Plasma Epstein-Barr virus DNA for the prediction of treatment response and disease progression in non-keratinizing differentiated nasopharyngeal carcinoma.

IF 2.8 2区 医学 Q3 IMMUNOLOGY
Guan-Zhong Lu, Yun-Xia Huang, Lin-Feng Guo, Yi-Feng Yu, Zhen-Zhen Lu, Qin Lin, San-Gang Wu
{"title":"Plasma Epstein-Barr virus DNA for the prediction of treatment response and disease progression in non-keratinizing differentiated nasopharyngeal carcinoma.","authors":"Guan-Zhong Lu, Yun-Xia Huang, Lin-Feng Guo, Yi-Feng Yu, Zhen-Zhen Lu, Qin Lin, San-Gang Wu","doi":"10.1186/s13027-025-00661-3","DOIUrl":null,"url":null,"abstract":"<p><strong>Purpose: </strong>To explore the failure patterns, outcomes, and treatment response of differentiated non-keratinizing nasopharyngeal carcinoma (DNKC) and to further investigate the role of plasma Epstein-Barr virus (EBV)-DNA in follow-up monitoring, prognostic prediction, and assessment of treatment efficacy in DNKC.</p><p><strong>Methods: </strong>We retrospectively collected data from patients diagnosed with DNKC from January 2015 to February 2022. The life-table method, Kaplan-Meier survival, and Cox proportional hazards analysis were used for statistical analyses.</p><p><strong>Results: </strong>A total of 102 patients were included. Of the 77 patients with available EBV-DNA levels, 61 patients (79.2%) had EBV-DNA detectable before treatment. Twenty-seven patients (26.5%) experienced disease recurrence, and 88.9% (24/27) relapsed in the first three years. There were 20 patients who experienced disease recurrence and had pre-treatment EBV-DNA status records. At the time of disease progression, 4 patients initially had undetectable EBV-DNA remained undetectable. Among the 16 patients with initially detectable EBV-DNA, 15 (93.8%) had detectable EBV-DNA. Nodal stage and EBV-DNA levels before treatment were found to be independent prognostic factors for distant metastasis-free survival (DMFS) and disease-free survival (DFS). Those with residual EBV-DNA after induction chemotherapy had significantly inferior DMFS (P = 0.003), DFS (P = 0.006), and overall survival (OS) (P = 0.006) than those without residual EBV-DNA after IC. Those with residual EBV-DNA after radiotherapy had significantly inferior local recurrence-free survival (P = 0.003), DMFS (P < 0.001), DFS (P < 0.001), OS (P < 0.006) than those without residual EBV-DNA after radiotherapy.</p><p><strong>Conclusion: </strong>Our study highlights the aggressive nature of DNKC, characterized by early recurrence. EBV-DNA levels may serve as a biomarker to monitor treatment response, prognostic prediction, and recurrence surveillance.</p>","PeriodicalId":13568,"journal":{"name":"Infectious Agents and Cancer","volume":"20 1","pages":"30"},"PeriodicalIF":2.8000,"publicationDate":"2025-05-20","publicationTypes":"Journal Article","fieldsOfStudy":null,"isOpenAccess":false,"openAccessPdf":"https://www.ncbi.nlm.nih.gov/pmc/articles/PMC12090694/pdf/","citationCount":"0","resultStr":null,"platform":"Semanticscholar","paperid":null,"PeriodicalName":"Infectious Agents and Cancer","FirstCategoryId":"3","ListUrlMain":"https://doi.org/10.1186/s13027-025-00661-3","RegionNum":2,"RegionCategory":"医学","ArticlePicture":[],"TitleCN":null,"AbstractTextCN":null,"PMCID":null,"EPubDate":"","PubModel":"","JCR":"Q3","JCRName":"IMMUNOLOGY","Score":null,"Total":0}
引用次数: 0

Abstract

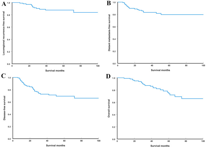
Purpose: To explore the failure patterns, outcomes, and treatment response of differentiated non-keratinizing nasopharyngeal carcinoma (DNKC) and to further investigate the role of plasma Epstein-Barr virus (EBV)-DNA in follow-up monitoring, prognostic prediction, and assessment of treatment efficacy in DNKC.

Methods: We retrospectively collected data from patients diagnosed with DNKC from January 2015 to February 2022. The life-table method, Kaplan-Meier survival, and Cox proportional hazards analysis were used for statistical analyses.

Results: A total of 102 patients were included. Of the 77 patients with available EBV-DNA levels, 61 patients (79.2%) had EBV-DNA detectable before treatment. Twenty-seven patients (26.5%) experienced disease recurrence, and 88.9% (24/27) relapsed in the first three years. There were 20 patients who experienced disease recurrence and had pre-treatment EBV-DNA status records. At the time of disease progression, 4 patients initially had undetectable EBV-DNA remained undetectable. Among the 16 patients with initially detectable EBV-DNA, 15 (93.8%) had detectable EBV-DNA. Nodal stage and EBV-DNA levels before treatment were found to be independent prognostic factors for distant metastasis-free survival (DMFS) and disease-free survival (DFS). Those with residual EBV-DNA after induction chemotherapy had significantly inferior DMFS (P = 0.003), DFS (P = 0.006), and overall survival (OS) (P = 0.006) than those without residual EBV-DNA after IC. Those with residual EBV-DNA after radiotherapy had significantly inferior local recurrence-free survival (P = 0.003), DMFS (P < 0.001), DFS (P < 0.001), OS (P < 0.006) than those without residual EBV-DNA after radiotherapy.

Conclusion: Our study highlights the aggressive nature of DNKC, characterized by early recurrence. EBV-DNA levels may serve as a biomarker to monitor treatment response, prognostic prediction, and recurrence surveillance.

Abstract Image

Abstract Image

Abstract Image

血浆eb病毒DNA对非角化分化鼻咽癌治疗反应和疾病进展的预测
目的:探讨分化性非角化性鼻咽癌(DNKC)的失败模式、结局和治疗效果,并进一步探讨血浆eb病毒(EBV)-DNA在DNKC患者随访监测、预后预测和治疗效果评估中的作用。方法:回顾性收集2015年1月至2022年2月诊断为DNKC的患者资料。采用生命表法、Kaplan-Meier生存、Cox比例风险分析进行统计分析。结果:共纳入102例患者。在77例可用EBV-DNA水平的患者中,61例(79.2%)患者在治疗前可检测到EBV-DNA。27例(26.5%)患者复发,88.9%(24/27)患者在前3年内复发。有20例患者出现疾病复发并有治疗前EBV-DNA状态记录。在疾病进展时,4例患者最初无法检测到EBV-DNA仍然无法检测到。在16例初检EBV-DNA的患者中,15例(93.8%)可检出EBV-DNA。发现治疗前淋巴结分期和EBV-DNA水平是远处无转移生存期(DMFS)和无病生存期(DFS)的独立预后因素。诱导化疗后EBV-DNA残留组的DMFS (P = 0.003)、DFS (P = 0.006)和总生存期(OS)均明显低于IC后EBV-DNA无残留组,放疗后EBV-DNA残留组的局部无复发生存期(P = 0.003)、DMFS (P)明显低于IC后EBV-DNA无残留组。EBV-DNA水平可作为监测治疗反应、预后预测和复发监测的生物标志物。
本文章由计算机程序翻译,如有差异,请以英文原文为准。
求助全文
约1分钟内获得全文 求助全文
来源期刊
Infectious Agents and Cancer
Infectious Agents and Cancer ONCOLOGY-IMMUNOLOGY
CiteScore
5.80
自引率
2.70%
发文量
54
期刊介绍: Infectious Agents and Cancer is an open access, peer-reviewed online journal that encompasses all aspects of basic, clinical, epidemiological and translational research providing an insight into the association between chronic infections and cancer. The journal welcomes submissions in the pathogen-related cancer areas and other related topics, in particular: • HPV and anogenital cancers, as well as head and neck cancers; • EBV and Burkitt lymphoma; • HCV/HBV and hepatocellular carcinoma as well as lymphoproliferative diseases; • HHV8 and Kaposi sarcoma; • HTLV and leukemia; • Cancers in Low- and Middle-income countries. The link between infection and cancer has become well established over the past 50 years, and infection-associated cancer contribute up to 16% of cancers in developed countries and 33% in less developed countries. Preventive vaccines have been developed for only two cancer-causing viruses, highlighting both the opportunity to prevent infection-associated cancers by vaccination and the gaps that remain before vaccines can be developed for other cancer-causing agents. These gaps are due to incomplete understanding of the basic biology, natural history, epidemiology of many of the pathogens that cause cancer, the mechanisms they exploit to cause cancer, and how to interrupt progression to cancer in human populations. Early diagnosis or identification of lesions at high risk of progression represent the current most critical research area of the field supported by recent advances in genomics and proteomics technologies.
×
引用
GB/T 7714-2015
复制
MLA
复制
APA
复制
导出至
BibTeX EndNote RefMan NoteFirst NoteExpress
×
提示
您的信息不完整,为了账户安全,请先补充。
现在去补充
×
提示
您因"违规操作"
具体请查看互助需知
我知道了
×
提示
确定
请完成安全验证×
copy
已复制链接
快去分享给好友吧!
我知道了
右上角分享
点击右上角分享
0
联系我们:info@booksci.cn Book学术提供免费学术资源搜索服务,方便国内外学者检索中英文文献。致力于提供最便捷和优质的服务体验。 Copyright © 2023 布克学术 All rights reserved.
京ICP备2023020795号-1
ghs 京公网安备 11010802042870号
Book学术文献互助
Book学术文献互助群
群 号:604180095
Book学术官方微信