A KNN-based model for non-invasive prediction of hemorrhagic shock severity in prehospital settings: integrating MAP, PBUCO2, PTCO2, and PPV.

IF 2.9 4区 医学 Q3 ENGINEERING, BIOMEDICAL
Peng Zhao, Wencai Pan, Xin Zou, Jiaqing Yang, Shihui Zhang, Yufei Liu, Yang Li
{"title":"A KNN-based model for non-invasive prediction of hemorrhagic shock severity in prehospital settings: integrating MAP, P<sub>BU</sub>CO<sub>2</sub>, P<sub>TC</sub>O<sub>2</sub>, and PPV.","authors":"Peng Zhao, Wencai Pan, Xin Zou, Jiaqing Yang, Shihui Zhang, Yufei Liu, Yang Li","doi":"10.1186/s12938-025-01394-5","DOIUrl":null,"url":null,"abstract":"<p><strong>Background: </strong>Rapid prehospital assessment of hemorrhagic shock severity is critical for trauma triage and intervention. Current non-invasive single-parameter monitoring shows limited diagnostic reliability. We developed a multi-parameter predictive model integrating mean arterial pressure (MAP), buccal mucosal CO₂ (P<sub>BU</sub>CO₂), transcutaneous oxygen (P<sub>TC</sub>O₂), and pulse pressure variation (PPV). using K-nearest neighbors (KNN) algorithm.</p><p><strong>Methods: </strong>Forty-five Wistar rats were randomly divided into five groups (n = 9) with different blood loss amounts. MAP, P<sub>BU</sub>CO<sub>2</sub>, P<sub>TC</sub>O<sub>2</sub>, and PPV measurements were continuously obtained. A multi-parameter shock severity prediction model was established based on the KNN algorithm. Leave-one-out cross-validation was used to determine the value of K. Meanwhile, a prediction model based on the support vector machine (SVM) algorithm was established. The performance of the two prediction models was compared using confusion matrices and receiver operating characteristic (ROC) curve.</p><p><strong>Results: </strong>When the training vs testing data set ratio is 7:3 or 6:4, and K = 3, the KNN-based model has the best prediction accuracy (94.82% and 93.51%). The confusion matrix and ROC evaluation showed that the overall performance of the KNN-based model is superior to that of the SVM-based model, at all levels of blood loss (F1 = 95.09% and 93.99%, AUC = 1 and 0.97 for the KNN-based model at 7:3 and 6:4 dataset ratio; F1 = 83.84% and 84.86%, AUC = 0.97 and 0.97 for the SVM-based model at 7:3 and 6:4 dataset ratio).</p><p><strong>Conclusions: </strong>Using the detection indicators MAP, P<sub>BU</sub>CO<sub>2</sub>, P<sub>TC</sub>O<sub>2</sub> and PPV, the KNN-based rat hemorrhagic shock severity prediction model has high accuracy and stability, and demonstrates potential feasibility for severity stratification of hemorrhagic shock in standardized preclinical models, providing a foundation for future clinical validation in prehospital environments.</p>","PeriodicalId":8927,"journal":{"name":"BioMedical Engineering OnLine","volume":"24 1","pages":"62"},"PeriodicalIF":2.9000,"publicationDate":"2025-05-20","publicationTypes":"Journal Article","fieldsOfStudy":null,"isOpenAccess":false,"openAccessPdf":"https://www.ncbi.nlm.nih.gov/pmc/articles/PMC12090682/pdf/","citationCount":"0","resultStr":null,"platform":"Semanticscholar","paperid":null,"PeriodicalName":"BioMedical Engineering OnLine","FirstCategoryId":"5","ListUrlMain":"https://doi.org/10.1186/s12938-025-01394-5","RegionNum":4,"RegionCategory":"医学","ArticlePicture":[],"TitleCN":null,"AbstractTextCN":null,"PMCID":null,"EPubDate":"","PubModel":"","JCR":"Q3","JCRName":"ENGINEERING, BIOMEDICAL","Score":null,"Total":0}
引用次数: 0

Abstract

Background: Rapid prehospital assessment of hemorrhagic shock severity is critical for trauma triage and intervention. Current non-invasive single-parameter monitoring shows limited diagnostic reliability. We developed a multi-parameter predictive model integrating mean arterial pressure (MAP), buccal mucosal CO₂ (PBUCO₂), transcutaneous oxygen (PTCO₂), and pulse pressure variation (PPV). using K-nearest neighbors (KNN) algorithm.

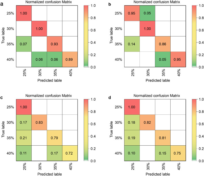
Methods: Forty-five Wistar rats were randomly divided into five groups (n = 9) with different blood loss amounts. MAP, PBUCO2, PTCO2, and PPV measurements were continuously obtained. A multi-parameter shock severity prediction model was established based on the KNN algorithm. Leave-one-out cross-validation was used to determine the value of K. Meanwhile, a prediction model based on the support vector machine (SVM) algorithm was established. The performance of the two prediction models was compared using confusion matrices and receiver operating characteristic (ROC) curve.

Results: When the training vs testing data set ratio is 7:3 or 6:4, and K = 3, the KNN-based model has the best prediction accuracy (94.82% and 93.51%). The confusion matrix and ROC evaluation showed that the overall performance of the KNN-based model is superior to that of the SVM-based model, at all levels of blood loss (F1 = 95.09% and 93.99%, AUC = 1 and 0.97 for the KNN-based model at 7:3 and 6:4 dataset ratio; F1 = 83.84% and 84.86%, AUC = 0.97 and 0.97 for the SVM-based model at 7:3 and 6:4 dataset ratio).

Conclusions: Using the detection indicators MAP, PBUCO2, PTCO2 and PPV, the KNN-based rat hemorrhagic shock severity prediction model has high accuracy and stability, and demonstrates potential feasibility for severity stratification of hemorrhagic shock in standardized preclinical models, providing a foundation for future clinical validation in prehospital environments.

Abstract Image

Abstract Image

Abstract Image

基于knn的院前无创预测失血性休克严重程度模型:整合MAP、PBUCO2、PTCO2和PPV
背景:院前快速评估失血性休克严重程度对创伤分诊和干预至关重要。目前的无创单参数监测显示诊断可靠性有限。我们建立了一个综合平均动脉压(MAP)、口腔黏膜CO₂(PBUCO₂)、经皮氧(PTCO₂)和脉压变化(PPV)的多参数预测模型。采用k近邻(KNN)算法。方法:Wistar大鼠45只,按失血量随机分为5组(n = 9)。连续测量MAP、PBUCO2、PTCO2和PPV。基于KNN算法建立了多参数冲击强度预测模型。采用留一交叉验证法确定k值,同时建立基于支持向量机(SVM)算法的预测模型。使用混淆矩阵和受试者工作特征(ROC)曲线比较两种预测模型的性能。结果:当训练数据集与测试数据集的比例为7:3或6:4,且K = 3时,基于knn的模型预测准确率最高(分别为94.82%和93.51%)。混淆矩阵和ROC评价表明,在所有失血量水平下,基于knn的模型的总体性能优于基于svm的模型(在7:3和6:4数据集比下,基于knn的模型的F1 = 95.09%和93.99%,AUC = 1和0.97;基于svm的模型在7:3和6:4的数据集比下,F1 = 83.84%和84.86%,AUC = 0.97和0.97)。结论:采用MAP、PBUCO2、PTCO2和PPV检测指标,基于knn的大鼠失血性休克严重程度预测模型具有较高的准确性和稳定性,在标准化临床前模型中对失血性休克严重程度进行分层具有潜在的可行性,为今后院前环境下的临床验证奠定了基础。
本文章由计算机程序翻译,如有差异,请以英文原文为准。
求助全文
约1分钟内获得全文 求助全文
来源期刊
BioMedical Engineering OnLine
BioMedical Engineering OnLine 工程技术-工程:生物医学
CiteScore
6.70
自引率
2.60%
发文量
79
审稿时长
1 months
期刊介绍: BioMedical Engineering OnLine is an open access, peer-reviewed journal that is dedicated to publishing research in all areas of biomedical engineering. BioMedical Engineering OnLine is aimed at readers and authors throughout the world, with an interest in using tools of the physical and data sciences and techniques in engineering to understand and solve problems in the biological and medical sciences. Topical areas include, but are not limited to: Bioinformatics- Bioinstrumentation- Biomechanics- Biomedical Devices & Instrumentation- Biomedical Signal Processing- Healthcare Information Systems- Human Dynamics- Neural Engineering- Rehabilitation Engineering- Biomaterials- Biomedical Imaging & Image Processing- BioMEMS and On-Chip Devices- Bio-Micro/Nano Technologies- Biomolecular Engineering- Biosensors- Cardiovascular Systems Engineering- Cellular Engineering- Clinical Engineering- Computational Biology- Drug Delivery Technologies- Modeling Methodologies- Nanomaterials and Nanotechnology in Biomedicine- Respiratory Systems Engineering- Robotics in Medicine- Systems and Synthetic Biology- Systems Biology- Telemedicine/Smartphone Applications in Medicine- Therapeutic Systems, Devices and Technologies- Tissue Engineering
×
引用
GB/T 7714-2015
复制
MLA
复制
APA
复制
导出至
BibTeX EndNote RefMan NoteFirst NoteExpress
×
提示
您的信息不完整,为了账户安全,请先补充。
现在去补充
×
提示
您因"违规操作"
具体请查看互助需知
我知道了
×
提示
确定
请完成安全验证×
copy
已复制链接
快去分享给好友吧!
我知道了
右上角分享
点击右上角分享
0
联系我们:info@booksci.cn Book学术提供免费学术资源搜索服务,方便国内外学者检索中英文文献。致力于提供最便捷和优质的服务体验。 Copyright © 2023 布克学术 All rights reserved.
京ICP备2023020795号-1
ghs 京公网安备 11010802042870号
Book学术文献互助
Book学术文献互助群
群 号:604180095
Book学术官方微信