exhibited reduced unwanted forces while maintaining effective rotational moments. Furthermore, all direct-printed aligners showed more predictable force delivery patterns than thermoformed aligners.</p><p><strong>Conclusions: </strong>Direct-printed TC-85 aligners demonstrated superior force consistency and reduced unwanted side effects compared with traditional PETG aligners. Although marginal design modifications did not significantly improve rotational efficiency, they effectively reduced unwanted intrusive forces.</p>","PeriodicalId":51260,"journal":{"name":"Korean Journal of Orthodontics","volume":"55 3","pages":"212-223"},"PeriodicalIF":2.3000,"publicationDate":"2025-05-25","publicationTypes":"Journal Article","fieldsOfStudy":null,"isOpenAccess":false,"openAccessPdf":"https://www.ncbi.nlm.nih.gov/pmc/articles/PMC12100335/pdf/","citationCount":"0","resultStr":null,"platform":"Semanticscholar","paperid":null,"PeriodicalName":"Korean Journal of Orthodontics","FirstCategoryId":"3","ListUrlMain":"https://doi.org/10.4041/kjod24.114","RegionNum":3,"RegionCategory":"医学","ArticlePicture":[],"TitleCN":null,"AbstractTextCN":null,"PMCID":null,"EPubDate":"2025/3/26 0:00:00","PubModel":"Epub","JCR":"Q1","JCRName":"DENTISTRY, ORAL SURGERY & MEDICINE","Score":null,"Total":0}
引用次数: 0

Abstract

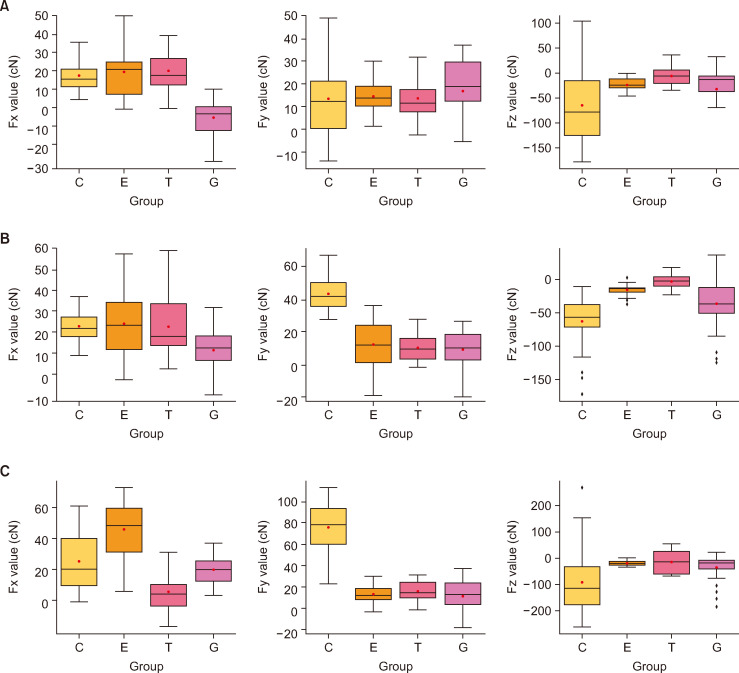
Objective: To quantitatively analyze and compare the forces and moments generated by thermoformed polyethylene terephthalate glycol (PETG) and direct-printed TC-85 clear aligners (CAs), with various margin designs, during premolar rotation.

Methods: In total, 132 CAs were fabricated and divided into four groups (n = 33 per group). Group C consisted of thermoformed PETG aligners with a 2 mm gingival margin. Group E comprised direct-printed TC-85 aligners with equi-gingival margin, whereas Group G utilized direct-printed TC-85 aligners with 2 mm gingival margins. Finally, Group T featured direct-printed TC-85 aligners with an additional 1 mm thickness at the mesial embrasure. The forces and moments were measured using a 6-axis force/moment transducer at 2°, 3°, and 4° of rotation. All measurements were conducted at 37°C to simulate intraoral conditions. Forces were measured in the buccolingual, anteroposterior, and vertical directions, while moments were measured in the mesiodistal, buccolingual, and rotational planes.

Results: The PETG aligners (Group C) showed significantly increased buccal and posterior force across the rotation angles (P < 0.05), whereas the intrusive force remained consistent. In contrast, the TC-85 aligners maintained consistent forces across all rotation angles. Direct-printed aligners demonstrated significantly lower intrusive forces than PETG aligners (P < 0.001). Group T exhibited reduced unwanted forces while maintaining effective rotational moments. Furthermore, all direct-printed aligners showed more predictable force delivery patterns than thermoformed aligners.

Conclusions: Direct-printed TC-85 aligners demonstrated superior force consistency and reduced unwanted side effects compared with traditional PETG aligners. Although marginal design modifications did not significantly improve rotational efficiency, they effectively reduced unwanted intrusive forces.

Abstract Image

Abstract Image

Abstract Image

牙齿矫正器的力和力矩分析:材料特性和设计对前磨牙旋转的影响。
目的:定量分析和比较热成型聚对苯二甲酸乙二醇酯(PETG)和直接打印TC-85透明对准器(CAs)在不同边缘设计下在前磨牙旋转过程中产生的力和力矩。方法:共制作ca 132只,分为4组,每组33只。C组为热成型PETG矫正器,龈缘2mm。E组采用直印TC-85等龈缘矫正器,G组采用直印TC-85 2 mm龈缘矫正器。最后,T组采用直接打印TC-85对准器,在中膜处增加1毫米厚度。使用6轴力/力矩传感器在旋转2°,3°和4°时测量力和力矩。所有测量均在37°C下进行,以模拟口腔内条件。在颊舌、前后和垂直方向测量力,而在中远端、颊舌和旋转平面测量力矩。结果:PETG矫正器(C组)在不同的旋转角度上均显著增加了颊部和后部的力(P < 0.05),而侵入力保持不变。相比之下,TC-85对准器在所有旋转角度上都保持一致的力。直接打印矫直器的侵入力明显低于PETG矫直器(P < 0.001)。组T表现出减少不必要的力,同时保持有效的转动力矩。此外,所有直接打印的矫形器都比热成型矫形器显示出更可预测的力传递模式。结论:与传统的PETG矫直器相比,直接打印TC-85矫直器具有更好的力一致性和更少的不良副作用。虽然边际设计修改不能显著提高旋转效率,但它们有效地减少了不必要的侵入力。
本文章由计算机程序翻译,如有差异,请以英文原文为准。
求助全文
约1分钟内获得全文 求助全文
来源期刊
Korean Journal of Orthodontics
Korean Journal of Orthodontics DENTISTRY, ORAL SURGERY & MEDICINE-
CiteScore
3.50
自引率
10.50%
发文量
48
审稿时长
>12 weeks
期刊介绍: The Korean Journal of Orthodontics (KJO) is an international, open access, peer reviewed journal published in January, March, May, July, September, and November each year. It was first launched in 1970 and, as the official scientific publication of Korean Association of Orthodontists, KJO aims to publish high quality clinical and scientific original research papers in all areas related to orthodontics and dentofacial orthopedics. Specifically, its interest focuses on evidence-based investigations of contemporary diagnostic procedures and treatment techniques, expanding to significant clinical reports of diverse treatment approaches. The scope of KJO covers all areas of orthodontics and dentofacial orthopedics including successful diagnostic procedures and treatment planning, growth and development of the face and its clinical implications, appliance designs, biomechanics, TMJ disorders and adult treatment. Specifically, its latest interest focuses on skeletal anchorage devices, orthodontic appliance and biomaterials, 3 dimensional imaging techniques utilized for dentofacial diagnosis and treatment planning, and orthognathic surgery to correct skeletal disharmony in association of orthodontic treatment.
×
引用
GB/T 7714-2015
复制
MLA
复制
APA
复制
导出至
BibTeX EndNote RefMan NoteFirst NoteExpress
×
提示
您的信息不完整,为了账户安全,请先补充。
现在去补充
×
提示
您因"违规操作"
具体请查看互助需知
我知道了
×
提示
确定
请完成安全验证×
copy
已复制链接
快去分享给好友吧!
我知道了
右上角分享
点击右上角分享
0
联系我们:info@booksci.cn Book学术提供免费学术资源搜索服务,方便国内外学者检索中英文文献。致力于提供最便捷和优质的服务体验。 Copyright © 2023 布克学术 All rights reserved.
京ICP备2023020795号-1
ghs 京公网安备 11010802042870号
Book学术文献互助
Book学术文献互助群
群 号:604180095
Book学术官方微信