Development and assessment of a Mentor Training Workshop Series and Certificate Program.

IF 2 Q3 MEDICINE, RESEARCH & EXPERIMENTAL
Journal of Clinical and Translational Science Pub Date : 2025-04-16 eCollection Date: 2025-01-01 DOI:10.1017/cts.2025.71
Kenzie A Cameron, Mercedes R Carnethon, Morgan Barrowman, Leah J Welty
{"title":"Development and assessment of a Mentor Training Workshop Series and Certificate Program.","authors":"Kenzie A Cameron, Mercedes R Carnethon, Morgan Barrowman, Leah J Welty","doi":"10.1017/cts.2025.71","DOIUrl":null,"url":null,"abstract":"<p><p>Within the Northwestern University Clinical and Translational Sciences Institute, we created a foundational and fluid mentor training curriculum to provide competency-based mentor training for faculty. Via our \"Developing and Enhancing Mentoring Relationships\" mentor workshop series, launched in 2020, we present eight 90-minute workshops each academic year. This series is designed for both training naive participants and previously trained mentors across ranks and tracks and offers both repeating (\"required\") and new (\"elective\") workshops annually. We implemented a Mentor Training Certificate Program (MTCP) in 2021 to formally recognize faculty who complete a minimum of nine hours of training, consisting of three required and at least three elective training sessions. Over the first four years of the workshop series, 345 unique faculty attended at least one workshop; 46 completed requirements for the MTCP. MTCP participants complete baseline and annual surveys focused on self-assessment of nine mentoring skills (e.g., providing feedback) and frequency of engaging in five recommended mentoring behaviors (e.g., aligning expectations). Scores increased significantly across all skills; participants reported increased frequency of mentoring behaviors and high satisfaction with the program. Our mentor workshop series, offering both repeating and new workshops annually, provides faculty the opportunity for either initial or advanced training.</p>","PeriodicalId":15529,"journal":{"name":"Journal of Clinical and Translational Science","volume":"9 1","pages":"e98"},"PeriodicalIF":2.0000,"publicationDate":"2025-04-16","publicationTypes":"Journal Article","fieldsOfStudy":null,"isOpenAccess":false,"openAccessPdf":"https://www.ncbi.nlm.nih.gov/pmc/articles/PMC12089858/pdf/","citationCount":"0","resultStr":null,"platform":"Semanticscholar","paperid":null,"PeriodicalName":"Journal of Clinical and Translational Science","FirstCategoryId":"1085","ListUrlMain":"https://doi.org/10.1017/cts.2025.71","RegionNum":0,"RegionCategory":null,"ArticlePicture":[],"TitleCN":null,"AbstractTextCN":null,"PMCID":null,"EPubDate":"2025/1/1 0:00:00","PubModel":"eCollection","JCR":"Q3","JCRName":"MEDICINE, RESEARCH & EXPERIMENTAL","Score":null,"Total":0}
引用次数: 0

Abstract

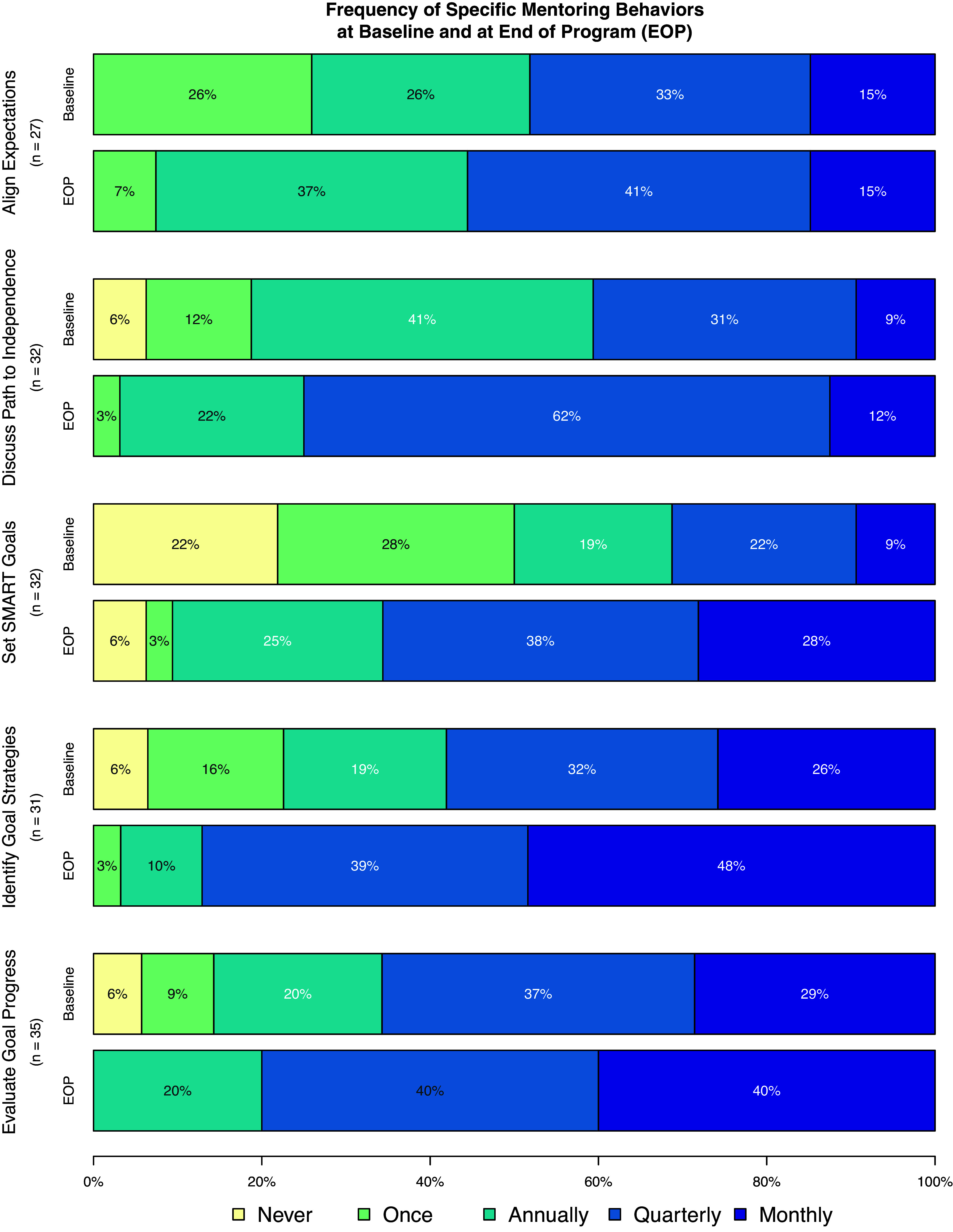
Within the Northwestern University Clinical and Translational Sciences Institute, we created a foundational and fluid mentor training curriculum to provide competency-based mentor training for faculty. Via our "Developing and Enhancing Mentoring Relationships" mentor workshop series, launched in 2020, we present eight 90-minute workshops each academic year. This series is designed for both training naive participants and previously trained mentors across ranks and tracks and offers both repeating ("required") and new ("elective") workshops annually. We implemented a Mentor Training Certificate Program (MTCP) in 2021 to formally recognize faculty who complete a minimum of nine hours of training, consisting of three required and at least three elective training sessions. Over the first four years of the workshop series, 345 unique faculty attended at least one workshop; 46 completed requirements for the MTCP. MTCP participants complete baseline and annual surveys focused on self-assessment of nine mentoring skills (e.g., providing feedback) and frequency of engaging in five recommended mentoring behaviors (e.g., aligning expectations). Scores increased significantly across all skills; participants reported increased frequency of mentoring behaviors and high satisfaction with the program. Our mentor workshop series, offering both repeating and new workshops annually, provides faculty the opportunity for either initial or advanced training.

Abstract Image

Abstract Image

Abstract Image

开发和评估导师培训工作坊系列和证书计划。
在西北大学临床和转化科学研究所,我们创建了一个基础和流动的导师培训课程,为教师提供基于能力的导师培训。通过我们在2020年推出的“发展和加强师徒关系”导师研讨会系列,我们每学年举办8次90分钟的研讨会。这个系列是为培训新手参与者和以前受过培训的导师而设计的,并每年提供重复(“必修”)和新的(“选修”)讲习班。我们在2021年实施了导师培训证书计划(MTCP),正式认可完成至少9小时培训的教师,包括3个必修课和至少3个选修课程。在该系列研讨会的头四年里,345名独特的教师参加了至少一次研讨会;MTCP的46个完整需求。MTCP参与者完成基线和年度调查,重点是对九种指导技能(例如,提供反馈)和参与五种建议指导行为(例如,调整期望)的频率进行自我评估。所有技能的得分都显著提高;参与者报告说,指导行为的频率增加了,对项目的满意度也提高了。我们的导师研讨会系列,每年提供重复和新的研讨会,为教师提供初级或高级培训的机会。
本文章由计算机程序翻译,如有差异,请以英文原文为准。
求助全文
约1分钟内获得全文 求助全文
来源期刊
Journal of Clinical and Translational Science
Journal of Clinical and Translational Science MEDICINE, RESEARCH & EXPERIMENTAL-
CiteScore
2.80
自引率
26.90%
发文量
437
审稿时长
18 weeks
×
引用
GB/T 7714-2015
复制
MLA
复制
APA
复制
导出至
BibTeX EndNote RefMan NoteFirst NoteExpress
×
提示
您的信息不完整,为了账户安全,请先补充。
现在去补充
×
提示
您因"违规操作"
具体请查看互助需知
我知道了
×
提示
确定
请完成安全验证×
copy
已复制链接
快去分享给好友吧!
我知道了
右上角分享
点击右上角分享
0
联系我们:info@booksci.cn Book学术提供免费学术资源搜索服务,方便国内外学者检索中英文文献。致力于提供最便捷和优质的服务体验。 Copyright © 2023 布克学术 All rights reserved.
京ICP备2023020795号-1
ghs 京公网安备 11010802042870号
Book学术文献互助
Book学术文献互助群
群 号:604180095
Book学术官方微信