Perceptions of activity-based offices are associated with employee well-being and self-reported work ability in hybrid work: a cross-sectional study.

IF 2 4区 医学 Q2 PUBLIC, ENVIRONMENTAL & OCCUPATIONAL HEALTH
Elina Tulenheimo-Eklund, Annu Haapakangas, Maria Hirvonen, Virpi Ruohomäki, Kari Reijula
{"title":"Perceptions of activity-based offices are associated with employee well-being and self-reported work ability in hybrid work: a cross-sectional study.","authors":"Elina Tulenheimo-Eklund, Annu Haapakangas, Maria Hirvonen, Virpi Ruohomäki, Kari Reijula","doi":"10.1093/joccuh/uiaf027","DOIUrl":null,"url":null,"abstract":"<p><strong>Objectives: </strong>As digitalization has made knowledge work multilocational, the need for space-efficient, modern-design offices, including activity-based offices, has increased. However, studies of how activity-based offices are related to employee well-being, particularly in hybrid work, are rare. This study investigated whether the perceived activity-based office environment in hybrid work is associated with employee well-being and self-reported work ability.</p><p><strong>Methods: </strong>We used a cross-sectional survey of 971 employees working in activity-based offices in 5 Finnish organizations in 2022. The workplaces were observed, and the employees responded to a survey of their office environment perceptions, well-being, and work ability. The survey covered burnout risk scores, work engagement, daily recovery, self-reported work ability, insomnia, and pain symptoms. We used the regression analysis general linear model to analyze associations between the environmental perceptions and employee outcomes, adjusting for age, gender, supervisory position, and telework frequency or effort-reward imbalance.</p><p><strong>Results: </strong>Employees' daily recovery and self-reported work ability were better when the employees' office environment perceptions (task privacy, satisfaction with work environment, person-environment fit, workspace support for interaction, ease of workspace switching) were more positive. These associations remained in the adjusted models. Additionally, work engagement increased, and burnout risk scores and insomnia symptoms decreased when workplace conditions were perceived more favorably.</p><p><strong>Conclusions: </strong>More favorable perceptions of activity-based offices are associated with better employee well-being and self-reported work ability in hybrid work. The perceived office environment seems essential for employee well-being and work ability even when psychosocial aspects (effort-reward imbalance) are taken into account.</p>","PeriodicalId":16632,"journal":{"name":"Journal of Occupational Health","volume":" ","pages":""},"PeriodicalIF":2.0000,"publicationDate":"2025-01-07","publicationTypes":"Journal Article","fieldsOfStudy":null,"isOpenAccess":false,"openAccessPdf":"https://www.ncbi.nlm.nih.gov/pmc/articles/PMC12131161/pdf/","citationCount":"0","resultStr":null,"platform":"Semanticscholar","paperid":null,"PeriodicalName":"Journal of Occupational Health","FirstCategoryId":"3","ListUrlMain":"https://doi.org/10.1093/joccuh/uiaf027","RegionNum":4,"RegionCategory":"医学","ArticlePicture":[],"TitleCN":null,"AbstractTextCN":null,"PMCID":null,"EPubDate":"","PubModel":"","JCR":"Q2","JCRName":"PUBLIC, ENVIRONMENTAL & OCCUPATIONAL HEALTH","Score":null,"Total":0}
引用次数: 0

Abstract

Objectives: As digitalization has made knowledge work multilocational, the need for space-efficient, modern-design offices, including activity-based offices, has increased. However, studies of how activity-based offices are related to employee well-being, particularly in hybrid work, are rare. This study investigated whether the perceived activity-based office environment in hybrid work is associated with employee well-being and self-reported work ability.

Methods: We used a cross-sectional survey of 971 employees working in activity-based offices in 5 Finnish organizations in 2022. The workplaces were observed, and the employees responded to a survey of their office environment perceptions, well-being, and work ability. The survey covered burnout risk scores, work engagement, daily recovery, self-reported work ability, insomnia, and pain symptoms. We used the regression analysis general linear model to analyze associations between the environmental perceptions and employee outcomes, adjusting for age, gender, supervisory position, and telework frequency or effort-reward imbalance.

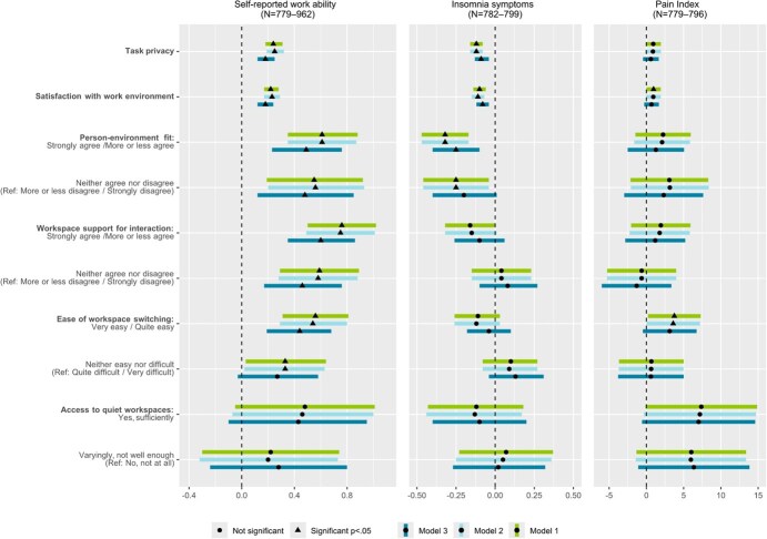
Results: Employees' daily recovery and self-reported work ability were better when the employees' office environment perceptions (task privacy, satisfaction with work environment, person-environment fit, workspace support for interaction, ease of workspace switching) were more positive. These associations remained in the adjusted models. Additionally, work engagement increased, and burnout risk scores and insomnia symptoms decreased when workplace conditions were perceived more favorably.

Conclusions: More favorable perceptions of activity-based offices are associated with better employee well-being and self-reported work ability in hybrid work. The perceived office environment seems essential for employee well-being and work ability even when psychosocial aspects (effort-reward imbalance) are taken into account.

Abstract Image

Abstract Image

Abstract Image

对活动型办公室的看法与混合工作中员工的幸福感和自我报告的工作能力有关:一项横断面研究。
目标:随着数字化使知识工作多地点化,对空间高效、现代设计的办公室(包括基于活动的办公室)的需求增加了。然而,关于活动型办公室与员工幸福感之间关系的研究,尤其是在混合型工作中,却很少。本研究调查了混合型工作中以活动为基础的办公环境是否与员工幸福感和自我报告的工作能力有关。方法:我们在2022年对芬兰五家组织的971名在活动型办公室工作的员工进行了横断面调查。研究人员对工作场所进行了观察,并对员工的办公环境感知、幸福感和工作能力进行了调查。这项调查涵盖了倦怠风险评分、工作投入、日常恢复、自我报告的工作能力、失眠和疼痛症状。我们使用回归分析一般线性模型(GLM)来分析环境感知与员工结果之间的关系,调整了年龄、性别、管理职位、远程工作频率或努力-奖励不平衡。结果:当员工对工作环境感知(任务隐私、工作环境满意度、人与环境契合度、工作环境对互动的支持度、工作环境切换的便利性)越积极时,员工的日常恢复能力和自我报告的工作能力越好。这些关联在调整后的模型中仍然存在。此外,当工作环境被认为更有利时,工作投入会增加,倦怠风险评分和失眠症状会减少。结论:在混合型工作中,对活动型办公室的好感度越高,员工幸福感越高,自我报告的工作能力也越强。感知到的办公环境似乎对员工的幸福感和工作能力至关重要,即使考虑到社会心理方面(努力-回报不平衡)。
本文章由计算机程序翻译,如有差异,请以英文原文为准。
求助全文
约1分钟内获得全文 求助全文
来源期刊
Journal of Occupational Health
Journal of Occupational Health 医学-公共卫生、环境卫生与职业卫生
CiteScore
5.60
自引率
3.30%
发文量
57
审稿时长
6-12 weeks
期刊介绍: The scope of the journal is broad, covering toxicology, ergonomics, psychosocial factors and other relevant health issues of workers, with special emphasis on the current developments in occupational health. The JOH also accepts various methodologies that are relevant to investigation of occupational health risk factors and exposures, such as large-scale epidemiological studies, human studies employing biological techniques and fundamental experiments on animals, and also welcomes submissions concerning occupational health practices and related issues.
×
引用
GB/T 7714-2015
复制
MLA
复制
APA
复制
导出至
BibTeX EndNote RefMan NoteFirst NoteExpress
×
提示
您的信息不完整,为了账户安全,请先补充。
现在去补充
×
提示
您因"违规操作"
具体请查看互助需知
我知道了
×
提示
确定
请完成安全验证×
copy
已复制链接
快去分享给好友吧!
我知道了
右上角分享
点击右上角分享
0
联系我们:info@booksci.cn Book学术提供免费学术资源搜索服务,方便国内外学者检索中英文文献。致力于提供最便捷和优质的服务体验。 Copyright © 2023 布克学术 All rights reserved.
京ICP备2023020795号-1
ghs 京公网安备 11010802042870号
Book学术文献互助
Book学术文献互助群
群 号:604180095
Book学术官方微信