Lethal and sublethal effects of cotton expressing single and pyramided proteins of Bacillus thuringiensis (Bt) on Helicoverpa armigera (Lepidoptera: Noctuidae), Spodoptera litura (Lepidoptera: Noctuidae), and Spodoptera frugiperda (Lepidoptera: Noctuidae).

Sharna Holman, Paul Grundy, Helen Spafford, Michael Furlong
{"title":"Lethal and sublethal effects of cotton expressing single and pyramided proteins of Bacillus thuringiensis (Bt) on Helicoverpa armigera (Lepidoptera: Noctuidae), Spodoptera litura (Lepidoptera: Noctuidae), and Spodoptera frugiperda (Lepidoptera: Noctuidae).","authors":"Sharna Holman, Paul Grundy, Helen Spafford, Michael Furlong","doi":"10.1093/jee/toaf089","DOIUrl":null,"url":null,"abstract":"<p><p>The susceptibility to proteins from Bacillus thuringiensis (Bt) can vary among lepidopteran pest species. While Bollgard 3 cotton (BG3) effectively controls the primary pest Helicoverpa armigera (Hübner) in Australia, its effectiveness against other pests, such as Spodoptera litura (Fabricius) and Spodoptera frugiperda (J. E. Smith), is unknown. This laboratory study assessed the survival and development of H. armigera, S. litura, and S. frugiperda larvae when fed foliage from a non-transgenic cotton variety (CC) and 3 transgenic cotton varieties: Bollgard (BG1) expressing Cry1Ac, Bollgard II (BG2) expressing Cry1Ac and Cry2Ab, and Bollgard 3 (BG3) expressing Cry1Ac, Cry2Ab, and Vip3A. Pyramided Bt cotton had greater negative effects on survival and development of all species compared with CC or BG1. The proportion of H. armigera that eclosed as adults was very low when larvae fed on BG2 or BG3 compared with BG1. Eclosion rates of S. litura and S. frugiperda on BG3 were much lower compared with BG2 and BG1. This study demonstrates that BG3 has greater efficacy against a wider lepidopteran pest complex compared with previous Bt cotton products. Despite efficacy in the laboratory, S. litura larvae are reported to be surviving in BG3 fields, suggesting other factors are influencing field efficacy. As BG3 production expands across tropical northern Australia, preserving the susceptibility of S. litura and S. frugiperda to BG3 proteins is crucial. This study identifies the need for further research on field survival and resistance management strategies for secondary pest species.</p>","PeriodicalId":94077,"journal":{"name":"Journal of economic entomology","volume":" ","pages":"1702-1710"},"PeriodicalIF":0.0000,"publicationDate":"2025-08-29","publicationTypes":"Journal Article","fieldsOfStudy":null,"isOpenAccess":false,"openAccessPdf":"https://www.ncbi.nlm.nih.gov/pmc/articles/PMC12397966/pdf/","citationCount":"0","resultStr":null,"platform":"Semanticscholar","paperid":null,"PeriodicalName":"Journal of economic entomology","FirstCategoryId":"1085","ListUrlMain":"https://doi.org/10.1093/jee/toaf089","RegionNum":0,"RegionCategory":null,"ArticlePicture":[],"TitleCN":null,"AbstractTextCN":null,"PMCID":null,"EPubDate":"","PubModel":"","JCR":"","JCRName":"","Score":null,"Total":0}
引用次数: 0

Abstract

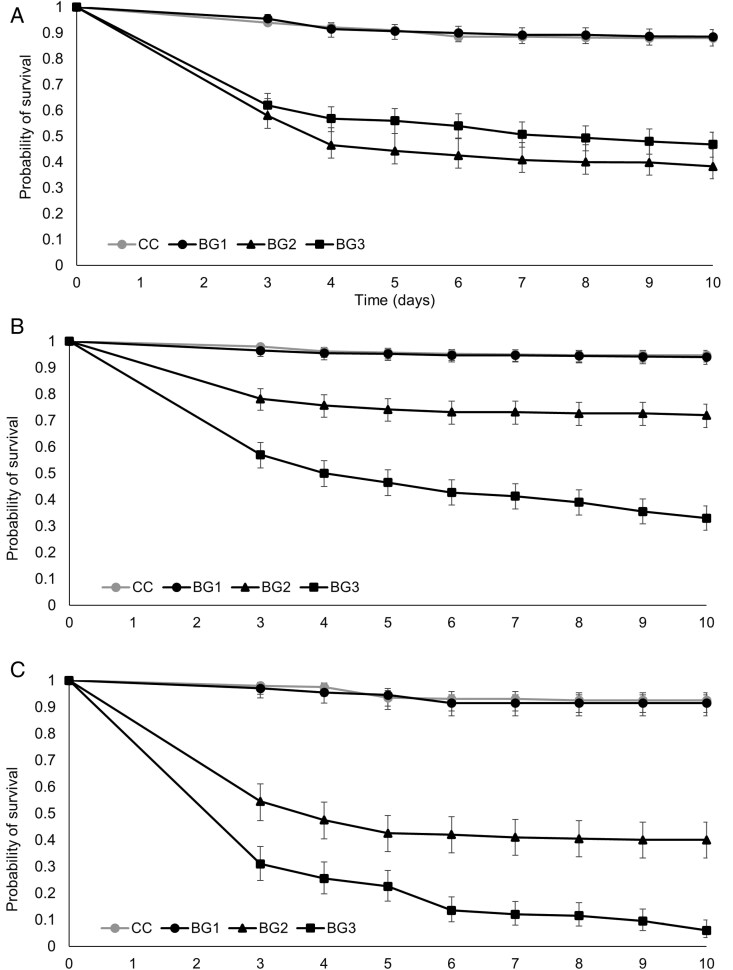
The susceptibility to proteins from Bacillus thuringiensis (Bt) can vary among lepidopteran pest species. While Bollgard 3 cotton (BG3) effectively controls the primary pest Helicoverpa armigera (Hübner) in Australia, its effectiveness against other pests, such as Spodoptera litura (Fabricius) and Spodoptera frugiperda (J. E. Smith), is unknown. This laboratory study assessed the survival and development of H. armigera, S. litura, and S. frugiperda larvae when fed foliage from a non-transgenic cotton variety (CC) and 3 transgenic cotton varieties: Bollgard (BG1) expressing Cry1Ac, Bollgard II (BG2) expressing Cry1Ac and Cry2Ab, and Bollgard 3 (BG3) expressing Cry1Ac, Cry2Ab, and Vip3A. Pyramided Bt cotton had greater negative effects on survival and development of all species compared with CC or BG1. The proportion of H. armigera that eclosed as adults was very low when larvae fed on BG2 or BG3 compared with BG1. Eclosion rates of S. litura and S. frugiperda on BG3 were much lower compared with BG2 and BG1. This study demonstrates that BG3 has greater efficacy against a wider lepidopteran pest complex compared with previous Bt cotton products. Despite efficacy in the laboratory, S. litura larvae are reported to be surviving in BG3 fields, suggesting other factors are influencing field efficacy. As BG3 production expands across tropical northern Australia, preserving the susceptibility of S. litura and S. frugiperda to BG3 proteins is crucial. This study identifies the need for further research on field survival and resistance management strategies for secondary pest species.

Abstract Image

Abstract Image

表达苏云金芽孢杆菌单蛋白和锥体蛋白的棉花对棉铃虫、斜纹夜蛾和果纹夜蛾的致死和亚致死效应
鳞翅目害虫对苏云金芽孢杆菌(Bt)蛋白的敏感性不同。虽然Bollgard 3棉花(BG3)在澳大利亚能有效控制主要害虫棉铃虫Helicoverpa armigera (h bner),但其对其他害虫如斜纹夜蛾(Fabricius)和frugiperda (j.e. Smith)的有效性尚不清楚。本实验以非转基因棉花品种(CC)和3个转基因棉花品种(表达Cry1Ac的Bollgard (BG1)、表达Cry1Ac和Cry2Ab的Bollgard II (BG2)和表达Cry1Ac、Cry2Ab和Vip3A的Bollgard 3 (BG3))的叶片为食,对棉蚜、litura和frugiperda幼虫的存活和发育进行了研究。与CC和BG1相比,Bt锥体棉对各品种的生存发育均有较大的负面影响。幼虫取食BG2或BG3时,成虫比例明显低于BG1。斜纹夜蛾和果纹夜蛾在BG3上的羽化率明显低于BG2和BG1。本研究表明,与以前的Bt棉产品相比,BG3对更广泛的鳞翅目害虫具有更强的防治效果。尽管在实验室中有药效,但据报道斜纹夜蛾幼虫在BG3田间存活,这表明其他因素正在影响田间药效。随着BG3在澳大利亚北部热带地区的生产扩大,保持S. litura和S. frugiperda对BG3蛋白的敏感性至关重要。本研究表明,需要进一步研究次生害虫的田间生存和抗性管理策略。
本文章由计算机程序翻译,如有差异,请以英文原文为准。
求助全文
约1分钟内获得全文 求助全文
来源期刊
自引率
0.00%
发文量
0
×
引用
GB/T 7714-2015
复制
MLA
复制
APA
复制
导出至
BibTeX EndNote RefMan NoteFirst NoteExpress
×
提示
您的信息不完整,为了账户安全,请先补充。
现在去补充
×
提示
您因"违规操作"
具体请查看互助需知
我知道了
×
提示
确定
请完成安全验证×
copy
已复制链接
快去分享给好友吧!
我知道了
右上角分享
点击右上角分享
0
联系我们:info@booksci.cn Book学术提供免费学术资源搜索服务,方便国内外学者检索中英文文献。致力于提供最便捷和优质的服务体验。 Copyright © 2023 布克学术 All rights reserved.
京ICP备2023020795号-1
ghs 京公网安备 11010802042870号
Book学术文献互助
Book学术文献互助群
群 号:604180095
Book学术官方微信