Longitudinal Preceptor Assessment of Entrustable Professional Activities Across Introductory and Advanced Pharmacy Practice Experiences.

IF 1.8 Q3 PHARMACOLOGY & PHARMACY
Pharmacy Pub Date : 2025-05-21 DOI:10.3390/pharmacy13030072
Jennie B Jarrett, Abigail T Elmes-Patel, Sheila M Allen, Marlowe Djuric Kachlic, Allison E Schriever, Tara P Driscoll, Ara Tekian, Jeffrey J H Cheung, Edward Podsiadlik, Stuart T Haines, Alan Schwartz
{"title":"Longitudinal Preceptor Assessment of Entrustable Professional Activities Across Introductory and Advanced Pharmacy Practice Experiences.","authors":"Jennie B Jarrett, Abigail T Elmes-Patel, Sheila M Allen, Marlowe Djuric Kachlic, Allison E Schriever, Tara P Driscoll, Ara Tekian, Jeffrey J H Cheung, Edward Podsiadlik, Stuart T Haines, Alan Schwartz","doi":"10.3390/pharmacy13030072","DOIUrl":null,"url":null,"abstract":"<p><p>The objective was to evaluate the growth in pharmacy student performance in entrustable professional activity (EPA) assessments across the experiential curriculum based on preceptor assessments on an entrustment-supervision (ES) scale. This retrospective cohort study used assessments based on the 2016 American Association of Colleges of Pharmacy Core EPAs and an expanded ES scale during introductory and advanced pharmacy practice experiences (IPPEs/APPEs) in the third and fourth professional years from fall 2020 to fall 2023. The primary outcome was the change in ES level, assessed by preceptors over time. The secondary outcomes were growth rates across types of experiences, training environments, and experience order. A conditional growth curve model and ordinal mixed effects model were used to demonstrate discrete entrustment decisions. A total of 509 students received 12,426 assessments by 557 preceptors. Raw ES levels and unconditional growth curves for EPA show increases in entrustability from years P3 to P4. Comparing care settings, there was lower entrustment in inpatient than outpatient settings and at academic medical centers than other settings. There were no significant differences in ES levels regardless of which IPPE was taken first. However, when the first APPE was an inpatient medicine experience, ES levels across APPEs for EPA 3 were higher when compared to ambulatory care as the first APPE, and they were higher for EPA 5 when compared to community pharmacy as the first APPE. Paired with ES scales, EPAs can be integrated into pharmacy experiential curricula to demonstrate longitudinal growth in student entrustment.</p>","PeriodicalId":30544,"journal":{"name":"Pharmacy","volume":"13 3","pages":""},"PeriodicalIF":1.8000,"publicationDate":"2025-05-21","publicationTypes":"Journal Article","fieldsOfStudy":null,"isOpenAccess":false,"openAccessPdf":"https://www.ncbi.nlm.nih.gov/pmc/articles/PMC12101199/pdf/","citationCount":"0","resultStr":null,"platform":"Semanticscholar","paperid":null,"PeriodicalName":"Pharmacy","FirstCategoryId":"1085","ListUrlMain":"https://doi.org/10.3390/pharmacy13030072","RegionNum":0,"RegionCategory":null,"ArticlePicture":[],"TitleCN":null,"AbstractTextCN":null,"PMCID":null,"EPubDate":"","PubModel":"","JCR":"Q3","JCRName":"PHARMACOLOGY & PHARMACY","Score":null,"Total":0}
引用次数: 0

Abstract

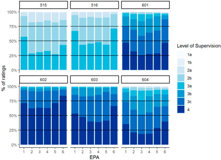
The objective was to evaluate the growth in pharmacy student performance in entrustable professional activity (EPA) assessments across the experiential curriculum based on preceptor assessments on an entrustment-supervision (ES) scale. This retrospective cohort study used assessments based on the 2016 American Association of Colleges of Pharmacy Core EPAs and an expanded ES scale during introductory and advanced pharmacy practice experiences (IPPEs/APPEs) in the third and fourth professional years from fall 2020 to fall 2023. The primary outcome was the change in ES level, assessed by preceptors over time. The secondary outcomes were growth rates across types of experiences, training environments, and experience order. A conditional growth curve model and ordinal mixed effects model were used to demonstrate discrete entrustment decisions. A total of 509 students received 12,426 assessments by 557 preceptors. Raw ES levels and unconditional growth curves for EPA show increases in entrustability from years P3 to P4. Comparing care settings, there was lower entrustment in inpatient than outpatient settings and at academic medical centers than other settings. There were no significant differences in ES levels regardless of which IPPE was taken first. However, when the first APPE was an inpatient medicine experience, ES levels across APPEs for EPA 3 were higher when compared to ambulatory care as the first APPE, and they were higher for EPA 5 when compared to community pharmacy as the first APPE. Paired with ES scales, EPAs can be integrated into pharmacy experiential curricula to demonstrate longitudinal growth in student entrustment.

Abstract Image

Abstract Image

Abstract Image

在入门和高级药学实践经验中可信赖的专业活动的纵向导师评估。
目的是评估药学学生在基于委托-监督(ES)量表的导师评估的体验式课程中可委托专业活动(EPA)评估中的表现增长。这项回顾性队列研究使用了基于2016年美国药学学院协会核心EPAs的评估,并在2020年秋季至2023年秋季的第三和第四个专业年的入门和高级药学实践经验(IPPEs/APPEs)期间扩大了ES量表。主要结果是ES水平的变化,由受体随时间评估。次要结果是不同类型经验、训练环境和经验顺序的增长率。采用条件增长曲线模型和有序混合效应模型对离散委托决策进行了分析。共有509名学生接受了557名导师的12426次评估。原始ES水平和EPA的无条件增长曲线显示,从P3年到P4年,可信赖性增加。比较护理环境,住院病人的信任度低于门诊病人,学术医疗中心的信任度低于其他环境。无论先服用哪一种IPPE, ES水平均无显著差异。然而,当第一次APPE是住院医疗经历时,与门诊护理作为第一次APPE相比,APPE中EPA 3的ES水平更高,而与社区药房作为第一次APPE相比,EPA 5的ES水平更高。与ES量表相结合,EPAs可以整合到药学体验课程中,以证明学生委托的纵向增长。
本文章由计算机程序翻译,如有差异,请以英文原文为准。
求助全文
约1分钟内获得全文 求助全文
来源期刊
Pharmacy
Pharmacy PHARMACOLOGY & PHARMACY-
自引率
9.10%
发文量
141
审稿时长
11 weeks
×
引用
GB/T 7714-2015
复制
MLA
复制
APA
复制
导出至
BibTeX EndNote RefMan NoteFirst NoteExpress
×
提示
您的信息不完整,为了账户安全,请先补充。
现在去补充
×
提示
您因"违规操作"
具体请查看互助需知
我知道了
×
提示
确定
请完成安全验证×
copy
已复制链接
快去分享给好友吧!
我知道了
右上角分享
点击右上角分享
0
联系我们:info@booksci.cn Book学术提供免费学术资源搜索服务,方便国内外学者检索中英文文献。致力于提供最便捷和优质的服务体验。 Copyright © 2023 布克学术 All rights reserved.
京ICP备2023020795号-1
ghs 京公网安备 11010802042870号
Book学术文献互助
Book学术文献互助群
群 号:604180095
Book学术官方微信