Effect of aging on semen and embryonic developmental scores in assisted reproductive technology.

IF 3.3 3区 医学 Q2 OBSTETRICS & GYNECOLOGY
Reproductive Medicine and Biology Pub Date : 2025-05-21 eCollection Date: 2025-01-01 DOI:10.1002/rmb2.12647
Taiyo Yamamoto, Katsuya Mine, Hisataka Iwata
{"title":"Effect of aging on semen and embryonic developmental scores in assisted reproductive technology.","authors":"Taiyo Yamamoto, Katsuya Mine, Hisataka Iwata","doi":"10.1002/rmb2.12647","DOIUrl":null,"url":null,"abstract":"<p><strong>Purpose: </strong>The effects of female aging on fertility have been extensively studied; however, this is not the case for aging males. Embryonic selection using time-lapse observations is helpful for successful embryo transfer; however, information on the effect of male aging on time-lapse is insufficient. We analyzed the impact of paternal aging on sperm characteristics, embryonic developmental kinetics, embryo evaluation score, and pregnancy outcomes.</p><p><strong>Methods: </strong>We used data from patients treated at our clinic between January 2020 and December 2022. We evaluated the effects of aging in men and women on semen data, in vitro fertilization (IVF) results, developmental kinetics, embryo evaluation scores, and embryo transfer outcomes using a retrospective approach.</p><p><strong>Results: </strong>Male aging adversely affected the semen characteristics. Although female aging had adverse effects on IVF, embryonic developmental kinetics, and embryo transfer outcomes, male aging did not have such a significant impact. Female aging decreased the iDAScore and Gardner criteria, whereas male aging did not affect the iDAScore.</p><p><strong>Conclusions: </strong>Aging in males had a negative effect on semen data. Contrary to the impact of aging on women, aging in men did not have a significant effect on embryo and gestation rates following embryo transfer.</p>","PeriodicalId":21116,"journal":{"name":"Reproductive Medicine and Biology","volume":"24 1","pages":"e12647"},"PeriodicalIF":3.3000,"publicationDate":"2025-05-21","publicationTypes":"Journal Article","fieldsOfStudy":null,"isOpenAccess":false,"openAccessPdf":"https://www.ncbi.nlm.nih.gov/pmc/articles/PMC12094255/pdf/","citationCount":"0","resultStr":null,"platform":"Semanticscholar","paperid":null,"PeriodicalName":"Reproductive Medicine and Biology","FirstCategoryId":"3","ListUrlMain":"https://doi.org/10.1002/rmb2.12647","RegionNum":3,"RegionCategory":"医学","ArticlePicture":[],"TitleCN":null,"AbstractTextCN":null,"PMCID":null,"EPubDate":"2025/1/1 0:00:00","PubModel":"eCollection","JCR":"Q2","JCRName":"OBSTETRICS & GYNECOLOGY","Score":null,"Total":0}
引用次数: 0

Abstract

Purpose: The effects of female aging on fertility have been extensively studied; however, this is not the case for aging males. Embryonic selection using time-lapse observations is helpful for successful embryo transfer; however, information on the effect of male aging on time-lapse is insufficient. We analyzed the impact of paternal aging on sperm characteristics, embryonic developmental kinetics, embryo evaluation score, and pregnancy outcomes.

Methods: We used data from patients treated at our clinic between January 2020 and December 2022. We evaluated the effects of aging in men and women on semen data, in vitro fertilization (IVF) results, developmental kinetics, embryo evaluation scores, and embryo transfer outcomes using a retrospective approach.

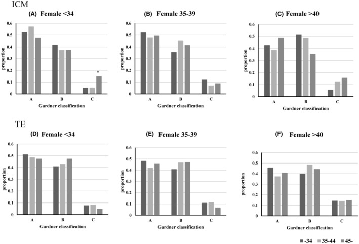
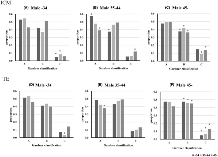
Results: Male aging adversely affected the semen characteristics. Although female aging had adverse effects on IVF, embryonic developmental kinetics, and embryo transfer outcomes, male aging did not have such a significant impact. Female aging decreased the iDAScore and Gardner criteria, whereas male aging did not affect the iDAScore.

Conclusions: Aging in males had a negative effect on semen data. Contrary to the impact of aging on women, aging in men did not have a significant effect on embryo and gestation rates following embryo transfer.

Abstract Image

Abstract Image

Abstract Image

衰老对辅助生殖技术中精液和胚胎发育评分的影响。
目的:女性衰老对生育能力的影响已被广泛研究;然而,老龄男性的情况并非如此。利用延时观察进行胚胎选择有助于胚胎移植的成功;然而,关于男性年龄对时间推移的影响的信息不足。我们分析了父亲衰老对精子特征、胚胎发育动力学、胚胎评估评分和妊娠结局的影响。方法:我们使用了2020年1月至2022年12月在我们诊所接受治疗的患者的数据。我们采用回顾性方法评估了男性和女性衰老对精液数据、体外受精(IVF)结果、发育动力学、胚胎评估评分和胚胎移植结果的影响。结果:男性衰老对精液特征有不利影响。尽管女性衰老对体外受精、胚胎发育动力学和胚胎移植结果有不利影响,但男性衰老没有如此显著的影响。女性衰老降低了iDAScore和Gardner标准,而男性衰老不影响iDAScore。结论:男性衰老对精液数据有负面影响。与衰老对女性的影响相反,男性的衰老对胚胎移植后的胚胎和妊娠率没有显著影响。
本文章由计算机程序翻译,如有差异,请以英文原文为准。
求助全文
约1分钟内获得全文 求助全文
来源期刊
CiteScore
5.70
自引率
5.90%
发文量
53
审稿时长
20 weeks
期刊介绍: Reproductive Medicine and Biology (RMB) is the official English journal of the Japan Society for Reproductive Medicine, the Japan Society of Fertilization and Implantation, the Japan Society of Andrology, and publishes original research articles that report new findings or concepts in all aspects of reproductive phenomena in all kinds of mammals. Papers in any of the following fields will be considered: andrology, endocrinology, oncology, immunology, genetics, function of gonads and genital tracts, erectile dysfunction, gametogenesis, function of accessory sex organs, fertilization, embryogenesis, embryo manipulation, pregnancy, implantation, ontogenesis, infectious disease, contraception, etc.
×
引用
GB/T 7714-2015
复制
MLA
复制
APA
复制
导出至
BibTeX EndNote RefMan NoteFirst NoteExpress
×
提示
您的信息不完整,为了账户安全,请先补充。
现在去补充
×
提示
您因"违规操作"
具体请查看互助需知
我知道了
×
提示
确定
请完成安全验证×
copy
已复制链接
快去分享给好友吧!
我知道了
右上角分享
点击右上角分享
0
联系我们:info@booksci.cn Book学术提供免费学术资源搜索服务,方便国内外学者检索中英文文献。致力于提供最便捷和优质的服务体验。 Copyright © 2023 布克学术 All rights reserved.
京ICP备2023020795号-1
ghs 京公网安备 11010802042870号
Book学术文献互助
Book学术文献互助群
群 号:604180095
Book学术官方微信