Stem introducer designs and surgical technique play a significant role in achieving the optimal implant-cement interface.

IF 5.1 2区 医学 Q2 CELL & TISSUE ENGINEERING
Bernard H van Duren, Kevin Ilo, Sophie Walker, Mark Higgins, Benjamin V Bloch, Andrew R Manktelow, Hemant G Pandit
{"title":"Stem introducer designs and surgical technique play a significant role in achieving the optimal implant-cement interface.","authors":"Bernard H van Duren, Kevin Ilo, Sophie Walker, Mark Higgins, Benjamin V Bloch, Andrew R Manktelow, Hemant G Pandit","doi":"10.1302/2046-3758.145.BJR-2024-0273.R1","DOIUrl":null,"url":null,"abstract":"<p><strong>Aims: </strong>Periprosthetic fracture is a major contributor to reoperation with polished taper slip (PTS) cemented stems, which is the most used fixation technique in many countries. A clear cause for this has yet to be established. A significant variation exists between PTS stem designs, associated fractured rates among them, and the design of introducers used. Achieving a conforming implant-cement interface (ICI) is crucial to ensure optimal function of PTS implants. Movement of the stem within the setting cement during surgery should be uniplanar, and should not be associated with any unplanned deviations. This is in part controlled by the stem introducer design, which potentially contributes to excess movement and ICI compromise. The aim of this study was to assess movement when using different introducer designs.</p><p><strong>Methods: </strong>We compared four stem introducer designs used with two commonly used PTS stems. The stems were mounted using a silicone rubber compound to simulate setting cement at different timepoints (early = soft, late = hard). The stem tips were left clear, and an inertial measurement unit attached to measure acceleration, angular velocity, and rotation. Participating surgeons (n = 16) were asked to maintain stem position for ten seconds before releasing the introducer.</p><p><strong>Results: </strong>Simulation of soft cement conditions showed a mean root mean square (RMS) value ranging from 0.10 g to 0.30 g for acceleration, 12.75°/s to 67.94°/s for angular velocity, and 2.02° to 6.03° for rotation with significant differences noted between different stem introducers. Simulation of later insertion during the curing process (hard) showed a similar pattern, with a lower overall range of motion.</p><p><strong>Conclusion: </strong>Our results showed that introducer design had a significant impact on stem movement within the setting cement. Furthermore, its removal earlier in the setting reaction resulted in increased movement. These findings highlight the importance of instrument design and correct technique in achieving the optimal ICI.</p>","PeriodicalId":9074,"journal":{"name":"Bone & Joint Research","volume":"14 5","pages":"477-484"},"PeriodicalIF":5.1000,"publicationDate":"2025-05-19","publicationTypes":"Journal Article","fieldsOfStudy":null,"isOpenAccess":false,"openAccessPdf":"https://www.ncbi.nlm.nih.gov/pmc/articles/PMC12086010/pdf/","citationCount":"0","resultStr":null,"platform":"Semanticscholar","paperid":null,"PeriodicalName":"Bone & Joint Research","FirstCategoryId":"3","ListUrlMain":"https://doi.org/10.1302/2046-3758.145.BJR-2024-0273.R1","RegionNum":2,"RegionCategory":"医学","ArticlePicture":[],"TitleCN":null,"AbstractTextCN":null,"PMCID":null,"EPubDate":"","PubModel":"","JCR":"Q2","JCRName":"CELL & TISSUE ENGINEERING","Score":null,"Total":0}
引用次数: 0

Abstract

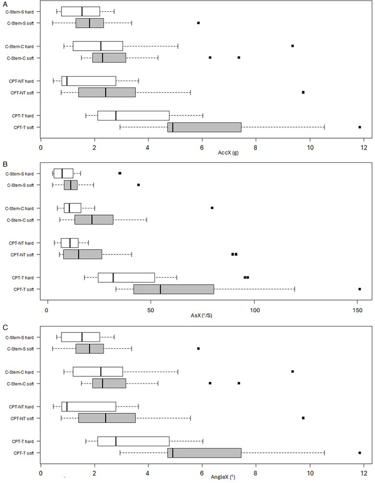
Aims: Periprosthetic fracture is a major contributor to reoperation with polished taper slip (PTS) cemented stems, which is the most used fixation technique in many countries. A clear cause for this has yet to be established. A significant variation exists between PTS stem designs, associated fractured rates among them, and the design of introducers used. Achieving a conforming implant-cement interface (ICI) is crucial to ensure optimal function of PTS implants. Movement of the stem within the setting cement during surgery should be uniplanar, and should not be associated with any unplanned deviations. This is in part controlled by the stem introducer design, which potentially contributes to excess movement and ICI compromise. The aim of this study was to assess movement when using different introducer designs.

Methods: We compared four stem introducer designs used with two commonly used PTS stems. The stems were mounted using a silicone rubber compound to simulate setting cement at different timepoints (early = soft, late = hard). The stem tips were left clear, and an inertial measurement unit attached to measure acceleration, angular velocity, and rotation. Participating surgeons (n = 16) were asked to maintain stem position for ten seconds before releasing the introducer.

Results: Simulation of soft cement conditions showed a mean root mean square (RMS) value ranging from 0.10 g to 0.30 g for acceleration, 12.75°/s to 67.94°/s for angular velocity, and 2.02° to 6.03° for rotation with significant differences noted between different stem introducers. Simulation of later insertion during the curing process (hard) showed a similar pattern, with a lower overall range of motion.

Conclusion: Our results showed that introducer design had a significant impact on stem movement within the setting cement. Furthermore, its removal earlier in the setting reaction resulted in increased movement. These findings highlight the importance of instrument design and correct technique in achieving the optimal ICI.

Abstract Image

Abstract Image

Abstract Image

植入器的设计和手术技术在实现最佳种植体-骨水泥界面方面起着重要的作用。
目的:假体周围骨折是抛光锥形滑移(PTS)骨水泥柄再次手术的主要原因,这是许多国家最常用的固定技术。造成这种情况的一个明确原因尚未确定。PTS杆的设计、相关的骨折率以及所使用的引入器的设计之间存在显著差异。达到一个一致的种植体-水泥界面(ICI)是确保PTS种植体最佳功能的关键。术中椎体在固定水泥内的运动应是平面的,不应伴有任何计划外的偏差。这部分是由阀杆引入器设计控制的,这可能会导致过度运动和ICI妥协。本研究的目的是评估使用不同引入器设计时的运动。方法:我们比较了两种常用PTS茎的四种引入器设计。在不同的时间点(早=软,晚=硬),使用硅橡胶化合物来模拟水泥的凝固。阀杆尖端保持清晰,并附有一个惯性测量单元来测量加速度、角速度和旋转。参与手术的外科医生(n = 16)被要求在松开介绍器前保持干位10秒。结果:软水泥条件的模拟显示,加速度的均方根值为0.10 g至0.30 g,角速度的均方根值为12.75°/s至67.94°/s,旋转的均方根值为2.02°至6.03°,不同的杆导入器之间存在显著差异。在固化过程中(硬)后期插入的模拟显示了类似的模式,具有较低的整体运动范围。结论:我们的研究结果表明,引入器的设计对固定水泥内的干运动有显著的影响。此外,在凝固反应中较早地去除它会导致运动增加。这些发现强调了仪器设计和正确的技术在实现最佳ICI中的重要性。
本文章由计算机程序翻译,如有差异,请以英文原文为准。
求助全文
约1分钟内获得全文 求助全文
来源期刊
Bone & Joint Research
Bone & Joint Research CELL & TISSUE ENGINEERING-ORTHOPEDICS
CiteScore
7.40
自引率
23.90%
发文量
156
审稿时长
12 weeks
期刊介绍: The gold open access journal for the musculoskeletal sciences. Included in PubMed and available in PubMed Central.
×
引用
GB/T 7714-2015
复制
MLA
复制
APA
复制
导出至
BibTeX EndNote RefMan NoteFirst NoteExpress
×
提示
您的信息不完整,为了账户安全,请先补充。
现在去补充
×
提示
您因"违规操作"
具体请查看互助需知
我知道了
×
提示
确定
请完成安全验证×
copy
已复制链接
快去分享给好友吧!
我知道了
右上角分享
点击右上角分享
0
联系我们:info@booksci.cn Book学术提供免费学术资源搜索服务,方便国内外学者检索中英文文献。致力于提供最便捷和优质的服务体验。 Copyright © 2023 布克学术 All rights reserved.
京ICP备2023020795号-1
ghs 京公网安备 11010802042870号
Book学术文献互助
Book学术文献互助群
群 号:604180095
Book学术官方微信