[Prediction model for transformation of chronic atrophic gastritis to high-grade intraepithelial neoplasia based on traditional Chinese medicine syndrome patterns].

Q2 Medicine
Xiangying Lin, Jingyao Shi, Xiaoyan Huang, Zeyu Zheng, Xiaofeng Huang, Minghan Huang
{"title":"[Prediction model for transformation of chronic atrophic gastritis to high-grade intraepithelial neoplasia based on traditional Chinese medicine syndrome patterns].","authors":"Xiangying Lin, Jingyao Shi, Xiaoyan Huang, Zeyu Zheng, Xiaofeng Huang, Minghan Huang","doi":"10.3724/zdxbyxb-2024-0542","DOIUrl":null,"url":null,"abstract":"<p><strong>Objectives: </strong>To develop a risk prediction model for the transformation of chronic atrophic gastritis to high-grade intraepithelial neoplasia (HGIN) based on traditional Chinese medicine (TCM) syndrome patterns.</p><p><strong>Methods: </strong>Clinical data of 201 chronic atrophic gastritis patients who visited the Second People's Hospital Affiliated to Fujian University of Traditional Chinese Medicine and Dong'erhuan Branch between January 2022 and March 2023 were retrospectively analyzed, including 32 patients with HGIN (HGIN group) and 169 patients with moderate and severe chronic atrophic gastritis (non-HGIN group). The information of demographic characteristics, dietary habits, lifestyle factors, social and psychosocial factors, family history of tumors, medical history and comorbidities, long-term medication, endoscopic findings, histopathological examination results, as well as TCM syndrome types were collected. Potential HGIN risk factors were screened using LASSO regression, and the significant risk factors for establishing an HGIN risk prediction model were identified using logistic regression analysis. The final model was visually presented using a nomogram, and its diagnostic performance was evaluated through receiver operating characteristic curve analysis.</p><p><strong>Results: </strong>Spleen-stomach Qi deficiency was the most common TCM syndrome in both HGIN and non-HGIN groups. LASSO-logistic regression model analysis showed that heavy alcohol consumption (X1), syndrome of static blood in stomach collaterals (X2), low-grade intraepithelial neoplasia (X3), high-salt diet (X4), and age (X5) were independent risk factors related to the occurrence of HGIN, and the predictive model was <i>ln</i>[<i>P</i>/(1-<i>P</i>)]=2.159X1+2.230X2+1.664X3+2.070X4+0.122X5- 11.096. The model demonstrated good discriminative ability, calibration, and goodness-of-fit, with area under the curve values of 0.940 and 0.891 in the training and validation sets, respectively.</p><p><strong>Conclusions: </strong>The TCM syndrome of static blood in stomach collaterals shows correlation with the transformation from chronic atrophic gastritis to HGIN. The HGIN prediction model based on TCM syndrome patterns developed in the study demonstrates potential value in clinical application.</p>","PeriodicalId":24007,"journal":{"name":"Zhejiang da xue xue bao. Yi xue ban = Journal of Zhejiang University. Medical sciences","volume":" ","pages":"297-306"},"PeriodicalIF":0.0000,"publicationDate":"2025-05-25","publicationTypes":"Journal Article","fieldsOfStudy":null,"isOpenAccess":false,"openAccessPdf":"https://www.ncbi.nlm.nih.gov/pmc/articles/PMC12176536/pdf/","citationCount":"0","resultStr":null,"platform":"Semanticscholar","paperid":null,"PeriodicalName":"Zhejiang da xue xue bao. Yi xue ban = Journal of Zhejiang University. Medical sciences","FirstCategoryId":"1085","ListUrlMain":"https://doi.org/10.3724/zdxbyxb-2024-0542","RegionNum":0,"RegionCategory":null,"ArticlePicture":[],"TitleCN":null,"AbstractTextCN":null,"PMCID":null,"EPubDate":"","PubModel":"","JCR":"Q2","JCRName":"Medicine","Score":null,"Total":0}
引用次数: 0

Abstract

Objectives: To develop a risk prediction model for the transformation of chronic atrophic gastritis to high-grade intraepithelial neoplasia (HGIN) based on traditional Chinese medicine (TCM) syndrome patterns.

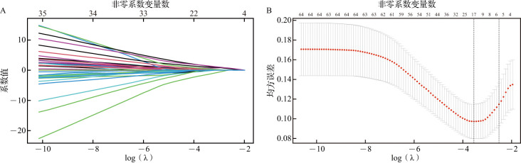
Methods: Clinical data of 201 chronic atrophic gastritis patients who visited the Second People's Hospital Affiliated to Fujian University of Traditional Chinese Medicine and Dong'erhuan Branch between January 2022 and March 2023 were retrospectively analyzed, including 32 patients with HGIN (HGIN group) and 169 patients with moderate and severe chronic atrophic gastritis (non-HGIN group). The information of demographic characteristics, dietary habits, lifestyle factors, social and psychosocial factors, family history of tumors, medical history and comorbidities, long-term medication, endoscopic findings, histopathological examination results, as well as TCM syndrome types were collected. Potential HGIN risk factors were screened using LASSO regression, and the significant risk factors for establishing an HGIN risk prediction model were identified using logistic regression analysis. The final model was visually presented using a nomogram, and its diagnostic performance was evaluated through receiver operating characteristic curve analysis.

Results: Spleen-stomach Qi deficiency was the most common TCM syndrome in both HGIN and non-HGIN groups. LASSO-logistic regression model analysis showed that heavy alcohol consumption (X1), syndrome of static blood in stomach collaterals (X2), low-grade intraepithelial neoplasia (X3), high-salt diet (X4), and age (X5) were independent risk factors related to the occurrence of HGIN, and the predictive model was lnP/(1-P)]=2.159X1+2.230X2+1.664X3+2.070X4+0.122X5- 11.096. The model demonstrated good discriminative ability, calibration, and goodness-of-fit, with area under the curve values of 0.940 and 0.891 in the training and validation sets, respectively.

Conclusions: The TCM syndrome of static blood in stomach collaterals shows correlation with the transformation from chronic atrophic gastritis to HGIN. The HGIN prediction model based on TCM syndrome patterns developed in the study demonstrates potential value in clinical application.

Abstract Image

Abstract Image

Abstract Image

基于中医证型的慢性萎缩性胃炎向高级别上皮内瘤变转变预测模型的建立。
目的:建立基于中医证型的慢性萎缩性胃炎(CAG)向高级别上皮内瘤变(HGIN)转变的风险预测模型。方法:回顾性分析2022年1月至2023年3月在福建中医药大学第二附属医院消化内科及东二环分院就诊的201例慢性萎缩性胃炎患者的临床资料,其中HGIN组32例,非HGIN组169例。收集患者的人口学特征、饮食习惯、生活方式因素、心理社会因素、肿瘤家族史、病史及合并症、长期用药、内镜检查、组织病理学检查结果、中医证型等信息。采用LASSO回归筛选HGIN潜在危险因素,采用logistic回归分析确定HGIN风险预测模型的显著性危险因素。最终的模型采用nomogram可视化呈现,并通过受试者工作特征曲线分析评价其诊断性能。结果:脾胃气虚证是HGIN组和非HGIN组最常见的中医证候。LASSO-logistic回归模型分析显示,重度饮酒(X1)、胃经静血证(X2)、低级别上皮内瘤变(X3)、高盐饮食(X4)、年龄(X5)是HGIN发生的独立危险因素,预测模型为I n P 1- P=2.159X1+2.23X2+1.664X3+2.07X4+0.122X5- 11.096。该模型具有良好的判别能力、标定能力和拟合优度。结论:胃络静血证与慢性萎缩性胃炎向HGIN的转变有一定的相关性。本研究建立的基于中医证型的HGIN预测模型具有潜在的临床应用价值。
本文章由计算机程序翻译,如有差异,请以英文原文为准。
求助全文
约1分钟内获得全文 求助全文
来源期刊
CiteScore
3.80
自引率
0.00%
发文量
67
×
引用
GB/T 7714-2015
复制
MLA
复制
APA
复制
导出至
BibTeX EndNote RefMan NoteFirst NoteExpress
×
提示
您的信息不完整,为了账户安全,请先补充。
现在去补充
×
提示
您因"违规操作"
具体请查看互助需知
我知道了
×
提示
确定
请完成安全验证×
copy
已复制链接
快去分享给好友吧!
我知道了
右上角分享
点击右上角分享
0
联系我们:info@booksci.cn Book学术提供免费学术资源搜索服务,方便国内外学者检索中英文文献。致力于提供最便捷和优质的服务体验。 Copyright © 2023 布克学术 All rights reserved.
京ICP备2023020795号-1
ghs 京公网安备 11010802042870号
Book学术文献互助
Book学术文献互助群
群 号:604180095
Book学术官方微信