Endogenous Recovery of Hippocampal Function Following Global Cerebral Ischemia in Juvenile Female Mice Is Influenced by Neuroinflammation and Circulating Sex Hormones.

IF 3.7 4区 医学 Q2 NEUROSCIENCES
Neural Plasticity Pub Date : 2025-05-09 eCollection Date: 2025-01-01 DOI:10.1155/np/6103242
Jose J Vigil, Erika Tiemeier, James E Orfila, Nicholas E Chalmers, Victoria N Chang, Danae Mitchell, Isobella Veitch, Macy Falk, Robert M Dietz, Paco S Herson, Nidia Quillinan
{"title":"Endogenous Recovery of Hippocampal Function Following Global Cerebral Ischemia in Juvenile Female Mice Is Influenced by Neuroinflammation and Circulating Sex Hormones.","authors":"Jose J Vigil, Erika Tiemeier, James E Orfila, Nicholas E Chalmers, Victoria N Chang, Danae Mitchell, Isobella Veitch, Macy Falk, Robert M Dietz, Paco S Herson, Nidia Quillinan","doi":"10.1155/np/6103242","DOIUrl":null,"url":null,"abstract":"<p><p>Cardiac arrest (CA)-induced global cerebral ischemia (GCI) in childhood often results in learning and memory deficits. We previously demonstrated in a murine CA and cardiopulmonary resuscitation (CA/CPR) mouse model that a cellular mechanism of learning and memory, long-term potentiation (LTP), is acutely impaired in the hippocampus of juvenile males, correlating with deficits in memory tasks. However, little is known regarding plasticity impairments in juvenile females. We performed CA/CPR in juvenile (P21-25) female mice and used slice electrophysiology and hippocampal-dependent behavior to assess hippocampal function. LTP and contextual fear were impaired 7 days after GCI and endogenously recovered by 30 days. LTP remained impaired at 30 days in ovariectomized females, suggesting the surge in gonadal sex hormones during puberty mediates endogenous recovery. Unlike juvenile males, recovery of LTP in juvenile females was not associated with BDNF expression. NanoString transcriptional analysis revealed a potential role of neuroinflammatory processes, and specifically Cd68 pathways, in LTP impairment and hormone-dependent recovery. This was confirmed with staining that revealed increased Cd68 expression in microglia within the hippocampus. We were able to restore LTP in ovariectomized females with chronic and acute PPT administration, implicating estrogen receptor alpha in recovery mechanisms. This study supports a mechanism of endogenous LTP recovery after GCI in juvenile female mice, which differs mechanistically from juvenile males and does not occur in adults of either sex.</p>","PeriodicalId":51299,"journal":{"name":"Neural Plasticity","volume":"2025 ","pages":"6103242"},"PeriodicalIF":3.7000,"publicationDate":"2025-05-09","publicationTypes":"Journal Article","fieldsOfStudy":null,"isOpenAccess":false,"openAccessPdf":"https://www.ncbi.nlm.nih.gov/pmc/articles/PMC12084789/pdf/","citationCount":"0","resultStr":null,"platform":"Semanticscholar","paperid":null,"PeriodicalName":"Neural Plasticity","FirstCategoryId":"3","ListUrlMain":"https://doi.org/10.1155/np/6103242","RegionNum":4,"RegionCategory":"医学","ArticlePicture":[],"TitleCN":null,"AbstractTextCN":null,"PMCID":null,"EPubDate":"2025/1/1 0:00:00","PubModel":"eCollection","JCR":"Q2","JCRName":"NEUROSCIENCES","Score":null,"Total":0}
引用次数: 0

Abstract

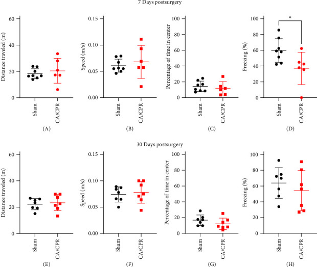
Cardiac arrest (CA)-induced global cerebral ischemia (GCI) in childhood often results in learning and memory deficits. We previously demonstrated in a murine CA and cardiopulmonary resuscitation (CA/CPR) mouse model that a cellular mechanism of learning and memory, long-term potentiation (LTP), is acutely impaired in the hippocampus of juvenile males, correlating with deficits in memory tasks. However, little is known regarding plasticity impairments in juvenile females. We performed CA/CPR in juvenile (P21-25) female mice and used slice electrophysiology and hippocampal-dependent behavior to assess hippocampal function. LTP and contextual fear were impaired 7 days after GCI and endogenously recovered by 30 days. LTP remained impaired at 30 days in ovariectomized females, suggesting the surge in gonadal sex hormones during puberty mediates endogenous recovery. Unlike juvenile males, recovery of LTP in juvenile females was not associated with BDNF expression. NanoString transcriptional analysis revealed a potential role of neuroinflammatory processes, and specifically Cd68 pathways, in LTP impairment and hormone-dependent recovery. This was confirmed with staining that revealed increased Cd68 expression in microglia within the hippocampus. We were able to restore LTP in ovariectomized females with chronic and acute PPT administration, implicating estrogen receptor alpha in recovery mechanisms. This study supports a mechanism of endogenous LTP recovery after GCI in juvenile female mice, which differs mechanistically from juvenile males and does not occur in adults of either sex.

Abstract Image

Abstract Image

Abstract Image

幼年雌性小鼠全脑缺血后海马功能内源性恢复受神经炎症和循环性激素的影响。
儿童心脏骤停(CA)引起的全局性脑缺血(GCI)常常导致学习和记忆障碍。我们之前在小鼠CA和心肺复苏(CA/CPR)小鼠模型中证明,在幼年雄性海马中,学习和记忆的细胞机制长期增强(LTP)严重受损,与记忆任务缺陷相关。然而,对于雌性青少年的可塑性损伤知之甚少。我们对幼年(P21-25)雌性小鼠进行了CA/CPR,并使用切片电生理学和海马依赖行为来评估海马功能。LTP和情境恐惧在GCI后7天受损,30天内源性恢复。在切除卵巢的女性中,LTP在30天内仍然受损,这表明青春期性腺激素的激增介导了内源性恢复。与雄性幼鱼不同,雌性幼鱼LTP的恢复与BDNF的表达无关。纳米链转录分析揭示了神经炎症过程,特别是Cd68通路在LTP损伤和激素依赖性恢复中的潜在作用。通过染色证实,海马内小胶质细胞中Cd68表达增加。我们能够恢复卵巢切除女性慢性和急性PPT的LTP,暗示雌激素受体α在恢复机制。本研究支持了幼年雌性小鼠GCI后内源性LTP恢复的机制,该机制与幼年雄性小鼠的机制不同,并且不发生在成年雌雄小鼠中。
本文章由计算机程序翻译,如有差异,请以英文原文为准。
求助全文
约1分钟内获得全文 求助全文
来源期刊
Neural Plasticity
Neural Plasticity NEUROSCIENCES-
CiteScore
6.80
自引率
0.00%
发文量
77
审稿时长
16 weeks
期刊介绍: Neural Plasticity is an international, interdisciplinary journal dedicated to the publication of articles related to all aspects of neural plasticity, with special emphasis on its functional significance as reflected in behavior and in psychopathology. Neural Plasticity publishes research and review articles from the entire range of relevant disciplines, including basic neuroscience, behavioral neuroscience, cognitive neuroscience, biological psychology, and biological psychiatry.
×
引用
GB/T 7714-2015
复制
MLA
复制
APA
复制
导出至
BibTeX EndNote RefMan NoteFirst NoteExpress
×
提示
您的信息不完整,为了账户安全,请先补充。
现在去补充
×
提示
您因"违规操作"
具体请查看互助需知
我知道了
×
提示
确定
请完成安全验证×
copy
已复制链接
快去分享给好友吧!
我知道了
右上角分享
点击右上角分享
0
联系我们:info@booksci.cn Book学术提供免费学术资源搜索服务,方便国内外学者检索中英文文献。致力于提供最便捷和优质的服务体验。 Copyright © 2023 布克学术 All rights reserved.
京ICP备2023020795号-1
ghs 京公网安备 11010802042870号
Book学术文献互助
Book学术文献互助群
群 号:604180095
Book学术官方微信