Impact of Integrating Social and Health Home Care Services in Catalonia: A Retrospective Cohort-Based Two-Year Study.

IF 2.6 3区 医学 Q2 HEALTH CARE SCIENCES & SERVICES
International Journal of Integrated Care Pub Date : 2025-05-16 eCollection Date: 2025-04-01 DOI:10.5334/ijic.8909
Emili Vela, Joan Carles Contel, Anna Vila, Sebastià J Santaeugènia, Rosa Suñol, Jordi Amblàs-Novellas, Conxita Barbeta, Aina Plaza, Pilar Hilarión
{"title":"Impact of Integrating Social and Health Home Care Services in Catalonia: A Retrospective Cohort-Based Two-Year Study.","authors":"Emili Vela, Joan Carles Contel, Anna Vila, Sebastià J Santaeugènia, Rosa Suñol, Jordi Amblàs-Novellas, Conxita Barbeta, Aina Plaza, Pilar Hilarión","doi":"10.5334/ijic.8909","DOIUrl":null,"url":null,"abstract":"<p><strong>Introduction: </strong>This study aimed to evaluate the impact of integrating social and health home care services (HCSs) on institutionalization, survival, and utilization of health and social care services and associated expenditures.</p><p><strong>Methods: </strong>Retrospective study including all individuals who initiated social HCSs for dependent people in Catalonia during 2018-2019 with a paired case-control, pre/post design (differences-in-differences), using integrated data from the Autonomy and Dependency Care System database and the Catalan Health Surveillance System. Individuals were categorized based on their perceived level of integration in the residing areas (high level: Case Group, and low level: Control Group).</p><p><strong>Results: </strong>We included 4381 cases and 13143 matched controls. HCS integration decreased the risk of institutionalization in a nursing home by 19.5% and the length of stays in any center by 7.7%. Integration increased day centers' use by 23.7% and primary care service utilization by 3.0%, and also reduced associated social expenditures after HCS initiation by 19.1% and overall social and health expenditures by 2.6%.</p><p><strong>Conclusion: </strong>Integration of social and health HCSs resulted in a shift from institutionalization services to primary care services and day care centers, prolonging recipients' lives in their homes.</p>","PeriodicalId":14049,"journal":{"name":"International Journal of Integrated Care","volume":"25 2","pages":"15"},"PeriodicalIF":2.6000,"publicationDate":"2025-05-16","publicationTypes":"Journal Article","fieldsOfStudy":null,"isOpenAccess":false,"openAccessPdf":"https://www.ncbi.nlm.nih.gov/pmc/articles/PMC12083072/pdf/","citationCount":"0","resultStr":null,"platform":"Semanticscholar","paperid":null,"PeriodicalName":"International Journal of Integrated Care","FirstCategoryId":"3","ListUrlMain":"https://doi.org/10.5334/ijic.8909","RegionNum":3,"RegionCategory":"医学","ArticlePicture":[],"TitleCN":null,"AbstractTextCN":null,"PMCID":null,"EPubDate":"2025/4/1 0:00:00","PubModel":"eCollection","JCR":"Q2","JCRName":"HEALTH CARE SCIENCES & SERVICES","Score":null,"Total":0}
引用次数: 0

Abstract

Introduction: This study aimed to evaluate the impact of integrating social and health home care services (HCSs) on institutionalization, survival, and utilization of health and social care services and associated expenditures.

Methods: Retrospective study including all individuals who initiated social HCSs for dependent people in Catalonia during 2018-2019 with a paired case-control, pre/post design (differences-in-differences), using integrated data from the Autonomy and Dependency Care System database and the Catalan Health Surveillance System. Individuals were categorized based on their perceived level of integration in the residing areas (high level: Case Group, and low level: Control Group).

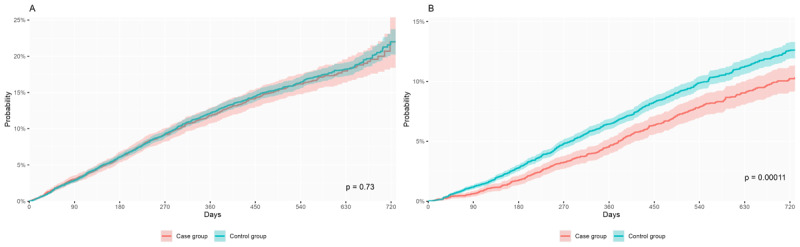
Results: We included 4381 cases and 13143 matched controls. HCS integration decreased the risk of institutionalization in a nursing home by 19.5% and the length of stays in any center by 7.7%. Integration increased day centers' use by 23.7% and primary care service utilization by 3.0%, and also reduced associated social expenditures after HCS initiation by 19.1% and overall social and health expenditures by 2.6%.

Conclusion: Integration of social and health HCSs resulted in a shift from institutionalization services to primary care services and day care centers, prolonging recipients' lives in their homes.

Abstract Image

Abstract Image

Abstract Image

加泰罗尼亚整合社会和健康家庭护理服务的影响:一项基于队列的为期两年的回顾性研究
前言:本研究旨在评估整合社会与健康家庭照护服务(HCSs)对健康与社会照护服务的制度化、生存、利用及相关支出的影响。方法:回顾性研究包括2018-2019年期间在加泰罗尼亚为受抚养人发起社会hcs的所有个体,采用配对病例对照,前/后设计(差异中的差异),使用来自自治和依赖护理系统数据库和加泰罗尼亚健康监测系统的综合数据。个体根据他们在居住区域的感知整合水平进行分类(高水平:病例组,低水平:对照组)。结果:纳入病例4381例,对照组13143例。HCS整合将养老院的制度化风险降低了19.5%,在任何中心的停留时间减少了7.7%。整合使日间中心的使用率提高了23.7%,初级保健服务的使用率提高了3.0%,并且在HCS启动后,相关的社会支出减少了19.1%,总体社会和卫生支出减少了2.6%。结论:社会和健康hcs的整合导致了从机构服务向初级保健服务和日托中心的转变,延长了受助人在家中的生活。
本文章由计算机程序翻译,如有差异,请以英文原文为准。
求助全文
约1分钟内获得全文 求助全文
来源期刊
International Journal of Integrated Care
International Journal of Integrated Care HEALTH CARE SCIENCES & SERVICES-
CiteScore
3.80
自引率
8.30%
发文量
887
审稿时长
>12 weeks
期刊介绍: Established in 2000, IJIC’s mission is to promote integrated care as a scientific discipline. IJIC’s primary purpose is to examine critically the policy and practice of integrated care and whether and how this has impacted on quality-of-care, user experiences, and cost-effectiveness. The journal regularly publishes conference supplements and special themed editions. To find out more contact Managing Editor, Susan Royer. The Journal is supported by the International Foundation for Integrated Care (IFIC).
×
引用
GB/T 7714-2015
复制
MLA
复制
APA
复制
导出至
BibTeX EndNote RefMan NoteFirst NoteExpress
×
提示
您的信息不完整,为了账户安全,请先补充。
现在去补充
×
提示
您因"违规操作"
具体请查看互助需知
我知道了
×
提示
确定
请完成安全验证×
copy
已复制链接
快去分享给好友吧!
我知道了
右上角分享
点击右上角分享
0
联系我们:info@booksci.cn Book学术提供免费学术资源搜索服务,方便国内外学者检索中英文文献。致力于提供最便捷和优质的服务体验。 Copyright © 2023 布克学术 All rights reserved.
京ICP备2023020795号-1
ghs 京公网安备 11010802042870号
Book学术文献互助
Book学术文献互助群
群 号:604180095
Book学术官方微信