Biomechanical and cellular assessment of novel partially demineralized allogeneic bone plates: an ex-vivo and in-vitro study.

IF 4 3区 医学 Q1 DENTISTRY, ORAL SURGERY & MEDICINE
Philipp Becker, Andreas Pabst, Diana Heimes, Nadine Wiesmann-Imilowski, Sven Schumann, Peer W Kämmerer
{"title":"Biomechanical and cellular assessment of novel partially demineralized allogeneic bone plates: an ex-vivo and in-vitro study.","authors":"Philipp Becker, Andreas Pabst, Diana Heimes, Nadine Wiesmann-Imilowski, Sven Schumann, Peer W Kämmerer","doi":"10.1186/s40729-025-00625-7","DOIUrl":null,"url":null,"abstract":"<p><strong>Purpose: </strong>This study aimed to compare commercial allogeneic cortical bone plates (cCP) with innovative, differently demineralized CP (dCP) in biomechanics and human osteoblast (HOB) viability ex-vivo and in-vitro.</p><p><strong>Methods: </strong>Breaking strength (BS; in N) and flexibility (F; in mm) of cCP and dCP were assessed and compared using four groups ((1) non-hydrated, (2) hydrated for 10, (3) 30, and (4) 60 min in saline), respectively. Cell viability of HOB was evaluated by resazurin reduction on non-hydrated cCP and dCP after 3, 7, and 10 days. Scanning electron microscopy (SEM) visualized CP breaking edges, internal structures, HOB cell morphology, and growth patterns.</p><p><strong>Results: </strong>BS of hydrated dCP (d10: 15.45 ± 7.01 N, d30: 19.40 ± 3.78 N, d60: 20.31 ± 4.90 N) was significantly lower than that of non-hydrated dCP (d0: 74.70 ± 29.48 N) and native and hydrated cCP (c0: 75.00 ± 19.27 N, c10: 83.73 ± 10.92 N, c30: 83.80 ± 22.63 N, c60: 75.58 ± 14.25 N, p < 0.001 each). Next, dCP groups (d0: 2.64 ± 0.78 mm, d10: 2.14 ± 1.15 mm, d30: 2.76 ± 3.78 mm, d60: 2.86 ± 0.89 mm) exhibited significantly higher F than cCP groups (c0: 0.49 ± 0.14 mm, c10: 0.66 ± 0.10 mm, c30: 0.67 ± 0.16 mm, c60: 0.59 ± 0.12 mm, p < 0.05 each). No significant differences in F were observed among the different dCP groups. HOB cell viability was significantly increased on cCP compared to dCP after 7 (97.64 ± 2.11% vs. 76.88 ± 4.82%) and 10 days (96.14 ± 4.13% vs. 76.45 ± 4.64%; p < 0.001 each). SEM revealed well-defined breaking edges in cCP, whereas dCP displayed tear-off edges with shearing extensions. SEM showed disordered growth patterns and a physiological HOB cell morphology on dCP, contrasting with a parallel growth of fibroblast-like-looking HOB on cCP.</p><p><strong>Conclusions: </strong>Compared to cCP, dCP showed increased flexibility but lower breaking strength and reduced HOB vitality. The increased flexibility and a decrease in breaking strength are likely due to differences in elasticity between dCP and cCP. The use of dCP may improve clinical handling efficiency.</p>","PeriodicalId":14076,"journal":{"name":"International Journal of Implant Dentistry","volume":"11 1","pages":"40"},"PeriodicalIF":4.0000,"publicationDate":"2025-05-20","publicationTypes":"Journal Article","fieldsOfStudy":null,"isOpenAccess":false,"openAccessPdf":"https://www.ncbi.nlm.nih.gov/pmc/articles/PMC12092848/pdf/","citationCount":"0","resultStr":null,"platform":"Semanticscholar","paperid":null,"PeriodicalName":"International Journal of Implant Dentistry","FirstCategoryId":"3","ListUrlMain":"https://doi.org/10.1186/s40729-025-00625-7","RegionNum":3,"RegionCategory":"医学","ArticlePicture":[],"TitleCN":null,"AbstractTextCN":null,"PMCID":null,"EPubDate":"","PubModel":"","JCR":"Q1","JCRName":"DENTISTRY, ORAL SURGERY & MEDICINE","Score":null,"Total":0}
引用次数: 0

Abstract

Purpose: This study aimed to compare commercial allogeneic cortical bone plates (cCP) with innovative, differently demineralized CP (dCP) in biomechanics and human osteoblast (HOB) viability ex-vivo and in-vitro.

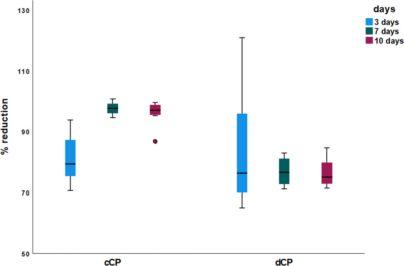
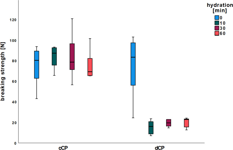
Methods: Breaking strength (BS; in N) and flexibility (F; in mm) of cCP and dCP were assessed and compared using four groups ((1) non-hydrated, (2) hydrated for 10, (3) 30, and (4) 60 min in saline), respectively. Cell viability of HOB was evaluated by resazurin reduction on non-hydrated cCP and dCP after 3, 7, and 10 days. Scanning electron microscopy (SEM) visualized CP breaking edges, internal structures, HOB cell morphology, and growth patterns.

Results: BS of hydrated dCP (d10: 15.45 ± 7.01 N, d30: 19.40 ± 3.78 N, d60: 20.31 ± 4.90 N) was significantly lower than that of non-hydrated dCP (d0: 74.70 ± 29.48 N) and native and hydrated cCP (c0: 75.00 ± 19.27 N, c10: 83.73 ± 10.92 N, c30: 83.80 ± 22.63 N, c60: 75.58 ± 14.25 N, p < 0.001 each). Next, dCP groups (d0: 2.64 ± 0.78 mm, d10: 2.14 ± 1.15 mm, d30: 2.76 ± 3.78 mm, d60: 2.86 ± 0.89 mm) exhibited significantly higher F than cCP groups (c0: 0.49 ± 0.14 mm, c10: 0.66 ± 0.10 mm, c30: 0.67 ± 0.16 mm, c60: 0.59 ± 0.12 mm, p < 0.05 each). No significant differences in F were observed among the different dCP groups. HOB cell viability was significantly increased on cCP compared to dCP after 7 (97.64 ± 2.11% vs. 76.88 ± 4.82%) and 10 days (96.14 ± 4.13% vs. 76.45 ± 4.64%; p < 0.001 each). SEM revealed well-defined breaking edges in cCP, whereas dCP displayed tear-off edges with shearing extensions. SEM showed disordered growth patterns and a physiological HOB cell morphology on dCP, contrasting with a parallel growth of fibroblast-like-looking HOB on cCP.

Conclusions: Compared to cCP, dCP showed increased flexibility but lower breaking strength and reduced HOB vitality. The increased flexibility and a decrease in breaking strength are likely due to differences in elasticity between dCP and cCP. The use of dCP may improve clinical handling efficiency.

Abstract Image

Abstract Image

Abstract Image

新型部分脱矿异体骨板的生物力学和细胞评估:一项离体和体外研究。
目的:本研究旨在比较商业同种异体皮质骨板(cCP)和创新的不同脱矿CP (dCP)在生物力学和人成骨细胞(HOB)的体外和体外活力。方法:断裂强度(BS;N)和灵活性(F;采用四组((1)不补水,(2)生理盐水补水10分钟,(3)生理盐水补水30分钟,(4)生理盐水补水60分钟)对cCP和dCP进行评估和比较。3、7、10天后,用雷唑脲还原非水合cCP和dCP评价HOB细胞活力。扫描电子显微镜(SEM)显示了CP断裂边缘、内部结构、HOB细胞形态和生长模式。结果:水合dCP (d10: 15.45±7.01 N, d30: 19.40±3.78 N, d60: 20.31±4.90 N)的BS明显低于未水合dCP (d0: 74.70±29.48 N)和天然和水合cCP (c0: 75.00±19.27 N, c10: 83.73±10.92 N, c30: 83.80±22.63 N, c60: 75.58±14.25 N, p)。结论:与cCP相比,dCP的柔韧性增加,但断裂强度降低,HOB活力降低。韧性的增加和断裂强度的降低可能是由于dCP和cCP之间弹性的差异。使用dCP可提高临床处理效率。
本文章由计算机程序翻译,如有差异,请以英文原文为准。
求助全文
约1分钟内获得全文 求助全文
来源期刊
International Journal of Implant Dentistry
International Journal of Implant Dentistry DENTISTRY, ORAL SURGERY & MEDICINE-
CiteScore
1.70
自引率
7.40%
发文量
53
审稿时长
13 weeks
期刊介绍: The International Journal of Implant Dentistry is a peer-reviewed open access journal published under the SpringerOpen brand. The journal is dedicated to promoting the exchange and discussion of all research areas relevant to implant dentistry in the form of systematic literature or invited reviews, prospective and retrospective clinical studies, clinical case reports, basic laboratory and animal research, and articles on material research and engineering.
×
引用
GB/T 7714-2015
复制
MLA
复制
APA
复制
导出至
BibTeX EndNote RefMan NoteFirst NoteExpress
×
提示
您的信息不完整,为了账户安全,请先补充。
现在去补充
×
提示
您因"违规操作"
具体请查看互助需知
我知道了
×
提示
确定
请完成安全验证×
copy
已复制链接
快去分享给好友吧!
我知道了
右上角分享
点击右上角分享
0
联系我们:info@booksci.cn Book学术提供免费学术资源搜索服务,方便国内外学者检索中英文文献。致力于提供最便捷和优质的服务体验。 Copyright © 2023 布克学术 All rights reserved.
京ICP备2023020795号-1
ghs 京公网安备 11010802042870号
Book学术文献互助
Book学术文献互助群
群 号:604180095
Book学术官方微信