Spatial Segregation Across Travelling Fronts in Individual-Based and Continuum Models for the Growth of Heterogeneous Cell Populations.

IF 2.2 4区 数学 Q2 BIOLOGY
José A Carrillo, Tommaso Lorenzi, Fiona R Macfarlane
{"title":"Spatial Segregation Across Travelling Fronts in Individual-Based and Continuum Models for the Growth of Heterogeneous Cell Populations.","authors":"José A Carrillo, Tommaso Lorenzi, Fiona R Macfarlane","doi":"10.1007/s11538-025-01452-y","DOIUrl":null,"url":null,"abstract":"<p><p>We consider a partial differential equation model for the growth of heterogeneous cell populations subdivided into multiple distinct discrete phenotypes. In this model, cells preferentially move towards regions where they are less compressed, and thus their movement occurs down the gradient of the cellular pressure. The cellular pressure is defined as a weighted sum of the densities (i.e. the volume fractions) of cells with different phenotypes. To translate into mathematical terms the idea that cells with distinct phenotypes have different morphological and mechanical properties, both the cell mobility and the weighted amount the cells contribute to the cellular pressure vary with their phenotype. We formally derive this model as the continuum limit of an on-lattice individual-based model, where cells are represented as single agents undergoing a branching biased random walk corresponding to phenotype-dependent and pressure-regulated cell division, death, and movement. Then, we study travelling wave solutions whereby cells with different phenotypes are spatially segregated across the invading front. Finally, we report on numerical simulations of the two models, demonstrating excellent agreement between them and the travelling wave analysis. The results presented here indicate that inter-cellular variability in mobility can support the maintenance of spatial segregation across invading fronts, whereby cells with a higher mobility drive invasion by occupying regions closer to the front edge.</p>","PeriodicalId":9372,"journal":{"name":"Bulletin of Mathematical Biology","volume":"87 6","pages":"77"},"PeriodicalIF":2.2000,"publicationDate":"2025-05-19","publicationTypes":"Journal Article","fieldsOfStudy":null,"isOpenAccess":false,"openAccessPdf":"https://www.ncbi.nlm.nih.gov/pmc/articles/PMC12089248/pdf/","citationCount":"0","resultStr":null,"platform":"Semanticscholar","paperid":null,"PeriodicalName":"Bulletin of Mathematical Biology","FirstCategoryId":"100","ListUrlMain":"https://doi.org/10.1007/s11538-025-01452-y","RegionNum":4,"RegionCategory":"数学","ArticlePicture":[],"TitleCN":null,"AbstractTextCN":null,"PMCID":null,"EPubDate":"","PubModel":"","JCR":"Q2","JCRName":"BIOLOGY","Score":null,"Total":0}
引用次数: 0

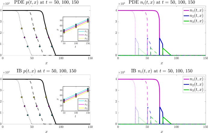
Abstract

We consider a partial differential equation model for the growth of heterogeneous cell populations subdivided into multiple distinct discrete phenotypes. In this model, cells preferentially move towards regions where they are less compressed, and thus their movement occurs down the gradient of the cellular pressure. The cellular pressure is defined as a weighted sum of the densities (i.e. the volume fractions) of cells with different phenotypes. To translate into mathematical terms the idea that cells with distinct phenotypes have different morphological and mechanical properties, both the cell mobility and the weighted amount the cells contribute to the cellular pressure vary with their phenotype. We formally derive this model as the continuum limit of an on-lattice individual-based model, where cells are represented as single agents undergoing a branching biased random walk corresponding to phenotype-dependent and pressure-regulated cell division, death, and movement. Then, we study travelling wave solutions whereby cells with different phenotypes are spatially segregated across the invading front. Finally, we report on numerical simulations of the two models, demonstrating excellent agreement between them and the travelling wave analysis. The results presented here indicate that inter-cellular variability in mobility can support the maintenance of spatial segregation across invading fronts, whereby cells with a higher mobility drive invasion by occupying regions closer to the front edge.

Abstract Image

Abstract Image

Abstract Image

异质细胞群体生长的基于个体和连续体模型中旅行锋的空间隔离。
我们考虑一个偏微分方程模型的生长异质性细胞群体细分为多个不同的离散表型。在这个模型中,细胞优先向它们被压缩较少的区域移动,因此它们的运动发生在细胞压力梯度下。细胞压力被定义为具有不同表型的细胞密度(即体积分数)的加权和。用数学术语来说,具有不同表型的细胞具有不同的形态和力学特性,细胞的移动性和细胞对细胞压力的权重都随其表型而变化。我们正式推导出这个模型作为基于晶格的个体模型的连续体极限,其中细胞被表示为单个代理,经历分支偏差随机游走,对应于表型依赖和压力调节的细胞分裂、死亡和运动。然后,我们研究行波解决方案,其中具有不同表型的细胞在入侵前沿的空间上分离。最后,我们报告了两种模型的数值模拟,证明了它们与行波分析的良好一致性。本研究的结果表明,细胞间移动性的可变性可以支持入侵锋面之间的空间隔离,即移动性较高的细胞通过占领靠近锋面的区域来驱动入侵。
本文章由计算机程序翻译,如有差异,请以英文原文为准。
求助全文
约1分钟内获得全文 求助全文
来源期刊
CiteScore
3.90
自引率
8.60%
发文量
123
审稿时长
7.5 months
期刊介绍: The Bulletin of Mathematical Biology, the official journal of the Society for Mathematical Biology, disseminates original research findings and other information relevant to the interface of biology and the mathematical sciences. Contributions should have relevance to both fields. In order to accommodate the broad scope of new developments, the journal accepts a variety of contributions, including: Original research articles focused on new biological insights gained with the help of tools from the mathematical sciences or new mathematical tools and methods with demonstrated applicability to biological investigations Research in mathematical biology education Reviews Commentaries Perspectives, and contributions that discuss issues important to the profession All contributions are peer-reviewed.
×
引用
GB/T 7714-2015
复制
MLA
复制
APA
复制
导出至
BibTeX EndNote RefMan NoteFirst NoteExpress
×
提示
您的信息不完整,为了账户安全,请先补充。
现在去补充
×
提示
您因"违规操作"
具体请查看互助需知
我知道了
×
提示
确定
请完成安全验证×
copy
已复制链接
快去分享给好友吧!
我知道了
右上角分享
点击右上角分享
0
联系我们:info@booksci.cn Book学术提供免费学术资源搜索服务,方便国内外学者检索中英文文献。致力于提供最便捷和优质的服务体验。 Copyright © 2023 布克学术 All rights reserved.
京ICP备2023020795号-1
ghs 京公网安备 11010802042870号
Book学术文献互助
Book学术文献互助群
群 号:604180095
Book学术官方微信