[Association between Chinese visceral adiposity index and the risk of nephrolithiasis].

Q2 Medicine
Wei Zhang, Shengqi Zheng, Tianchi Hua, Yifan Li, Qibing Fan
{"title":"[Association between Chinese visceral adiposity index and the risk of nephrolithiasis].","authors":"Wei Zhang, Shengqi Zheng, Tianchi Hua, Yifan Li, Qibing Fan","doi":"10.3724/zdxbyxb-2024-0373","DOIUrl":null,"url":null,"abstract":"<p><strong>Objectives: </strong>To explore the association between Chinese visceral adiposity index (CVAI) and the risk of nephrolithiasis.</p><p><strong>Methods: </strong>This cross-sectional study analyzed data from 78 438 Chinese adults who underwent ultrasound examinations during health screening at the Health Examination Center of Affiliated Hospital of Yangzhou University. Participants were divided into quartiles (Q1-Q4 groups) based on CVAI. Multivariate logistic regression models were utilized to evaluate the association between CVAI and nephrolithiasis risk, followed by subgroup analyses to further explore potential relationships. The performance of CVAI in predicting the risk of nephrolithiasis was evaluated using receiver operating characteristic (ROC) curves.</p><p><strong>Results: </strong>Increased CVAI was significantly associated with a higher risk of nephrolithiasis, with prevalence rising from 3.36% in the Q1 group to 10.67% in the Q4 group (<i>P</i><0.01). In adjusted models, CVAI was positively correlated with the prevalence rate of nephrolithiasis (<i>OR</i>=1.002, 95%<i>CI</i>: 1.001-1.004, <i>P</i><0.01). The risks of nephrolithiasis in the Q2, Q3, and Q4 groups were 1.196-fold (95%<i>CI</i>: 1.069-1.338, <i>P</i><0.01), 1.260-fold (95%<i>CI</i>: 1.109-1.433, <i>P</i><0.01), and 1.316-fold (95%<i>CI</i>: 1.125-1.539, <i>P</i><0.01) higher than in the Q1 group, respectively. Subgroup analysis revealed that CVAI was positively associated with the risk of nephrolithiasis in male participants, individuals aged <60 years, the hypertension group, populations with or without diabetes mellitus, and the normal body mass index subgroup. Genders and age had an interaction effect on the correlation between CVAI and the risk of nephrolithiasis development (both <i>P</i><0.05). The ROC curve analysis demonstrated that CVAI exhibited superior predictive efficacy compared to waist circumference, body mass index, visceral adiposity index, weight-adjusted waist index, cardiometabolic index and body shape index, with an area under the curve of 0.622.</p><p><strong>Conclusions: </strong>In Chinese adults, CVAI is positively associated with the risk of nephrolithiasis development, which may serve as a potential predictive marker for nephrolithiasis.</p>","PeriodicalId":24007,"journal":{"name":"Zhejiang da xue xue bao. Yi xue ban = Journal of Zhejiang University. Medical sciences","volume":" ","pages":"382-389"},"PeriodicalIF":0.0000,"publicationDate":"2025-05-25","publicationTypes":"Journal Article","fieldsOfStudy":null,"isOpenAccess":false,"openAccessPdf":"https://www.ncbi.nlm.nih.gov/pmc/articles/PMC12176532/pdf/","citationCount":"0","resultStr":null,"platform":"Semanticscholar","paperid":null,"PeriodicalName":"Zhejiang da xue xue bao. Yi xue ban = Journal of Zhejiang University. Medical sciences","FirstCategoryId":"1085","ListUrlMain":"https://doi.org/10.3724/zdxbyxb-2024-0373","RegionNum":0,"RegionCategory":null,"ArticlePicture":[],"TitleCN":null,"AbstractTextCN":null,"PMCID":null,"EPubDate":"","PubModel":"","JCR":"Q2","JCRName":"Medicine","Score":null,"Total":0}
引用次数: 0

Abstract

Objectives: To explore the association between Chinese visceral adiposity index (CVAI) and the risk of nephrolithiasis.

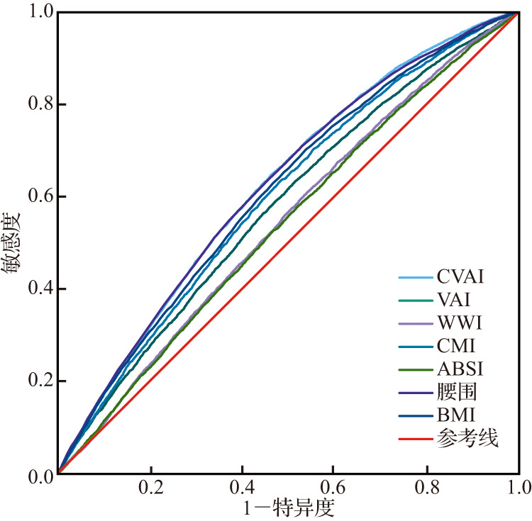
Methods: This cross-sectional study analyzed data from 78 438 Chinese adults who underwent ultrasound examinations during health screening at the Health Examination Center of Affiliated Hospital of Yangzhou University. Participants were divided into quartiles (Q1-Q4 groups) based on CVAI. Multivariate logistic regression models were utilized to evaluate the association between CVAI and nephrolithiasis risk, followed by subgroup analyses to further explore potential relationships. The performance of CVAI in predicting the risk of nephrolithiasis was evaluated using receiver operating characteristic (ROC) curves.

Results: Increased CVAI was significantly associated with a higher risk of nephrolithiasis, with prevalence rising from 3.36% in the Q1 group to 10.67% in the Q4 group (P<0.01). In adjusted models, CVAI was positively correlated with the prevalence rate of nephrolithiasis (OR=1.002, 95%CI: 1.001-1.004, P<0.01). The risks of nephrolithiasis in the Q2, Q3, and Q4 groups were 1.196-fold (95%CI: 1.069-1.338, P<0.01), 1.260-fold (95%CI: 1.109-1.433, P<0.01), and 1.316-fold (95%CI: 1.125-1.539, P<0.01) higher than in the Q1 group, respectively. Subgroup analysis revealed that CVAI was positively associated with the risk of nephrolithiasis in male participants, individuals aged <60 years, the hypertension group, populations with or without diabetes mellitus, and the normal body mass index subgroup. Genders and age had an interaction effect on the correlation between CVAI and the risk of nephrolithiasis development (both P<0.05). The ROC curve analysis demonstrated that CVAI exhibited superior predictive efficacy compared to waist circumference, body mass index, visceral adiposity index, weight-adjusted waist index, cardiometabolic index and body shape index, with an area under the curve of 0.622.

Conclusions: In Chinese adults, CVAI is positively associated with the risk of nephrolithiasis development, which may serve as a potential predictive marker for nephrolithiasis.

Abstract Image

Abstract Image

中国人内脏脂肪指数与肾结石风险的关系。
目的:探讨中国人内脏脂肪指数(CVAI)与肾结石风险的关系。方法:本横断面研究分析了在扬州大学附属医院健康检查中心接受超声检查的78438名中国成年人的健康检查资料。根据CVAI将受试者分为四分位数(Q1组- q4组)。采用多变量logistic回归模型评估CVAI与肾结石风险之间的关系,然后进行亚组分析以进一步探讨潜在的关系。采用受试者工作特征(ROC)曲线评价CVAI预测肾结石风险的效果。结果:CVAI升高与肾结石风险升高显著相关,从Q1组的3.36%上升至Q4组的10.67% (POR=1.002, 95%CI: 1.001-1.004, PCI: 1.009-1.010, PCI: 1.109-1.433, PCI: 1.125-1.539, ppp)结论:在中国成年人中,CVAI与肾结石发生风险呈正相关,可能作为肾结石的潜在预测指标。
本文章由计算机程序翻译,如有差异,请以英文原文为准。
求助全文
约1分钟内获得全文 求助全文
来源期刊
CiteScore
3.80
自引率
0.00%
发文量
67
×
引用
GB/T 7714-2015
复制
MLA
复制
APA
复制
导出至
BibTeX EndNote RefMan NoteFirst NoteExpress
×
提示
您的信息不完整,为了账户安全,请先补充。
现在去补充
×
提示
您因"违规操作"
具体请查看互助需知
我知道了
×
提示
确定
请完成安全验证×
copy
已复制链接
快去分享给好友吧!
我知道了
右上角分享
点击右上角分享
0
联系我们:info@booksci.cn Book学术提供免费学术资源搜索服务,方便国内外学者检索中英文文献。致力于提供最便捷和优质的服务体验。 Copyright © 2023 布克学术 All rights reserved.
京ICP备2023020795号-1
ghs 京公网安备 11010802042870号
Book学术文献互助
Book学术文献互助群
群 号:604180095
Book学术官方微信