Visual physiology of Australian stingless bees.

IF 2.2 4区 心理学 Q3 BEHAVIORAL SCIENCES
Bhavana Penmetcha, Laura A Ryan, Yuri Ogawa, Nathan S Hart, Ajay Narendra
{"title":"Visual physiology of Australian stingless bees.","authors":"Bhavana Penmetcha, Laura A Ryan, Yuri Ogawa, Nathan S Hart, Ajay Narendra","doi":"10.1007/s00359-025-01740-x","DOIUrl":null,"url":null,"abstract":"<p><p>Stingless bees engage in a range of visually guided behaviours that require relatively high spatial resolution and contrast sensitivity. Although the eyes of honeybees, bumblebees, carpenter bees, and sweat bees have been studied extensively, there is limited knowledge of stingless bees. Here, we studied two sympatric Australian species, Tetragonula carbonaria and Austroplebeia australis, which are important crop pollinators. The bigger A. australis had more and larger ommatidial facets compared to T. carbonaria. Using pattern electroretinography, we showed that A. australis had higher contrast sensitivity (13.07) compared to T. carbonaria (5.99), but their spatial resolving power did not differ (0.53 cycles deg<sup>-1</sup>). We discuss these differences in visual physiology in the context of the distinct foraging behaviours of the two species.</p>","PeriodicalId":54862,"journal":{"name":"Journal of Comparative Physiology A-Neuroethology Sensory Neural and Behavioral Physiology","volume":" ","pages":"435-444"},"PeriodicalIF":2.2000,"publicationDate":"2025-07-01","publicationTypes":"Journal Article","fieldsOfStudy":null,"isOpenAccess":false,"openAccessPdf":"https://www.ncbi.nlm.nih.gov/pmc/articles/PMC12321664/pdf/","citationCount":"0","resultStr":null,"platform":"Semanticscholar","paperid":null,"PeriodicalName":"Journal of Comparative Physiology A-Neuroethology Sensory Neural and Behavioral Physiology","FirstCategoryId":"102","ListUrlMain":"https://doi.org/10.1007/s00359-025-01740-x","RegionNum":4,"RegionCategory":"心理学","ArticlePicture":[],"TitleCN":null,"AbstractTextCN":null,"PMCID":null,"EPubDate":"2025/5/20 0:00:00","PubModel":"Epub","JCR":"Q3","JCRName":"BEHAVIORAL SCIENCES","Score":null,"Total":0}
引用次数: 0

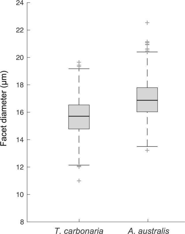
Abstract

Stingless bees engage in a range of visually guided behaviours that require relatively high spatial resolution and contrast sensitivity. Although the eyes of honeybees, bumblebees, carpenter bees, and sweat bees have been studied extensively, there is limited knowledge of stingless bees. Here, we studied two sympatric Australian species, Tetragonula carbonaria and Austroplebeia australis, which are important crop pollinators. The bigger A. australis had more and larger ommatidial facets compared to T. carbonaria. Using pattern electroretinography, we showed that A. australis had higher contrast sensitivity (13.07) compared to T. carbonaria (5.99), but their spatial resolving power did not differ (0.53 cycles deg-1). We discuss these differences in visual physiology in the context of the distinct foraging behaviours of the two species.

Abstract Image

Abstract Image

Abstract Image

澳洲无刺蜂的视觉生理。
无刺蜜蜂从事一系列视觉引导的行为,这些行为需要相对较高的空间分辨率和对比度灵敏度。尽管人们对蜜蜂、大黄蜂、木蜂和汗蜂的眼睛进行了广泛的研究,但对无刺蜜蜂的了解有限。本研究以澳大利亚两种重要的作物传粉昆虫——石炭四角虫(Tetragonula carbonaria)和Austroplebeia australis为研究对象。体型较大的南方古猿比炭黑古猿具有更多更大的齿面。利用视网膜电图分析,南方古猿的对比灵敏度(13.07)高于石炭黑(5.99),但空间分辨能力(0.53 cycles de -1)差异不大。我们在两个物种的不同觅食行为的背景下讨论这些视觉生理上的差异。
本文章由计算机程序翻译,如有差异,请以英文原文为准。
求助全文
约1分钟内获得全文 求助全文
来源期刊
CiteScore
4.80
自引率
14.30%
发文量
67
审稿时长
1 months
期刊介绍: The Journal of Comparative Physiology A welcomes original articles, short reviews, and short communications in the following fields: - Neurobiology and neuroethology - Sensory physiology and ecology - Physiological and hormonal basis of behavior - Communication, orientation, and locomotion - Functional imaging and neuroanatomy Contributions should add to our understanding of mechanisms and not be purely descriptive. The level of organization addressed may be organismic, cellular, or molecular. Colour figures are free in print and online.
×
引用
GB/T 7714-2015
复制
MLA
复制
APA
复制
导出至
BibTeX EndNote RefMan NoteFirst NoteExpress
×
提示
您的信息不完整,为了账户安全,请先补充。
现在去补充
×
提示
您因"违规操作"
具体请查看互助需知
我知道了
×
提示
确定
请完成安全验证×
copy
已复制链接
快去分享给好友吧!
我知道了
右上角分享
点击右上角分享
0
联系我们:info@booksci.cn Book学术提供免费学术资源搜索服务,方便国内外学者检索中英文文献。致力于提供最便捷和优质的服务体验。 Copyright © 2023 布克学术 All rights reserved.
京ICP备2023020795号-1
ghs 京公网安备 11010802042870号
Book学术文献互助
Book学术文献互助群
群 号:604180095
Book学术官方微信