The Prediction of 28-Day Mortality in Crush Syndrome by Evaluating Lactate/Albumin Ratio in Patients Presented to the Emergency Department After an Earthquake

IF 2.4 4区 医学 Q2 MEDICINE, GENERAL & INTERNAL
Bilgehan Demir, İbrahim Çaltekin
{"title":"The Prediction of 28-Day Mortality in Crush Syndrome by Evaluating Lactate/Albumin Ratio in Patients Presented to the Emergency Department After an Earthquake","authors":"Bilgehan Demir,&nbsp;İbrahim Çaltekin","doi":"10.1155/ijcp/5391050","DOIUrl":null,"url":null,"abstract":"<div>\n <p><b>Introduction:</b> Crush syndrome (CS) is a primary cause of mortality among survivors following earthquakes. Determining discharge outcomes and mortality in cases of CS is critical for guiding management strategies. Biomarkers may be utilized to predict survival and mortality in CS cases early and accurately; however, those currently used are primarily intended for disease diagnosis.</p>\n <p><b>Objectives:</b> Considering that cases associated with impaired vital signs and organ perfusion show alterations in lactate, albumin, and the lactate/albumin (L/A) ratio, it was hypothesized that the L/A ratio could serve as a prognostic and mortality predictor in CS cases.</p>\n <p><b>Methods:</b> Following the February 2023 Kahramanmaraş earthquake, 1145 trauma patients presenting to the hospital emergency department were evaluated. Among these, 62 patients meeting the inclusion criteria were diagnosed with CS. Patient records were retrieved from archives and the hospital management information system. Anamnesis, physical examination findings, laboratory results, consultations, and discharge summaries were retrospectively analyzed.</p>\n <p><b>Results:</b> A total of 62 CS cases meeting the inclusion criteria were included in the study. Upon evaluating the patients’ initial lactate, albumin, and L/A ratio levels, lactate and L/A ratio levels were significantly higher in the deceased group compared to the survivors, while albumin levels were significantly lower (<i>p</i> = 0.018, <i>p</i> = 0.003, and <i>p</i> = 0.007, respectively). To predict 28-day mortality, a cutoff value of 4.35 was determined for lactate with 73.3% sensitivity and 66% specificity (AUC: 0.735). For the L/A ratio, a cutoff value of 1.2 was identified with 86.7% sensitivity and 70.2% specificity (AUC: 0.811). For albumin, a cutoff value of 3.35 was established with 66% sensitivity and 60% specificity (AUC: 0.721). K, lactate, and albumin showed low correlation with mortality, whereas the L/A ratio demonstrated a moderate correlation with mortality.</p>\n <p><b>Conclusion:</b> The serum L/A ratio can serve as a guide in diagnostic decision making for the prediction of CS in patients, and the blood L/A ratio has been found to be a biomarker that can be used to predict 28-day mortality in patients with CS.</p>\n </div>","PeriodicalId":13782,"journal":{"name":"International Journal of Clinical Practice","volume":"2025 1","pages":""},"PeriodicalIF":2.4000,"publicationDate":"2025-05-24","publicationTypes":"Journal Article","fieldsOfStudy":null,"isOpenAccess":false,"openAccessPdf":"https://onlinelibrary.wiley.com/doi/epdf/10.1155/ijcp/5391050","citationCount":"0","resultStr":null,"platform":"Semanticscholar","paperid":null,"PeriodicalName":"International Journal of Clinical Practice","FirstCategoryId":"3","ListUrlMain":"https://onlinelibrary.wiley.com/doi/10.1155/ijcp/5391050","RegionNum":4,"RegionCategory":"医学","ArticlePicture":[],"TitleCN":null,"AbstractTextCN":null,"PMCID":null,"EPubDate":"","PubModel":"","JCR":"Q2","JCRName":"MEDICINE, GENERAL & INTERNAL","Score":null,"Total":0}
引用次数: 0

Abstract

Introduction: Crush syndrome (CS) is a primary cause of mortality among survivors following earthquakes. Determining discharge outcomes and mortality in cases of CS is critical for guiding management strategies. Biomarkers may be utilized to predict survival and mortality in CS cases early and accurately; however, those currently used are primarily intended for disease diagnosis.

Objectives: Considering that cases associated with impaired vital signs and organ perfusion show alterations in lactate, albumin, and the lactate/albumin (L/A) ratio, it was hypothesized that the L/A ratio could serve as a prognostic and mortality predictor in CS cases.

Methods: Following the February 2023 Kahramanmaraş earthquake, 1145 trauma patients presenting to the hospital emergency department were evaluated. Among these, 62 patients meeting the inclusion criteria were diagnosed with CS. Patient records were retrieved from archives and the hospital management information system. Anamnesis, physical examination findings, laboratory results, consultations, and discharge summaries were retrospectively analyzed.

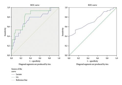
Results: A total of 62 CS cases meeting the inclusion criteria were included in the study. Upon evaluating the patients’ initial lactate, albumin, and L/A ratio levels, lactate and L/A ratio levels were significantly higher in the deceased group compared to the survivors, while albumin levels were significantly lower (p = 0.018, p = 0.003, and p = 0.007, respectively). To predict 28-day mortality, a cutoff value of 4.35 was determined for lactate with 73.3% sensitivity and 66% specificity (AUC: 0.735). For the L/A ratio, a cutoff value of 1.2 was identified with 86.7% sensitivity and 70.2% specificity (AUC: 0.811). For albumin, a cutoff value of 3.35 was established with 66% sensitivity and 60% specificity (AUC: 0.721). K, lactate, and albumin showed low correlation with mortality, whereas the L/A ratio demonstrated a moderate correlation with mortality.

Conclusion: The serum L/A ratio can serve as a guide in diagnostic decision making for the prediction of CS in patients, and the blood L/A ratio has been found to be a biomarker that can be used to predict 28-day mortality in patients with CS.

Abstract Image

地震后急诊患者乳酸/白蛋白比值对挤压综合征28天死亡率的预测
简介:挤压综合征(CS)是地震幸存者死亡的主要原因。确定CS病例的出院结果和死亡率对于指导管理策略至关重要。生物标志物可用于早期准确预测CS病例的生存和死亡率;然而,目前使用的主要是用于疾病诊断。目的:考虑到与生命体征和器官灌注受损相关的病例显示乳酸、白蛋白和乳酸/白蛋白(L/A)比的改变,我们假设L/A比可以作为CS病例的预后和死亡率预测因子。方法:对2023年2月kahramanmaraki地震后就诊于医院急诊科的1145名创伤患者进行评估。其中符合纳入标准的62例患者被诊断为CS。从档案和医院管理信息系统中检索患者记录。回顾性分析患者的记忆、体格检查结果、实验室结果、会诊和出院总结。结果:符合纳入标准的CS病例共62例纳入研究。在评估患者的初始乳酸、白蛋白和L/A比值水平时,与幸存者相比,死亡组的乳酸和L/A比值水平显著较高,而白蛋白水平显著较低(p = 0.018、p = 0.003和p = 0.007)。为了预测28天死亡率,乳酸盐的临界值为4.35,敏感性为73.3%,特异性为66% (AUC: 0.735)。L/A比值的临界值为1.2,敏感性为86.7%,特异性为70.2% (AUC: 0.811)。对于白蛋白,临界值为3.35,灵敏度为66%,特异性为60% (AUC: 0.721)。K、乳酸和白蛋白与死亡率呈低相关性,而L/A比值与死亡率呈中等相关性。结论:血清L/A比值可作为预测CS患者诊断决策的指导,血L/A比值可作为预测CS患者28天死亡率的生物标志物。
本文章由计算机程序翻译,如有差异,请以英文原文为准。
求助全文
约1分钟内获得全文 求助全文
来源期刊
CiteScore
5.30
自引率
0.00%
发文量
274
审稿时长
3-8 weeks
期刊介绍: IJCP is a general medical journal. IJCP gives special priority to work that has international appeal. IJCP publishes: Editorials. IJCP Editorials are commissioned. [Peer reviewed at the editor''s discretion] Perspectives. Most IJCP Perspectives are commissioned. Example. [Peer reviewed at the editor''s discretion] Study design and interpretation. Example. [Always peer reviewed] Original data from clinical investigations. In particular: Primary research papers from RCTs, observational studies, epidemiological studies; pre-specified sub-analyses; pooled analyses. [Always peer reviewed] Meta-analyses. [Always peer reviewed] Systematic reviews. From October 2009, special priority will be given to systematic reviews. [Always peer reviewed] Non-systematic/narrative reviews. From October 2009, reviews that are not systematic will be considered only if they include a discrete Methods section that must explicitly describe the authors'' approach. Special priority will, however, be given to systematic reviews. [Always peer reviewed] ''How to…'' papers. Example. [Always peer reviewed] Consensus statements. [Always peer reviewed] Short reports. [Always peer reviewed] Letters. [Peer reviewed at the editor''s discretion] International scope IJCP publishes work from investigators globally. Around 30% of IJCP articles list an author from the UK. Around 30% of IJCP articles list an author from the USA or Canada. Around 45% of IJCP articles list an author from a European country that is not the UK. Around 15% of articles published in IJCP list an author from a country in the Asia-Pacific region.
×
引用
GB/T 7714-2015
复制
MLA
复制
APA
复制
导出至
BibTeX EndNote RefMan NoteFirst NoteExpress
×
提示
您的信息不完整,为了账户安全,请先补充。
现在去补充
×
提示
您因"违规操作"
具体请查看互助需知
我知道了
×
提示
确定
请完成安全验证×
copy
已复制链接
快去分享给好友吧!
我知道了
右上角分享
点击右上角分享
0
联系我们:info@booksci.cn Book学术提供免费学术资源搜索服务,方便国内外学者检索中英文文献。致力于提供最便捷和优质的服务体验。 Copyright © 2023 布克学术 All rights reserved.
京ICP备2023020795号-1
ghs 京公网安备 11010802042870号
Book学术文献互助
Book学术文献互助群
群 号:604180095
Book学术官方微信