Optimizing larval mass-rearing techniques for Aedes mosquitoes: enhancing production and quality for genetic control strategies.

IF 2.4 2区 医学 Q2 PARASITOLOGY
Parasite Pub Date : 2025-01-01 Epub Date: 2025-05-16 DOI:10.1051/parasite/2025024
Wadaka Mamai, Cécile Brengues, Hamidou Maiga, Thomas Wallner, Anthony Herbin, Mathieu Whiteside, Simran Singh Kotla, Odet Bueno-Masso, Nanwintoum Sévérin Bimbilé Somda, Zhiyong Xi, Hanano Yamada, Chantel Janet de Beer, Jérémy Bouyer
{"title":"Optimizing larval mass-rearing techniques for Aedes mosquitoes: enhancing production and quality for genetic control strategies.","authors":"Wadaka Mamai, Cécile Brengues, Hamidou Maiga, Thomas Wallner, Anthony Herbin, Mathieu Whiteside, Simran Singh Kotla, Odet Bueno-Masso, Nanwintoum Sévérin Bimbilé Somda, Zhiyong Xi, Hanano Yamada, Chantel Janet de Beer, Jérémy Bouyer","doi":"10.1051/parasite/2025024","DOIUrl":null,"url":null,"abstract":"<p><p>The quantity and quality of laboratory-reared insects are pivotal for the success of any sterile male-release program. Optimizing larval mass-rearing methods to enhance both production and quality in Aedes mosquitoes is essential to meet the growing demand from FAO/IAEA Member States for the sterile insect technique (SIT) as a component of area-wide integrated pest management to control or suppress disease vectors. This study was designed to identify the most effective feeding regime and schedule that maximize pupae production with a single tilt/sorting event and to evaluate an alternative larval-rearing unit. The results demonstrated that ingredient particle size, mosquito strain and feeding regime significantly influenced insect production and quality, underscoring the critical need to account for these factors in mass-rearing operations. A daily feeding regime of 0.17, 0.33, 0.67, 0.67 and 0.5 mg per larva was identified as optimal for both species (Ae. aegypti and Ae. albopictus) achieving up to 80 ± 2.5% male pupae recovery rate when sorted 48 h after the onset of pupation. Production outcomes were not compromised with the exclusion of feeding on Days 2 and 3. Furthermore, under the conditions of this study, the Wolbaki rack (Model WBK-P0003-V2) was shown to be sufficient for mass-rearing Aedes mosquitoes. Finally, a 4-day feeding regime was implemented in a field program on Reunion island, yielding similar pupae recovery rates and contamination as the reference regime, a significant step toward improving cost-efficiency and scaling-up the program. These findings provide valuable information for refining standard operating procedures (SOPs) for mass-rearing, thereby enhancing the efficiency and scalability of SIT programs.</p>","PeriodicalId":19796,"journal":{"name":"Parasite","volume":"32 ","pages":"29"},"PeriodicalIF":2.4000,"publicationDate":"2025-01-01","publicationTypes":"Journal Article","fieldsOfStudy":null,"isOpenAccess":false,"openAccessPdf":"https://www.ncbi.nlm.nih.gov/pmc/articles/PMC12087348/pdf/","citationCount":"0","resultStr":null,"platform":"Semanticscholar","paperid":null,"PeriodicalName":"Parasite","FirstCategoryId":"3","ListUrlMain":"https://doi.org/10.1051/parasite/2025024","RegionNum":2,"RegionCategory":"医学","ArticlePicture":[],"TitleCN":null,"AbstractTextCN":null,"PMCID":null,"EPubDate":"2025/5/16 0:00:00","PubModel":"Epub","JCR":"Q2","JCRName":"PARASITOLOGY","Score":null,"Total":0}
引用次数: 0

Abstract

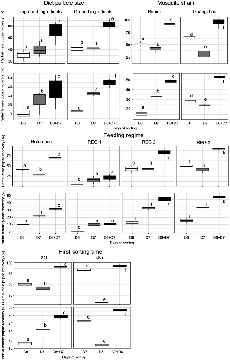
The quantity and quality of laboratory-reared insects are pivotal for the success of any sterile male-release program. Optimizing larval mass-rearing methods to enhance both production and quality in Aedes mosquitoes is essential to meet the growing demand from FAO/IAEA Member States for the sterile insect technique (SIT) as a component of area-wide integrated pest management to control or suppress disease vectors. This study was designed to identify the most effective feeding regime and schedule that maximize pupae production with a single tilt/sorting event and to evaluate an alternative larval-rearing unit. The results demonstrated that ingredient particle size, mosquito strain and feeding regime significantly influenced insect production and quality, underscoring the critical need to account for these factors in mass-rearing operations. A daily feeding regime of 0.17, 0.33, 0.67, 0.67 and 0.5 mg per larva was identified as optimal for both species (Ae. aegypti and Ae. albopictus) achieving up to 80 ± 2.5% male pupae recovery rate when sorted 48 h after the onset of pupation. Production outcomes were not compromised with the exclusion of feeding on Days 2 and 3. Furthermore, under the conditions of this study, the Wolbaki rack (Model WBK-P0003-V2) was shown to be sufficient for mass-rearing Aedes mosquitoes. Finally, a 4-day feeding regime was implemented in a field program on Reunion island, yielding similar pupae recovery rates and contamination as the reference regime, a significant step toward improving cost-efficiency and scaling-up the program. These findings provide valuable information for refining standard operating procedures (SOPs) for mass-rearing, thereby enhancing the efficiency and scalability of SIT programs.

Abstract Image

Abstract Image

Abstract Image

优化伊蚊幼虫大规模饲养技术:提高产量和质量用于遗传控制策略。
实验室饲养昆虫的数量和质量对于任何不育雄性释放计划的成功至关重要。优化幼虫大规模饲养方法以提高伊蚊的产量和质量,对于满足粮农组织/原子能机构成员国对昆虫不育技术日益增长的需求至关重要,昆虫不育技术是控制或抑制病媒的全区域虫害综合管理的一个组成部分。本研究旨在确定最有效的饲养制度和时间表,以最大限度地提高单次倾斜/分选事件的蛹产量,并评估替代的幼虫饲养单位。结果表明,原料粒度、蚊虫品系和饲养方式对昆虫产量和质量有显著影响,强调了在大规模饲养操作中考虑这些因素的关键必要性。结果表明,每只幼虫0.17、0.33、0.67、0.67和0.5 mg的日摄食水平是两种幼虫的最佳摄食水平。埃及伊蚊和伊蚊。白纹伊蚊在化蛹后48 h分选,雄蛹回收率可达80±2.5%。在第2天和第3天不喂食不会影响生产结果。此外,在本研究条件下,沃尔巴基蚊架(WBK-P0003-V2型)可以满足伊蚊的大量繁殖。最后,在留尼旺岛的一个实地项目中实施了为期4天的喂养方案,蛹回收率和污染程度与参考方案相似,这是提高成本效益和扩大项目规模的重要一步。这些发现为完善大规模饲养的标准操作程序(sop)提供了有价值的信息,从而提高了SIT计划的效率和可扩展性。
本文章由计算机程序翻译,如有差异,请以英文原文为准。
求助全文
约1分钟内获得全文 求助全文
来源期刊
Parasite
Parasite 医学-寄生虫学
CiteScore
5.50
自引率
6.90%
发文量
49
审稿时长
3 months
期刊介绍: Parasite is an international open-access, peer-reviewed, online journal publishing high quality papers on all aspects of human and animal parasitology. Reviews, articles and short notes may be submitted. Fields include, but are not limited to: general, medical and veterinary parasitology; morphology, including ultrastructure; parasite systematics, including entomology, acarology, helminthology and protistology, and molecular analyses; molecular biology and biochemistry; immunology of parasitic diseases; host-parasite relationships; ecology and life history of parasites; epidemiology; therapeutics; new diagnostic tools. All papers in Parasite are published in English. Manuscripts should have a broad interest and must not have been published or submitted elsewhere. No limit is imposed on the length of manuscripts, but they should be concisely written. Papers of limited interest such as case reports, epidemiological studies in punctual areas, isolated new geographical records, and systematic descriptions of single species will generally not be accepted, but might be considered if the authors succeed in demonstrating their interest.
×
引用
GB/T 7714-2015
复制
MLA
复制
APA
复制
导出至
BibTeX EndNote RefMan NoteFirst NoteExpress
×
提示
您的信息不完整,为了账户安全,请先补充。
现在去补充
×
提示
您因"违规操作"
具体请查看互助需知
我知道了
×
提示
确定
请完成安全验证×
copy
已复制链接
快去分享给好友吧!
我知道了
右上角分享
点击右上角分享
0
联系我们:info@booksci.cn Book学术提供免费学术资源搜索服务,方便国内外学者检索中英文文献。致力于提供最便捷和优质的服务体验。 Copyright © 2023 布克学术 All rights reserved.
京ICP备2023020795号-1
ghs 京公网安备 11010802042870号
Book学术文献互助
Book学术文献互助群
群 号:604180095
Book学术官方微信