Storage Stability of Selected Vegetable Purees in High Barrier Pouches Processed With Pressure-Assisted Thermal Sterilization

IF 2.9 3区 农林科学 Q3 ENGINEERING, CHEMICAL
Zeyad Albahr, Girish M. Ganjyal, Juming Tang, Shyam S. Sablani
{"title":"Storage Stability of Selected Vegetable Purees in High Barrier Pouches Processed With Pressure-Assisted Thermal Sterilization","authors":"Zeyad Albahr,&nbsp;Girish M. Ganjyal,&nbsp;Juming Tang,&nbsp;Shyam S. Sablani","doi":"10.1111/jfpe.70137","DOIUrl":null,"url":null,"abstract":"<p>This study evaluated the stability of physicochemical properties, including the enzymatic activity of polyphenol oxidase (PPO) and the concentration of natural pigments, of three vegetable purees packaged in high barrier pouches after pressure-assisted thermal sterilization (PATS) and 6 months storage. The red beetroot, red cabbage, and carrot purees sealed in a high-barrier polymeric pouch were subjected to a PATS treatment at an operating pressure of 600 MPa and a starting vessel temperature of 90°C for a 5 min process. After PATS, the residual activities of PPO ranged from non-detectable to 8.1%. A total color difference (Δ<i>E</i>) in different purees varied between 4.23 and 5.53. The PATS treatment caused significant degradation in the content of betalains in the beet puree, while both anthocyanins in the cabbage puree and beta-carotene in the carrot puree exhibited a higher retention. During the 6 months of storage, cabbage puree showed a higher Δ<i>E</i> value and PPO residual activities than beetroot and carrot purees. Both anthocyanins and betalains experienced significant degradation, but beta-carotene had a high storage stability.</p>","PeriodicalId":15932,"journal":{"name":"Journal of Food Process Engineering","volume":"48 5","pages":""},"PeriodicalIF":2.9000,"publicationDate":"2025-05-22","publicationTypes":"Journal Article","fieldsOfStudy":null,"isOpenAccess":false,"openAccessPdf":"https://onlinelibrary.wiley.com/doi/epdf/10.1111/jfpe.70137","citationCount":"0","resultStr":null,"platform":"Semanticscholar","paperid":null,"PeriodicalName":"Journal of Food Process Engineering","FirstCategoryId":"97","ListUrlMain":"https://onlinelibrary.wiley.com/doi/10.1111/jfpe.70137","RegionNum":3,"RegionCategory":"农林科学","ArticlePicture":[],"TitleCN":null,"AbstractTextCN":null,"PMCID":null,"EPubDate":"","PubModel":"","JCR":"Q3","JCRName":"ENGINEERING, CHEMICAL","Score":null,"Total":0}
引用次数: 0

Abstract

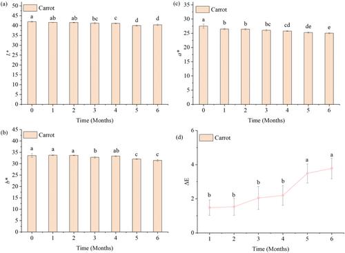
This study evaluated the stability of physicochemical properties, including the enzymatic activity of polyphenol oxidase (PPO) and the concentration of natural pigments, of three vegetable purees packaged in high barrier pouches after pressure-assisted thermal sterilization (PATS) and 6 months storage. The red beetroot, red cabbage, and carrot purees sealed in a high-barrier polymeric pouch were subjected to a PATS treatment at an operating pressure of 600 MPa and a starting vessel temperature of 90°C for a 5 min process. After PATS, the residual activities of PPO ranged from non-detectable to 8.1%. A total color difference (ΔE) in different purees varied between 4.23 and 5.53. The PATS treatment caused significant degradation in the content of betalains in the beet puree, while both anthocyanins in the cabbage puree and beta-carotene in the carrot puree exhibited a higher retention. During the 6 months of storage, cabbage puree showed a higher ΔE value and PPO residual activities than beetroot and carrot purees. Both anthocyanins and betalains experienced significant degradation, but beta-carotene had a high storage stability.

Abstract Image

压力辅助热灭菌高阻隔袋装蔬菜果浆贮存稳定性研究
本研究评估了三种蔬菜果泥在高压辅助热灭菌(PATS)和6个月的储存后,在高屏障袋中包装的理化性质的稳定性,包括多酚氧化酶(PPO)酶活性和天然色素浓度。将红甜菜根、红卷心菜和胡萝卜泥密封在高阻隔聚合物袋中,在600 MPa的操作压力和90°C的起始容器温度下进行PATS处理,处理5分钟。经过PATS后,PPO的残留活性从无法检测到8.1%不等。不同果泥的总色差(ΔE)在4.23和5.53之间变化。PATS处理导致甜菜泥中甜菜素含量显著降低,而卷心菜泥中的花青素和胡萝卜泥中的β -胡萝卜素含量均有较高的保留。在贮藏6个月期间,白菜果泥的ΔE值和PPO残留量均高于甜菜根和胡萝卜果泥。花青素和甜菜素均有明显的降解,但β -胡萝卜素具有较高的储存稳定性。
本文章由计算机程序翻译,如有差异,请以英文原文为准。
求助全文
约1分钟内获得全文 求助全文
来源期刊
Journal of Food Process Engineering
Journal of Food Process Engineering 工程技术-工程:化工
CiteScore
5.70
自引率
10.00%
发文量
259
审稿时长
2 months
期刊介绍: This international research journal focuses on the engineering aspects of post-production handling, storage, processing, packaging, and distribution of food. Read by researchers, food and chemical engineers, and industry experts, this is the only international journal specifically devoted to the engineering aspects of food processing. Co-Editors M. Elena Castell-Perez and Rosana Moreira, both of Texas A&M University, welcome papers covering the best original research on applications of engineering principles and concepts to food and food processes.
×
引用
GB/T 7714-2015
复制
MLA
复制
APA
复制
导出至
BibTeX EndNote RefMan NoteFirst NoteExpress
×
提示
您的信息不完整,为了账户安全,请先补充。
现在去补充
×
提示
您因"违规操作"
具体请查看互助需知
我知道了
×
提示
确定
请完成安全验证×
copy
已复制链接
快去分享给好友吧!
我知道了
右上角分享
点击右上角分享
0
联系我们:info@booksci.cn Book学术提供免费学术资源搜索服务,方便国内外学者检索中英文文献。致力于提供最便捷和优质的服务体验。 Copyright © 2023 布克学术 All rights reserved.
京ICP备2023020795号-1
ghs 京公网安备 11010802042870号
Book学术文献互助
Book学术文献互助群
群 号:604180095
Book学术官方微信