Association between Apolipoprotein B and diabetic nephropathy: insights from the National Health and Nutrition Examination Survey 2007-2016 and Mendelian randomization analysis.

IF 5.2 2区 医学 Q1 ENDOCRINOLOGY & METABOLISM
Hui Wang, Sensen Wu, Dikang Pan, Yachan Ning, Yanhong Fu, Chunjing Feng, Jianming Guo, Zichuan Liu, Yongquan Gu
{"title":"Association between Apolipoprotein B and diabetic nephropathy: insights from the National Health and Nutrition Examination Survey 2007-2016 and Mendelian randomization analysis.","authors":"Hui Wang, Sensen Wu, Dikang Pan, Yachan Ning, Yanhong Fu, Chunjing Feng, Jianming Guo, Zichuan Liu, Yongquan Gu","doi":"10.1038/s41387-025-00370-1","DOIUrl":null,"url":null,"abstract":"<p><strong>Background: </strong>This study aimed to investigate the role of Apolipoprotein B (Apo B) in diabetic nephropathy (DN) from epidemiological and genetic perspectives.</p><p><strong>Methods: </strong>We employed weighted multivariable-adjusted logistic regression to assess the relationship between ApoB and DN risk, utilizing data from the National Health and Nutrition Examination Survey spanning 2007-2016. Then, we used restricted cubic splines (RCS) to flexibly model and visualize the relation of predicted ApoB levels with DN risk. Subsequently, a bidirectional two-sample Mendelian randomization study using genome-wide association study summary statistics was performed. The primary Inverse Variance Weighted method, along with supplementary MR approaches, was employed to verify the causal link between ApoB and DN. Sensitivity analyses were conducted to confirm the robustness of the results.</p><p><strong>Results: </strong>Our observational study enrolled 2242 participants with diabetes mellitus from NHANES. The multivariable logistic regression model indicated that elevated ApoB levels (>1.2 g/L), compared to low levels (<0.8 g/L), were significantly associated with DN risk (P < 0.05). The RCS model revealed a positive linear association with the risk of DN when ApoB levels exceeded 1.12 g/L (OR = 1.29, 95% CI: 1.07-1.57, P = 0.008). However, the MR IVW method did not reveal a direct causal effect of DN on ApoB (OR: 0.976; 95% CI: 0.950-1.004; P = 0.095), nor a direct causal effect of ApoB on DN (OR: 0.837; 95% CI: 0.950-1.078; P = 0.428).</p><p><strong>Conclusion: </strong>The evidence from observational studies indicates a positive correlation between ApoB levels exceeding 1.12 g/L and the onset of DN. However, the causal effects of ApoB on DN and vice versa were not supported by the MR analysis.</p>","PeriodicalId":19339,"journal":{"name":"Nutrition & Diabetes","volume":"15 1","pages":"20"},"PeriodicalIF":5.2000,"publicationDate":"2025-05-16","publicationTypes":"Journal Article","fieldsOfStudy":null,"isOpenAccess":false,"openAccessPdf":"https://www.ncbi.nlm.nih.gov/pmc/articles/PMC12084323/pdf/","citationCount":"0","resultStr":null,"platform":"Semanticscholar","paperid":null,"PeriodicalName":"Nutrition & Diabetes","FirstCategoryId":"3","ListUrlMain":"https://doi.org/10.1038/s41387-025-00370-1","RegionNum":2,"RegionCategory":"医学","ArticlePicture":[],"TitleCN":null,"AbstractTextCN":null,"PMCID":null,"EPubDate":"","PubModel":"","JCR":"Q1","JCRName":"ENDOCRINOLOGY & METABOLISM","Score":null,"Total":0}
引用次数: 0

Abstract

Background: This study aimed to investigate the role of Apolipoprotein B (Apo B) in diabetic nephropathy (DN) from epidemiological and genetic perspectives.

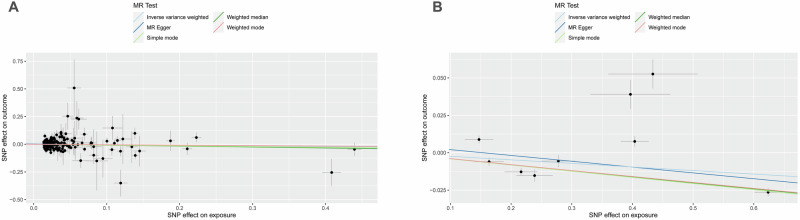
Methods: We employed weighted multivariable-adjusted logistic regression to assess the relationship between ApoB and DN risk, utilizing data from the National Health and Nutrition Examination Survey spanning 2007-2016. Then, we used restricted cubic splines (RCS) to flexibly model and visualize the relation of predicted ApoB levels with DN risk. Subsequently, a bidirectional two-sample Mendelian randomization study using genome-wide association study summary statistics was performed. The primary Inverse Variance Weighted method, along with supplementary MR approaches, was employed to verify the causal link between ApoB and DN. Sensitivity analyses were conducted to confirm the robustness of the results.

Results: Our observational study enrolled 2242 participants with diabetes mellitus from NHANES. The multivariable logistic regression model indicated that elevated ApoB levels (>1.2 g/L), compared to low levels (<0.8 g/L), were significantly associated with DN risk (P < 0.05). The RCS model revealed a positive linear association with the risk of DN when ApoB levels exceeded 1.12 g/L (OR = 1.29, 95% CI: 1.07-1.57, P = 0.008). However, the MR IVW method did not reveal a direct causal effect of DN on ApoB (OR: 0.976; 95% CI: 0.950-1.004; P = 0.095), nor a direct causal effect of ApoB on DN (OR: 0.837; 95% CI: 0.950-1.078; P = 0.428).

Conclusion: The evidence from observational studies indicates a positive correlation between ApoB levels exceeding 1.12 g/L and the onset of DN. However, the causal effects of ApoB on DN and vice versa were not supported by the MR analysis.

Abstract Image

Abstract Image

Abstract Image

载脂蛋白B与糖尿病肾病的关系:来自2007-2016年全国健康与营养调查和孟德尔随机化分析的见解
背景:本研究旨在从流行病学和遗传学角度探讨载脂蛋白B (Apo B)在糖尿病肾病(DN)中的作用。方法:利用2007-2016年全国健康与营养调查数据,采用加权多变量调整logistic回归评估ApoB与DN风险之间的关系。然后,我们使用限制三次样条(RCS)灵活建模和可视化预测ApoB水平与DN风险的关系。随后,使用全基因组关联研究汇总统计进行双向双样本孟德尔随机化研究。主要的逆方差加权方法,以及补充的MR方法,被用来验证ApoB和DN之间的因果关系。进行敏感性分析以确认结果的稳健性。结果:我们的观察性研究纳入了2242名来自NHANES的糖尿病患者。多变量logistic回归模型显示,与低水平相比,ApoB水平升高(>为1.2 g/L)。结论:观察性研究的证据表明,ApoB水平超过1.12 g/L与DN的发病呈正相关。然而,载脂蛋白ob与DN之间的因果关系并没有得到MR分析的支持。
本文章由计算机程序翻译,如有差异,请以英文原文为准。
求助全文
约1分钟内获得全文 求助全文
来源期刊
Nutrition & Diabetes
Nutrition & Diabetes ENDOCRINOLOGY & METABOLISM-NUTRITION & DIETETICS
CiteScore
9.20
自引率
0.00%
发文量
50
审稿时长
>12 weeks
期刊介绍: Nutrition & Diabetes is a peer-reviewed, online, open access journal bringing to the fore outstanding research in the areas of nutrition and chronic disease, including diabetes, from the molecular to the population level.
×
引用
GB/T 7714-2015
复制
MLA
复制
APA
复制
导出至
BibTeX EndNote RefMan NoteFirst NoteExpress
×
提示
您的信息不完整,为了账户安全,请先补充。
现在去补充
×
提示
您因"违规操作"
具体请查看互助需知
我知道了
×
提示
确定
请完成安全验证×
copy
已复制链接
快去分享给好友吧!
我知道了
右上角分享
点击右上角分享
0
联系我们:info@booksci.cn Book学术提供免费学术资源搜索服务,方便国内外学者检索中英文文献。致力于提供最便捷和优质的服务体验。 Copyright © 2023 布克学术 All rights reserved.
京ICP备2023020795号-1
ghs 京公网安备 11010802042870号
Book学术文献互助
Book学术文献互助群
群 号:604180095
Book学术官方微信