Enhancing the shelf life of rainbow trout fillets using edible sodium caseinate coating with Oliveria decumbens essential oil nanoemulsion, vitamin E and sodium dodecyl sulfate.

IF 1 4区 农林科学 Q3 VETERINARY SCIENCES
L Nikravan, S Maktabi, M Ghaderi Ghahfarrokhi, M Mahmoodi Sourestani
{"title":"Enhancing the shelf life of rainbow trout fillets using edible sodium caseinate coating with <i>Oliveria decumbens</i> essential oil nanoemulsion, vitamin E and sodium dodecyl sulfate.","authors":"L Nikravan, S Maktabi, M Ghaderi Ghahfarrokhi, M Mahmoodi Sourestani","doi":"10.22099/ijvr.2024.48884.7185","DOIUrl":null,"url":null,"abstract":"<p><strong>Background: </strong>The use of essential oil nanoemulsions has emerged as a promising strategy for extending the shelf life of highly perishable foods, like fish, by leveraging their natural antimicrobial and antioxidant properties.</p><p><strong>Aims: </strong>This study investigated the effects of an edible sodium caseinate coating incorporating <i>Oliveria decumbens</i> essential oil (<i>Od</i>-EO) and its nanoemulsion (<i>Od</i>-NEO), along with vitamin E and sodium dodecyl sulfate (SDS), on the shelf life of rainbow trout fillets during refrigeration.</p><p><strong>Methods: </strong>Fish samples were coated by immersion in pure sodium caseinate (SC), SC+<i>Od</i>-EO, and SC+<i>Od</i>-NEO. Sensory (odor, color, texture, overall acceptance), chemical (pH, total volatile basic nitrogen [TVB-N], thiobarbituric acid [TBA], and peroxide value [PV]), and microbiological analyses (total mesophilic aerobic bacteria, psychrophilic anaerobic bacteria, and <i>Pseudomonas</i> spp. counts) were conducted over 15 days of storage at 4°C.</p><p><strong>Results: </strong>The study results indicated that fillets treated with SC+<i>Od</i>-NEO exhibited significantly higher quality compared with other treatments. Additionally, the combination of nanoemulsion, vitamin E, and SDS showed synergistic effects in reducing microbial growth, delaying lipid oxidation, and improving organoleptic quality, extending the shelf life of rainbow trout fillets up to 15 days. Overall, the correlation analysis highlights the interdependence of microbial, chemical, and sensory parameters and reinforces the role of SC-NEO-based treatments in mitigating spoilage and maintaining the sensory quality of fish fillets during storage.</p><p><strong>Conclusion: </strong>The results highlight the potential of nanoemulsion-based coatings as an innovative and effective strategy for extending the shelf life of highly perishable fish products. Coting with SC+<i>Od</i>-NEO+Vit E+SDS can be recommended as an effective food preservative.</p>","PeriodicalId":14629,"journal":{"name":"Iranian journal of veterinary research","volume":"25 4","pages":"333-343"},"PeriodicalIF":1.0000,"publicationDate":"2025-01-01","publicationTypes":"Journal Article","fieldsOfStudy":null,"isOpenAccess":false,"openAccessPdf":"https://www.ncbi.nlm.nih.gov/pmc/articles/PMC12085207/pdf/","citationCount":"0","resultStr":null,"platform":"Semanticscholar","paperid":null,"PeriodicalName":"Iranian journal of veterinary research","FirstCategoryId":"97","ListUrlMain":"https://doi.org/10.22099/ijvr.2024.48884.7185","RegionNum":4,"RegionCategory":"农林科学","ArticlePicture":[],"TitleCN":null,"AbstractTextCN":null,"PMCID":null,"EPubDate":"","PubModel":"","JCR":"Q3","JCRName":"VETERINARY SCIENCES","Score":null,"Total":0}
引用次数: 0

Abstract

Background: The use of essential oil nanoemulsions has emerged as a promising strategy for extending the shelf life of highly perishable foods, like fish, by leveraging their natural antimicrobial and antioxidant properties.

Aims: This study investigated the effects of an edible sodium caseinate coating incorporating Oliveria decumbens essential oil (Od-EO) and its nanoemulsion (Od-NEO), along with vitamin E and sodium dodecyl sulfate (SDS), on the shelf life of rainbow trout fillets during refrigeration.

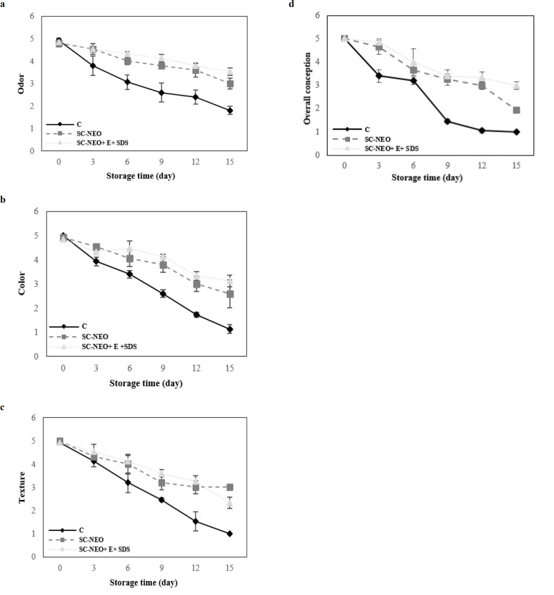
Methods: Fish samples were coated by immersion in pure sodium caseinate (SC), SC+Od-EO, and SC+Od-NEO. Sensory (odor, color, texture, overall acceptance), chemical (pH, total volatile basic nitrogen [TVB-N], thiobarbituric acid [TBA], and peroxide value [PV]), and microbiological analyses (total mesophilic aerobic bacteria, psychrophilic anaerobic bacteria, and Pseudomonas spp. counts) were conducted over 15 days of storage at 4°C.

Results: The study results indicated that fillets treated with SC+Od-NEO exhibited significantly higher quality compared with other treatments. Additionally, the combination of nanoemulsion, vitamin E, and SDS showed synergistic effects in reducing microbial growth, delaying lipid oxidation, and improving organoleptic quality, extending the shelf life of rainbow trout fillets up to 15 days. Overall, the correlation analysis highlights the interdependence of microbial, chemical, and sensory parameters and reinforces the role of SC-NEO-based treatments in mitigating spoilage and maintaining the sensory quality of fish fillets during storage.

Conclusion: The results highlight the potential of nanoemulsion-based coatings as an innovative and effective strategy for extending the shelf life of highly perishable fish products. Coting with SC+Od-NEO+Vit E+SDS can be recommended as an effective food preservative.

Abstract Image

Abstract Image

Abstract Image

用脱脂橄榄油纳米乳、维生素E和十二烷基硫酸钠包覆食用酪蛋白酸钠提高虹鳟鱼鱼片的保质期。
背景:利用精油纳米乳液的天然抗菌和抗氧化特性,已经成为一种很有前途的策略,可以延长高度易腐食品(如鱼)的保质期。目的:本研究考察了含橄榄精油(Od-EO)及其纳米乳(Od-NEO)、维生素E和十二烷基硫酸钠(SDS)的食用酪蛋白酸钠涂层对虹鳟鱼鱼片冷藏过程中保质期的影响。方法:鱼样品分别用纯酪蛋白酸钠(SC)、SC+Od-EO和SC+Od-NEO包被。感官(气味、颜色、质地、总体接受度)、化学(pH值、总挥发性碱性氮[TVB-N]、硫代巴比妥酸[TBA]和过氧化值[PV])和微生物分析(嗜中温好氧细菌总数、嗜冷厌氧细菌总数和假单胞菌总数)在4°C下储存15天。结果:SC+Od-NEO处理后的鱼片质量明显高于其他处理。此外,纳米乳、维生素E和SDS组合在减少微生物生长、延缓脂质氧化、改善感官品质方面具有协同作用,可将虹鳟鱼鱼片的保质期延长至15天。总体而言,相关分析强调了微生物、化学和感官参数之间的相互依赖性,并强调了sc - neo处理在减轻鱼片在储存过程中的腐败和保持感官质量方面的作用。结论:研究结果表明,纳米乳化涂层作为一种创新而有效的策略,具有延长易腐烂鱼类产品保质期的潜力。SC+Od-NEO+Vit E+SDS的涂层可以推荐为有效的食品防腐剂。
本文章由计算机程序翻译,如有差异,请以英文原文为准。
求助全文
约1分钟内获得全文 求助全文
来源期刊
CiteScore
1.70
自引率
8.30%
发文量
10
期刊介绍: The Iranian Journal of Veterinary Research(IJVR) is published quarterly in 4 issues. The aims of this journal are to improve and expand knowledge in all veterinary fields. It is an international journal indexed by the Thomson Institute for Scientific Information (ISI), Elsevier, Scopus, CAB International, Veterinary Bulletin and several other international databases. Research papers and reports on a wide range of veterinary topics are published in the journal after being evaluated by expert reviewers.The Editor-in-Chief is responsible for the editorial content of the journal—including peer-reviewed manuscripts—and the timing of its publication.
×
引用
GB/T 7714-2015
复制
MLA
复制
APA
复制
导出至
BibTeX EndNote RefMan NoteFirst NoteExpress
×
提示
您的信息不完整,为了账户安全,请先补充。
现在去补充
×
提示
您因"违规操作"
具体请查看互助需知
我知道了
×
提示
确定
请完成安全验证×
copy
已复制链接
快去分享给好友吧!
我知道了
右上角分享
点击右上角分享
0
联系我们:info@booksci.cn Book学术提供免费学术资源搜索服务,方便国内外学者检索中英文文献。致力于提供最便捷和优质的服务体验。 Copyright © 2023 布克学术 All rights reserved.
京ICP备2023020795号-1
ghs 京公网安备 11010802042870号
Book学术文献互助
Book学术文献互助群
群 号:604180095
Book学术官方微信