Biomarker, efficacy and safety analysis of transcatheter arterial chemoembolization combined with atezolizumab and bevacizumab for unresectable hepatocellular carcinoma.

IF 5.1 2区 医学 Q2 IMMUNOLOGY
Shaobo Zhang, Zebin Zhu, Lianxin Liu, Björn Nashan, Shugeng Zhang
{"title":"Biomarker, efficacy and safety analysis of transcatheter arterial chemoembolization combined with atezolizumab and bevacizumab for unresectable hepatocellular carcinoma.","authors":"Shaobo Zhang, Zebin Zhu, Lianxin Liu, Björn Nashan, Shugeng Zhang","doi":"10.1007/s00262-025-04058-4","DOIUrl":null,"url":null,"abstract":"<p><strong>Objective: </strong>Transcatheter arterial chemoembolization (TACE) combined with atezolizumab and bevacizumab (Atezo-Bev) [Atezo-Bev-TACE] has shown promising therapeutic efficacy in patients with unresectable hepatocellular carcinoma (uHCC). However, there is currently no published research on biomarkers that can predict the treatment outcomes of Atezo-Bev-TACE. This study aims to evaluate the predictive value of the baseline neutrophil-to-lymphocyte ratio (NLR) and platelet-to-lymphocyte ratio (PLR) in uHCC patients undergoing Atezo-Bev-TACE treatment.</p><p><strong>Methods: </strong>This retrospective study included uHCC patients who received Atezo-Bev-TACE and tyrosine kinase inhibitors (TKIs) at the First Affiliated Hospital of the University of Science and Technology of China between November 1, 2020, and November 1, 2023. The primary endpoint of the study was the correlation between baseline NLR and PLR with overall survival (OS) and progression-free survival (PFS). The secondary endpoints were the efficacy and safety of the Atezo-Bev-TACE regimen.</p><p><strong>Results: </strong>Among the 71 enrolled patients with uHCC who received Atezo-Bev-TACE therapy, the objective response rate was 55.0%, with a median OS of 20.0 months (95% confidence interval [CI] 17.4-21.0 months) and a median PFS of 10.4 months (95% CI 7.7-13.1 months). Patients with tumor response had significantly lower baseline NLR and PLR values compared to those without response (2.5 vs. 4.0, P < 0.001; 106.9 vs. 131.3, P = 0.001). The optimal cut-off values for NLR and PLR were determined to be 2.9 and 148.0, respectively, based on receiver operating characteristic curves. Patients with baseline NLR < 2.9 had significantly longer median OS (not reached vs. 17.8 months, P = 0.014) and improved median PFS (15.6 months vs. 9.3 months, P = 0.034) compared to those with NLR ≥ 2.9. Similarly, patients with baseline PLR < 148.0 had a significantly better median OS (20.0 months vs. 12.0 months, P = 0.004) and longer median PFS (13.7 months vs. 6.4 months, P < 0.001) compared to those with PLR ≥ 148.0. Univariate and multivariate Cox regression analyses identified baseline PLR ≥ 148.0 as an independent risk factor for poorer survival outcomes. Additionally, most adverse events (AEs) observed during Atezo-Bev-TACE treatment were grade 1-2, with fewer grade 3-4 AEs, and no grade 5 AEs were reported. Comparative analysis between the Atezo-Bev-TACE group (71 patients) and the TKIs-TACE group (63 patients) demonstrated that the ORR of the TKIs-TACE group was 34.9%, lower than that of the Atezo-Bev-TACE group (55.0%). No statistically significant differences were observed in baseline characteristics between the two groups before treatment. The median OS in the Atezo-Bev-TACE group was 20.0 months, significantly superior to the 14.7 months in the TKIs-TACE group (P = 0.005). Similarly, the median PFS in the Atezo-Bev-TACE group was 10.4 months, significantly better than the 7.8 months in the TKIs-TACE group (P = 0.008).</p><p><strong>Conclusion: </strong>A baseline NLR ≥ 2.9 and PLR ≥ 148.0 may serve as predictive factors for poor OS and PFS in uHCC patients receiving Atezo-Bev-TACE treatment. Furthermore, the Atezo-Bev-TACE regimen demonstrates good efficacy and safety in the clinical management of uHCC patients.</p>","PeriodicalId":9595,"journal":{"name":"Cancer Immunology, Immunotherapy","volume":"74 7","pages":"209"},"PeriodicalIF":5.1000,"publicationDate":"2025-05-19","publicationTypes":"Journal Article","fieldsOfStudy":null,"isOpenAccess":false,"openAccessPdf":"https://www.ncbi.nlm.nih.gov/pmc/articles/PMC12089556/pdf/","citationCount":"0","resultStr":null,"platform":"Semanticscholar","paperid":null,"PeriodicalName":"Cancer Immunology, Immunotherapy","FirstCategoryId":"3","ListUrlMain":"https://doi.org/10.1007/s00262-025-04058-4","RegionNum":2,"RegionCategory":"医学","ArticlePicture":[],"TitleCN":null,"AbstractTextCN":null,"PMCID":null,"EPubDate":"","PubModel":"","JCR":"Q2","JCRName":"IMMUNOLOGY","Score":null,"Total":0}
引用次数: 0

Abstract

Objective: Transcatheter arterial chemoembolization (TACE) combined with atezolizumab and bevacizumab (Atezo-Bev) [Atezo-Bev-TACE] has shown promising therapeutic efficacy in patients with unresectable hepatocellular carcinoma (uHCC). However, there is currently no published research on biomarkers that can predict the treatment outcomes of Atezo-Bev-TACE. This study aims to evaluate the predictive value of the baseline neutrophil-to-lymphocyte ratio (NLR) and platelet-to-lymphocyte ratio (PLR) in uHCC patients undergoing Atezo-Bev-TACE treatment.

Methods: This retrospective study included uHCC patients who received Atezo-Bev-TACE and tyrosine kinase inhibitors (TKIs) at the First Affiliated Hospital of the University of Science and Technology of China between November 1, 2020, and November 1, 2023. The primary endpoint of the study was the correlation between baseline NLR and PLR with overall survival (OS) and progression-free survival (PFS). The secondary endpoints were the efficacy and safety of the Atezo-Bev-TACE regimen.

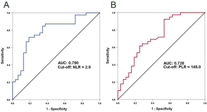
Results: Among the 71 enrolled patients with uHCC who received Atezo-Bev-TACE therapy, the objective response rate was 55.0%, with a median OS of 20.0 months (95% confidence interval [CI] 17.4-21.0 months) and a median PFS of 10.4 months (95% CI 7.7-13.1 months). Patients with tumor response had significantly lower baseline NLR and PLR values compared to those without response (2.5 vs. 4.0, P < 0.001; 106.9 vs. 131.3, P = 0.001). The optimal cut-off values for NLR and PLR were determined to be 2.9 and 148.0, respectively, based on receiver operating characteristic curves. Patients with baseline NLR < 2.9 had significantly longer median OS (not reached vs. 17.8 months, P = 0.014) and improved median PFS (15.6 months vs. 9.3 months, P = 0.034) compared to those with NLR ≥ 2.9. Similarly, patients with baseline PLR < 148.0 had a significantly better median OS (20.0 months vs. 12.0 months, P = 0.004) and longer median PFS (13.7 months vs. 6.4 months, P < 0.001) compared to those with PLR ≥ 148.0. Univariate and multivariate Cox regression analyses identified baseline PLR ≥ 148.0 as an independent risk factor for poorer survival outcomes. Additionally, most adverse events (AEs) observed during Atezo-Bev-TACE treatment were grade 1-2, with fewer grade 3-4 AEs, and no grade 5 AEs were reported. Comparative analysis between the Atezo-Bev-TACE group (71 patients) and the TKIs-TACE group (63 patients) demonstrated that the ORR of the TKIs-TACE group was 34.9%, lower than that of the Atezo-Bev-TACE group (55.0%). No statistically significant differences were observed in baseline characteristics between the two groups before treatment. The median OS in the Atezo-Bev-TACE group was 20.0 months, significantly superior to the 14.7 months in the TKIs-TACE group (P = 0.005). Similarly, the median PFS in the Atezo-Bev-TACE group was 10.4 months, significantly better than the 7.8 months in the TKIs-TACE group (P = 0.008).

Conclusion: A baseline NLR ≥ 2.9 and PLR ≥ 148.0 may serve as predictive factors for poor OS and PFS in uHCC patients receiving Atezo-Bev-TACE treatment. Furthermore, the Atezo-Bev-TACE regimen demonstrates good efficacy and safety in the clinical management of uHCC patients.

Abstract Image

Abstract Image

Abstract Image

经导管动脉化疗栓塞联合阿特唑单抗和贝伐单抗治疗不可切除肝癌的生物标志物、疗效和安全性分析。
目的:经导管动脉化疗栓塞(TACE)联合阿特唑单抗和贝伐单抗(Atezo-Bev) [Atezo-Bev-TACE]治疗不可切除的肝细胞癌(uHCC)显示出良好的治疗效果。然而,目前还没有发表的关于生物标志物的研究可以预测Atezo-Bev-TACE的治疗结果。本研究旨在评估基线中性粒细胞与淋巴细胞比率(NLR)和血小板与淋巴细胞比率(PLR)在接受Atezo-Bev-TACE治疗的uHCC患者中的预测价值。方法:本回顾性研究纳入了2020年11月1日至2023年11月1日在中国科学技术大学第一附属医院接受Atezo-Bev-TACE和酪氨酸激酶抑制剂(TKIs)治疗的uHCC患者。该研究的主要终点是基线NLR和PLR与总生存期(OS)和无进展生存期(PFS)之间的相关性。次要终点是Atezo-Bev-TACE方案的有效性和安全性。结果:在71例接受Atezo-Bev-TACE治疗的uHCC患者中,客观缓解率为55.0%,中位OS为20.0个月(95%置信区间[CI] 17.4-21.0个月),中位PFS为10.4个月(95% CI 7.7-13.1个月)。与无应答患者相比,肿瘤应答患者的基线NLR和PLR值显著降低(2.5 vs. 4.0, P)。结论:基线NLR≥2.9和PLR≥148.0可能是接受Atezo-Bev-TACE治疗的uHCC患者不良OS和PFS的预测因素。此外,Atezo-Bev-TACE方案在uHCC患者的临床治疗中显示出良好的疗效和安全性。
本文章由计算机程序翻译,如有差异,请以英文原文为准。
求助全文
约1分钟内获得全文 求助全文
来源期刊
CiteScore
10.50
自引率
1.70%
发文量
207
审稿时长
1 months
期刊介绍: Cancer Immunology, Immunotherapy has the basic aim of keeping readers informed of the latest research results in the fields of oncology and immunology. As knowledge expands, the scope of the journal has broadened to include more of the progress being made in the areas of biology concerned with biological response modifiers. This helps keep readers up to date on the latest advances in our understanding of tumor-host interactions. The journal publishes short editorials including "position papers," general reviews, original articles, and short communications, providing a forum for the most current experimental and clinical advances in tumor immunology.
×
引用
GB/T 7714-2015
复制
MLA
复制
APA
复制
导出至
BibTeX EndNote RefMan NoteFirst NoteExpress
×
提示
您的信息不完整,为了账户安全,请先补充。
现在去补充
×
提示
您因"违规操作"
具体请查看互助需知
我知道了
×
提示
确定
请完成安全验证×
copy
已复制链接
快去分享给好友吧!
我知道了
右上角分享
点击右上角分享
0
联系我们:info@booksci.cn Book学术提供免费学术资源搜索服务,方便国内外学者检索中英文文献。致力于提供最便捷和优质的服务体验。 Copyright © 2023 布克学术 All rights reserved.
京ICP备2023020795号-1
ghs 京公网安备 11010802042870号
Book学术文献互助
Book学术文献互助群
群 号:604180095
Book学术官方微信