Association between metabolic parameters and erection in erectile dysfunction patients with hyperuricemia.

IF 2.7
Asian journal of andrology Pub Date : 2025-07-01 Epub Date: 2025-05-16 DOI:10.4103/aja202516
Guo-Wei Du, Pei-Ning Niu, Zhao-Xu Yang, Xing-Hao Zhang, Jin-Chen He, Tao Liu, Yan Xu, Jian-Huai Chen, Yun Chen
{"title":"Association between metabolic parameters and erection in erectile dysfunction patients with hyperuricemia.","authors":"Guo-Wei Du, Pei-Ning Niu, Zhao-Xu Yang, Xing-Hao Zhang, Jin-Chen He, Tao Liu, Yan Xu, Jian-Huai Chen, Yun Chen","doi":"10.4103/aja202516","DOIUrl":null,"url":null,"abstract":"<p><strong>Abstract: </strong>The relationship between hyperuricemia (HUA) and erectile dysfunction (ED) remains inadequately understood. Given that HUA is often associated with various metabolic disorders, this study aims to explore the multivariate linear impacts of metabolic parameters on erectile function in ED patients with HUA. A cross-sectional analysis was conducted involving 514 ED patients with HUA in the Department of Andrology, Jiangsu Province Hospital of Chinese Medicine (Nanjing, China), aged 18 to 60 years. General demographic information, medical history, and laboratory results were collected to assess metabolic disturbances. Sexual function was evaluated using the 5-item version of the International Index of Erectile Function (IIEF-5) questionnaire. Based on univariate analysis, variables associated with IIEF-5 scores were identified, and the correlations between them were evaluated. The effects of these variables on IIEF-5 scores were further explored by multiple linear regression models. Fasting plasma glucose ( β = -0.628, P < 0.001), uric acid ( β = -0.552, P < 0.001), triglycerides ( β = -0.088, P = 0.047), low-density lipoprotein cholesterol ( β = -0.164, P = 0.027), glycated hemoglobin (HbA1c; β = -0.562, P = 0.012), and smoking history ( β = -0.074, P = 0.037) exhibited significant negative impacts on erectile function. The coefficient of determination ( R ²) for the model was 0.239, and the adjusted R ² was 0.230, indicating overall statistical significance ( F -statistic = 26.52, P < 0.001). Metabolic parameters play a crucial role in the development of ED. Maintaining normal metabolic indices may aid in the prevention and improvement of erectile function in ED patients with HUA.</p>","PeriodicalId":93889,"journal":{"name":"Asian journal of andrology","volume":" ","pages":"482-487"},"PeriodicalIF":2.7000,"publicationDate":"2025-07-01","publicationTypes":"Journal Article","fieldsOfStudy":null,"isOpenAccess":false,"openAccessPdf":"https://www.ncbi.nlm.nih.gov/pmc/articles/PMC12279353/pdf/","citationCount":"0","resultStr":null,"platform":"Semanticscholar","paperid":null,"PeriodicalName":"Asian journal of andrology","FirstCategoryId":"1085","ListUrlMain":"https://doi.org/10.4103/aja202516","RegionNum":0,"RegionCategory":null,"ArticlePicture":[],"TitleCN":null,"AbstractTextCN":null,"PMCID":null,"EPubDate":"2025/5/16 0:00:00","PubModel":"Epub","JCR":"","JCRName":"","Score":null,"Total":0}
引用次数: 0

Abstract

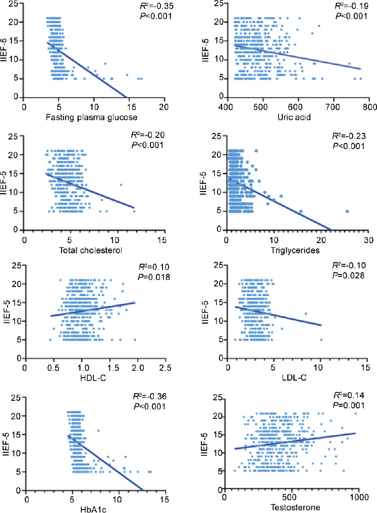
Abstract: The relationship between hyperuricemia (HUA) and erectile dysfunction (ED) remains inadequately understood. Given that HUA is often associated with various metabolic disorders, this study aims to explore the multivariate linear impacts of metabolic parameters on erectile function in ED patients with HUA. A cross-sectional analysis was conducted involving 514 ED patients with HUA in the Department of Andrology, Jiangsu Province Hospital of Chinese Medicine (Nanjing, China), aged 18 to 60 years. General demographic information, medical history, and laboratory results were collected to assess metabolic disturbances. Sexual function was evaluated using the 5-item version of the International Index of Erectile Function (IIEF-5) questionnaire. Based on univariate analysis, variables associated with IIEF-5 scores were identified, and the correlations between them were evaluated. The effects of these variables on IIEF-5 scores were further explored by multiple linear regression models. Fasting plasma glucose ( β = -0.628, P < 0.001), uric acid ( β = -0.552, P < 0.001), triglycerides ( β = -0.088, P = 0.047), low-density lipoprotein cholesterol ( β = -0.164, P = 0.027), glycated hemoglobin (HbA1c; β = -0.562, P = 0.012), and smoking history ( β = -0.074, P = 0.037) exhibited significant negative impacts on erectile function. The coefficient of determination ( R ²) for the model was 0.239, and the adjusted R ² was 0.230, indicating overall statistical significance ( F -statistic = 26.52, P < 0.001). Metabolic parameters play a crucial role in the development of ED. Maintaining normal metabolic indices may aid in the prevention and improvement of erectile function in ED patients with HUA.

Abstract Image

Abstract Image

高尿酸血症伴勃起功能障碍患者的代谢参数与勃起的关系。
高尿酸血症(HUA)与勃起功能障碍(ED)之间的关系尚不清楚。鉴于HUA常与多种代谢紊乱相关,本研究旨在探讨代谢参数对ED HUA患者勃起功能的多元线性影响。对江苏省中医院(南京)男科514例ED合并HUA患者进行横断面分析,患者年龄18 ~ 60岁。收集一般人口统计信息、病史和实验室结果来评估代谢紊乱。性功能评估采用国际勃起功能指数(IIEF-5)问卷的5项版本。在单因素分析的基础上,确定与IIEF-5得分相关的变量,并评估它们之间的相关性。通过多元线性回归模型进一步探讨这些变量对IIEF-5得分的影响。空腹血糖(β = -0.628, P < 0.001)、尿酸(β = -0.552, P < 0.001)、甘油三酯(β = -0.088, P = 0.047)、低密度脂蛋白胆固醇(β = -0.164, P = 0.027)、糖化血红蛋白(HbA1c;β = -0.562, P = 0.012),吸烟史(β = -0.074, P = 0.037)对勃起功能有显著的负面影响。模型的决定系数(R2)为0.239,调整后的R2为0.230,具有总体统计学意义(F -statistic = 26.52, P < 0.001)。代谢参数在ED的发展中起着至关重要的作用,维持正常的代谢指标可能有助于预防和改善HUA ED患者的勃起功能。
本文章由计算机程序翻译,如有差异,请以英文原文为准。
求助全文
约1分钟内获得全文 求助全文
来源期刊
自引率
0.00%
发文量
0
×
引用
GB/T 7714-2015
复制
MLA
复制
APA
复制
导出至
BibTeX EndNote RefMan NoteFirst NoteExpress
×
提示
您的信息不完整,为了账户安全,请先补充。
现在去补充
×
提示
您因"违规操作"
具体请查看互助需知
我知道了
×
提示
确定
请完成安全验证×
copy
已复制链接
快去分享给好友吧!
我知道了
右上角分享
点击右上角分享
0
联系我们:info@booksci.cn Book学术提供免费学术资源搜索服务,方便国内外学者检索中英文文献。致力于提供最便捷和优质的服务体验。 Copyright © 2023 布克学术 All rights reserved.
京ICP备2023020795号-1
ghs 京公网安备 11010802042870号
Book学术文献互助
Book学术文献互助群
群 号:604180095
Book学术官方微信