Exploring real-time PCR techniques for diagnosing leishmaniasis: key insights from a systematic review.

IF 2 3区 医学 Q2 PARASITOLOGY
José Bryan Rihs, Mariana Teixeira Vilela, Janete Soares Coelho Dos Santos, Sérgio Caldas, Rodrigo Souza Leite, Marcos Paulo Gomes Mol
{"title":"Exploring real-time PCR techniques for diagnosing leishmaniasis: key insights from a systematic review.","authors":"José Bryan Rihs, Mariana Teixeira Vilela, Janete Soares Coelho Dos Santos, Sérgio Caldas, Rodrigo Souza Leite, Marcos Paulo Gomes Mol","doi":"10.1007/s00436-025-08503-2","DOIUrl":null,"url":null,"abstract":"<p><p>Real-time PCR (qPCR) has emerged as a promising alternative to be used in the diagnosis of leishmaniasis. However, a consensus on the standardized approach for this purpose is yet to be established. This systematic review aims to highlight relevant aspects for the development of possible consensus protocols. The study included publications from January 2011 to July 2023 using different databases. Studies focusing on qPCR standardization for the diagnosis of leishmaniasis were included. The collected data encompassed study group details, geographical locations, sample types and quantities, molecular targets, and qPCR methodologies, which were subsequently pooled and analyzed. Forty-three studies conducted in diverse regions of the world were included. The majority were visceral leishmaniasis, followed by cutaneous leishmaniasis and post-kala-azar dermal leishmaniasis. Overall, invasive samples demonstrated higher sensitivity (> 90%) compared to non-invasive samples (< 90%), but both exhibited high specificity (> 85%). Furthermore, the kDNA minicircle was identified as the most promising molecular target, with a discreet preference for the use of TaqMan probes over SYBR Green. Various qPCR approaches have exhibited promising results in the diagnosis of leishmaniasis. However, further studies exploring non-invasive sampling techniques in conjunction with appropriate molecular targets are essential to establish efficient and reliable diagnostic techniques.</p>","PeriodicalId":19968,"journal":{"name":"Parasitology Research","volume":"124 5","pages":"54"},"PeriodicalIF":2.0000,"publicationDate":"2025-05-21","publicationTypes":"Journal Article","fieldsOfStudy":null,"isOpenAccess":false,"openAccessPdf":"https://www.ncbi.nlm.nih.gov/pmc/articles/PMC12095430/pdf/","citationCount":"0","resultStr":null,"platform":"Semanticscholar","paperid":null,"PeriodicalName":"Parasitology Research","FirstCategoryId":"3","ListUrlMain":"https://doi.org/10.1007/s00436-025-08503-2","RegionNum":3,"RegionCategory":"医学","ArticlePicture":[],"TitleCN":null,"AbstractTextCN":null,"PMCID":null,"EPubDate":"","PubModel":"","JCR":"Q2","JCRName":"PARASITOLOGY","Score":null,"Total":0}
引用次数: 0

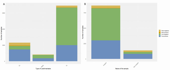
Abstract

Real-time PCR (qPCR) has emerged as a promising alternative to be used in the diagnosis of leishmaniasis. However, a consensus on the standardized approach for this purpose is yet to be established. This systematic review aims to highlight relevant aspects for the development of possible consensus protocols. The study included publications from January 2011 to July 2023 using different databases. Studies focusing on qPCR standardization for the diagnosis of leishmaniasis were included. The collected data encompassed study group details, geographical locations, sample types and quantities, molecular targets, and qPCR methodologies, which were subsequently pooled and analyzed. Forty-three studies conducted in diverse regions of the world were included. The majority were visceral leishmaniasis, followed by cutaneous leishmaniasis and post-kala-azar dermal leishmaniasis. Overall, invasive samples demonstrated higher sensitivity (> 90%) compared to non-invasive samples (< 90%), but both exhibited high specificity (> 85%). Furthermore, the kDNA minicircle was identified as the most promising molecular target, with a discreet preference for the use of TaqMan probes over SYBR Green. Various qPCR approaches have exhibited promising results in the diagnosis of leishmaniasis. However, further studies exploring non-invasive sampling techniques in conjunction with appropriate molecular targets are essential to establish efficient and reliable diagnostic techniques.

Abstract Image

Abstract Image

探索诊断利什曼病的实时PCR技术:来自系统综述的关键见解。
实时荧光定量PCR (qPCR)已成为一种有前途的替代方法,可用于诊断利什曼病。但是,尚未就这一目的的标准化办法达成协商一致意见。本系统综述的目的是强调制定可能的共识协议的相关方面。该研究包括2011年1月至2023年7月使用不同数据库的出版物。包括qPCR标准化诊断利什曼病的研究。收集的数据包括研究组详细信息、地理位置、样本类型和数量、分子靶点和qPCR方法,随后将其汇总和分析。其中包括在世界不同区域进行的43项研究。以内脏利什曼病居多,其次为皮肤利什曼病和黑热病后皮肤利什曼病。总体而言,与非侵入性样本(85%)相比,侵入性样本显示出更高的敏感性(bbb90 %)。此外,kDNA微环被认为是最有希望的分子靶标,与SYBR Green相比,TaqMan探针的使用更为谨慎。各种qPCR方法在利什曼病的诊断中显示出有希望的结果。然而,进一步的研究探索非侵入性采样技术与适当的分子靶点是建立有效和可靠的诊断技术的必要条件。
本文章由计算机程序翻译,如有差异,请以英文原文为准。
求助全文
约1分钟内获得全文 求助全文
来源期刊
Parasitology Research
Parasitology Research 医学-寄生虫学
CiteScore
4.10
自引率
5.00%
发文量
346
审稿时长
6 months
期刊介绍: The journal Parasitology Research covers the latest developments in parasitology across a variety of disciplines, including biology, medicine and veterinary medicine. Among many topics discussed are chemotherapy and control of parasitic disease, and the relationship of host and parasite. Other coverage includes: Protozoology, Helminthology, Entomology; Morphology (incl. Pathomorphology, Ultrastructure); Biochemistry, Physiology including Pathophysiology; Parasite-Host-Relationships including Immunology and Host Specificity; life history, ecology and epidemiology; and Diagnosis, Chemotherapy and Control of Parasitic Diseases.
×
引用
GB/T 7714-2015
复制
MLA
复制
APA
复制
导出至
BibTeX EndNote RefMan NoteFirst NoteExpress
×
提示
您的信息不完整,为了账户安全,请先补充。
现在去补充
×
提示
您因"违规操作"
具体请查看互助需知
我知道了
×
提示
确定
请完成安全验证×
copy
已复制链接
快去分享给好友吧!
我知道了
右上角分享
点击右上角分享
0
联系我们:info@booksci.cn Book学术提供免费学术资源搜索服务,方便国内外学者检索中英文文献。致力于提供最便捷和优质的服务体验。 Copyright © 2023 布克学术 All rights reserved.
京ICP备2023020795号-1
ghs 京公网安备 11010802042870号
Book学术文献互助
Book学术文献互助群
群 号:604180095
Book学术官方微信