The comparison of clinicopathological characteristics of two distinct manifestations of gastric signet ring cell carcinoma under EUS.

IF 5.4 1区 医学 Q1 GASTROENTEROLOGY & HEPATOLOGY
Endoscopic Ultrasound Pub Date : 2024-09-01 Epub Date: 2024-11-08 DOI:10.1097/eus.0000000000000085
Shanshan Liu, Chaoqun Han, Qi He, Guochen Shang, Yu Jin, Jun Liu, Zhen Ding, Rong Lin
{"title":"The comparison of clinicopathological characteristics of two distinct manifestations of gastric signet ring cell carcinoma under EUS.","authors":"Shanshan Liu, Chaoqun Han, Qi He, Guochen Shang, Yu Jin, Jun Liu, Zhen Ding, Rong Lin","doi":"10.1097/eus.0000000000000085","DOIUrl":null,"url":null,"abstract":"<p><strong>Background and objectives: </strong>There are two different endoscopic ultrasonographic manifestations of gastric signet ring cell carcinoma (GSRCC). No studies have been reported on the differences in the clinical profiles of patients based on EUS examination. We aim to study the variations in clinicopathological characteristics between two distinct endoscopic ultrasonographic manifestations of GSRCC.</p><p><strong>Methods: </strong>A total of 302 patients with GSRCC confirmed by pathological examination who underwent EUS were enrolled in the study. Based on the endoscopic ultrasonographic features, patients were categorized into two groups: type 1, where the entire layer structure disappeared, and type 2, where the layer structure was still present and appeared lymphomatoid. Clinicopathologic features were collected retrospectively and analyzed.</p><p><strong>Results: </strong>Compared with type 2 patients, type 1 patients tended to develop GSRCC at an older age (<i>P</i> = 0.033) and had higher serum levels of tumor markers and were more likely to experience anemia (<i>P</i> < 0.001) and weight loss (<i>P</i> < 0.001) during the disease progression. Significant increases in the tumor size (<i>P</i> < 0.001), thickness of the affected gastric wall (<i>P</i> < 0.001), and depth of tumor invasion (<i>P</i> < 0.001) were observed in type 1 patients. Furthermore, type 1 patients had higher prevalence of affected blood vessels (<i>P</i> < 0.001), nerves (<i>P</i> < 0.001), lymph nodes (<i>P</i> < 0.001), and peritoneal metastasis (<i>P</i> < 0.001). However, no difference was found in the duration of disease between the two groups, and all deficient mismatch repairs were observed in type 1 patients.</p><p><strong>Conclusions: </strong>The two distinct endoscopic ultrasonographic manifestations of GSRCC exhibited different clinicopathological characteristics, suggesting that they may represent different subtypes of the disease that require special attention in management strategies.</p>","PeriodicalId":11577,"journal":{"name":"Endoscopic Ultrasound","volume":"13 5","pages":"293-299"},"PeriodicalIF":5.4000,"publicationDate":"2024-09-01","publicationTypes":"Journal Article","fieldsOfStudy":null,"isOpenAccess":false,"openAccessPdf":"https://www.ncbi.nlm.nih.gov/pmc/articles/PMC12080688/pdf/","citationCount":"0","resultStr":null,"platform":"Semanticscholar","paperid":null,"PeriodicalName":"Endoscopic Ultrasound","FirstCategoryId":"3","ListUrlMain":"https://doi.org/10.1097/eus.0000000000000085","RegionNum":1,"RegionCategory":"医学","ArticlePicture":[],"TitleCN":null,"AbstractTextCN":null,"PMCID":null,"EPubDate":"2024/11/8 0:00:00","PubModel":"Epub","JCR":"Q1","JCRName":"GASTROENTEROLOGY & HEPATOLOGY","Score":null,"Total":0}
引用次数: 0

Abstract

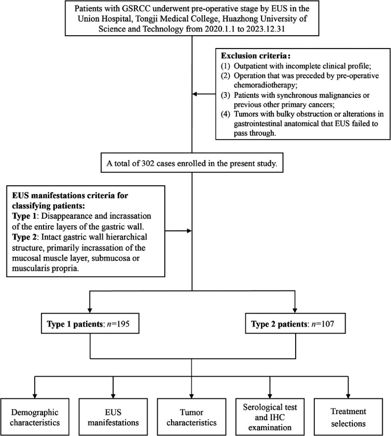
Background and objectives: There are two different endoscopic ultrasonographic manifestations of gastric signet ring cell carcinoma (GSRCC). No studies have been reported on the differences in the clinical profiles of patients based on EUS examination. We aim to study the variations in clinicopathological characteristics between two distinct endoscopic ultrasonographic manifestations of GSRCC.

Methods: A total of 302 patients with GSRCC confirmed by pathological examination who underwent EUS were enrolled in the study. Based on the endoscopic ultrasonographic features, patients were categorized into two groups: type 1, where the entire layer structure disappeared, and type 2, where the layer structure was still present and appeared lymphomatoid. Clinicopathologic features were collected retrospectively and analyzed.

Results: Compared with type 2 patients, type 1 patients tended to develop GSRCC at an older age (P = 0.033) and had higher serum levels of tumor markers and were more likely to experience anemia (P < 0.001) and weight loss (P < 0.001) during the disease progression. Significant increases in the tumor size (P < 0.001), thickness of the affected gastric wall (P < 0.001), and depth of tumor invasion (P < 0.001) were observed in type 1 patients. Furthermore, type 1 patients had higher prevalence of affected blood vessels (P < 0.001), nerves (P < 0.001), lymph nodes (P < 0.001), and peritoneal metastasis (P < 0.001). However, no difference was found in the duration of disease between the two groups, and all deficient mismatch repairs were observed in type 1 patients.

Conclusions: The two distinct endoscopic ultrasonographic manifestations of GSRCC exhibited different clinicopathological characteristics, suggesting that they may represent different subtypes of the disease that require special attention in management strategies.

Abstract Image

Abstract Image

胃印戒细胞癌两种不同表现的临床病理特征比较。
背景与目的:胃印戒细胞癌(GSRCC)有两种不同的超声内镜表现。没有研究报道基于EUS检查的患者临床特征的差异。我们的目的是研究两种不同的内镜超声表现在GSRCC的临床病理特征的变化。方法:302例经病理证实行EUS检查的GSRCC患者入组研究。根据超声内镜表现,将患者分为两组:1型为层状结构完全消失,2型为层状结构仍存在,并表现为淋巴瘤样。回顾性收集临床病理特征并进行分析。结果:与2型患者相比,1型患者发生GSRCC的年龄更大(P = 0.033),血清肿瘤标志物水平更高,在疾病进展过程中更容易出现贫血(P < 0.001)和体重减轻(P < 0.001)。1型患者肿瘤大小(P < 0.001)、胃壁厚度(P < 0.001)、肿瘤浸润深度(P < 0.001)均显著增加。此外,1型患者受影响的血管(P < 0.001)、神经(P < 0.001)、淋巴结(P < 0.001)和腹膜转移(P < 0.001)的患病率更高。然而,两组之间的疾病持续时间没有差异,并且在1型患者中观察到所有缺陷错配修复。结论:GSRCC的两种不同的超声内镜表现具有不同的临床病理特征,提示它们可能代表了不同的疾病亚型,需要特别注意治疗策略。
本文章由计算机程序翻译,如有差异,请以英文原文为准。
求助全文
约1分钟内获得全文 求助全文
来源期刊
Endoscopic Ultrasound
Endoscopic Ultrasound GASTROENTEROLOGY & HEPATOLOGY-
CiteScore
6.20
自引率
11.10%
发文量
144
期刊介绍: Endoscopic Ultrasound, a publication of Euro-EUS Scientific Committee, Asia-Pacific EUS Task Force and Latin American Chapter of EUS, is a peer-reviewed online journal with Quarterly print on demand compilation of issues published. The journal’s full text is available online at http://www.eusjournal.com. The journal allows free access (Open Access) to its contents and permits authors to self-archive final accepted version of the articles on any OAI-compliant institutional / subject-based repository. The journal does not charge for submission, processing or publication of manuscripts and even for color reproduction of photographs.
×
引用
GB/T 7714-2015
复制
MLA
复制
APA
复制
导出至
BibTeX EndNote RefMan NoteFirst NoteExpress
×
提示
您的信息不完整,为了账户安全,请先补充。
现在去补充
×
提示
您因"违规操作"
具体请查看互助需知
我知道了
×
提示
确定
请完成安全验证×
copy
已复制链接
快去分享给好友吧!
我知道了
右上角分享
点击右上角分享
0
联系我们:info@booksci.cn Book学术提供免费学术资源搜索服务,方便国内外学者检索中英文文献。致力于提供最便捷和优质的服务体验。 Copyright © 2023 布克学术 All rights reserved.
京ICP备2023020795号-1
ghs 京公网安备 11010802042870号
Book学术文献互助
Book学术文献互助群
群 号:604180095
Book学术官方微信