Sex-specific insights into drug-induced lifespan extension and weight loss in mice.

IF 6 Q2 GERIATRICS & GERONTOLOGY
Aleksey V Belikov, Angelo Talay, João Pedro de Magalhães
{"title":"Sex-specific insights into drug-induced lifespan extension and weight loss in mice.","authors":"Aleksey V Belikov, Angelo Talay, João Pedro de Magalhães","doi":"10.1038/s41514-025-00229-w","DOIUrl":null,"url":null,"abstract":"<p><p>The DrugAge database serves as a comprehensive resource for studying compounds that increase lifespan in model organisms. In the latest version of DrugAge, we implemented multiple updates, predominantly focusing on mouse studies to enhance data accuracy and consistency. Key improvements include re-recording of mouse data from original sources, standardization of drug dosages to parts per million, and recording of administration routes, treatment initiation ages, and lifespans of controls. The user interface was also upgraded. Additionally, weight change data were included to address the potential impact of caloric restriction induced by drug administration on lifespan. Our analysis revealed significant correlations between weight loss and lifespan extension in male mice, particularly in studies conducted by the Interventions Testing Program, highlighting the importance of considering weight changes in lifespan studies. We also observed notable sex-related differences in lifespan and weight change responses, underscoring the need for sex-specific analyses in aging research.</p>","PeriodicalId":94160,"journal":{"name":"npj aging","volume":"11 1","pages":"37"},"PeriodicalIF":6.0000,"publicationDate":"2025-05-19","publicationTypes":"Journal Article","fieldsOfStudy":null,"isOpenAccess":false,"openAccessPdf":"https://www.ncbi.nlm.nih.gov/pmc/articles/PMC12089533/pdf/","citationCount":"0","resultStr":null,"platform":"Semanticscholar","paperid":null,"PeriodicalName":"npj aging","FirstCategoryId":"1085","ListUrlMain":"https://doi.org/10.1038/s41514-025-00229-w","RegionNum":0,"RegionCategory":null,"ArticlePicture":[],"TitleCN":null,"AbstractTextCN":null,"PMCID":null,"EPubDate":"","PubModel":"","JCR":"Q2","JCRName":"GERIATRICS & GERONTOLOGY","Score":null,"Total":0}
引用次数: 0

Abstract

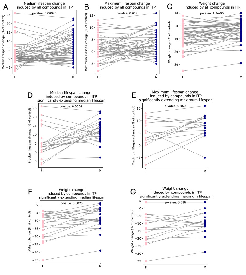
The DrugAge database serves as a comprehensive resource for studying compounds that increase lifespan in model organisms. In the latest version of DrugAge, we implemented multiple updates, predominantly focusing on mouse studies to enhance data accuracy and consistency. Key improvements include re-recording of mouse data from original sources, standardization of drug dosages to parts per million, and recording of administration routes, treatment initiation ages, and lifespans of controls. The user interface was also upgraded. Additionally, weight change data were included to address the potential impact of caloric restriction induced by drug administration on lifespan. Our analysis revealed significant correlations between weight loss and lifespan extension in male mice, particularly in studies conducted by the Interventions Testing Program, highlighting the importance of considering weight changes in lifespan studies. We also observed notable sex-related differences in lifespan and weight change responses, underscoring the need for sex-specific analyses in aging research.

Abstract Image

Abstract Image

Abstract Image

药物诱导小鼠寿命延长和体重减轻的性别特异性见解。
药物数据库是研究增加模式生物寿命的化合物的综合资源。在最新版本的DrugAge中,我们实施了多次更新,主要集中在小鼠研究上,以提高数据的准确性和一致性。关键的改进包括从原始来源重新记录小鼠数据,将药物剂量标准化到百万分之一,以及记录给药途径,治疗起始年龄和对照组的寿命。用户界面也进行了升级。此外,体重变化数据也包括在内,以解决药物给药引起的热量限制对寿命的潜在影响。我们的分析揭示了雄性小鼠体重减轻与寿命延长之间的显著相关性,特别是在干预测试项目进行的研究中,强调了在寿命研究中考虑体重变化的重要性。我们还观察到寿命和体重变化反应的显著性别相关差异,强调了在衰老研究中进行性别特异性分析的必要性。
本文章由计算机程序翻译,如有差异,请以英文原文为准。
求助全文
约1分钟内获得全文 求助全文
来源期刊
CiteScore
8.90
自引率
0.00%
发文量
0
×
引用
GB/T 7714-2015
复制
MLA
复制
APA
复制
导出至
BibTeX EndNote RefMan NoteFirst NoteExpress
×
提示
您的信息不完整,为了账户安全,请先补充。
现在去补充
×
提示
您因"违规操作"
具体请查看互助需知
我知道了
×
提示
确定
请完成安全验证×
copy
已复制链接
快去分享给好友吧!
我知道了
右上角分享
点击右上角分享
0
联系我们:info@booksci.cn Book学术提供免费学术资源搜索服务,方便国内外学者检索中英文文献。致力于提供最便捷和优质的服务体验。 Copyright © 2023 布克学术 All rights reserved.
京ICP备2023020795号-1
ghs 京公网安备 11010802042870号
Book学术文献互助
Book学术文献互助群
群 号:604180095
Book学术官方微信