Comparison of stability of the GOLD and STAR lung function classification for chronic obstructive pulmonary disease.

IF 3.4 3区 医学 Q1 RESPIRATORY SYSTEM
I-Lin Tsai, Chang Ting-Chia, Tang-Hsiu Huang, Chen Chang-Wen, Tzuen-Ren Hsiue, Yu Tsung, Chin-Wei Kuo
{"title":"Comparison of stability of the GOLD and STAR lung function classification for chronic obstructive pulmonary disease.","authors":"I-Lin Tsai, Chang Ting-Chia, Tang-Hsiu Huang, Chen Chang-Wen, Tzuen-Ren Hsiue, Yu Tsung, Chin-Wei Kuo","doi":"10.1136/bmjresp-2024-002830","DOIUrl":null,"url":null,"abstract":"<p><strong>Background: </strong>The diagnosis of chronic obstructive pulmonary disease (COPD) typically relies on spirometric measurements. The Staging of Airflow Obstruction by Ratio (STAR) classification, a newly proposed system for grading the severity of pulmonary function, has been suggested as a potentially better predictor of outcomes than other classifications. However, the long-term stability of the STAR classification, especially in comparison to the Global Initiative for Chronic Obstructive Lung Disease (GOLD) classification, remains unclear.</p><p><strong>Methods: </strong>In this retrospective cohort study, we analysed data from 622 patients with COPD, enrolled in a pay-for-performance programme at two university hospitals in Taiwan. Patients were classified according to the GOLD and STAR classifications, based on post-bronchodilator spirometry results. The study assessed the agreement between these classifications and the stability of each over a 3-year period, categorising patients into four patterns: no change (stable stage throughout), progression (persistent shift to severe stage), instability (fluctuating between higher and lower stages) and reversal (sustained improvement to a less severe stage).</p><p><strong>Results: </strong>The STAR classification system identified a higher proportion of patients with instability or reversal patterns (42.1%) compared with the GOLD classification (31.0%). While fair coherence was noted between the two classifications over 3 years, the STAR classification demonstrated greater variability. Compared with the GOLD classification, the STAR classification exhibited a higher proportion of instability or reversal patterns in stage 2 but a lower proportion of these patterns in stage 4.</p><p><strong>Conclusion: </strong>Compared with the GOLD classification, the STAR classification demonstrated higher instability and reversal patterns, suggesting the need for careful consideration for its use in long-term COPD management. Further research is required to explore the clinical implications of these findings and to refine the use of these classifications.</p>","PeriodicalId":9048,"journal":{"name":"BMJ Open Respiratory Research","volume":"12 1","pages":""},"PeriodicalIF":3.4000,"publicationDate":"2025-05-16","publicationTypes":"Journal Article","fieldsOfStudy":null,"isOpenAccess":false,"openAccessPdf":"https://www.ncbi.nlm.nih.gov/pmc/articles/PMC12086878/pdf/","citationCount":"0","resultStr":null,"platform":"Semanticscholar","paperid":null,"PeriodicalName":"BMJ Open Respiratory Research","FirstCategoryId":"3","ListUrlMain":"https://doi.org/10.1136/bmjresp-2024-002830","RegionNum":3,"RegionCategory":"医学","ArticlePicture":[],"TitleCN":null,"AbstractTextCN":null,"PMCID":null,"EPubDate":"","PubModel":"","JCR":"Q1","JCRName":"RESPIRATORY SYSTEM","Score":null,"Total":0}
引用次数: 0

Abstract

Background: The diagnosis of chronic obstructive pulmonary disease (COPD) typically relies on spirometric measurements. The Staging of Airflow Obstruction by Ratio (STAR) classification, a newly proposed system for grading the severity of pulmonary function, has been suggested as a potentially better predictor of outcomes than other classifications. However, the long-term stability of the STAR classification, especially in comparison to the Global Initiative for Chronic Obstructive Lung Disease (GOLD) classification, remains unclear.

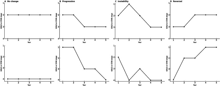
Methods: In this retrospective cohort study, we analysed data from 622 patients with COPD, enrolled in a pay-for-performance programme at two university hospitals in Taiwan. Patients were classified according to the GOLD and STAR classifications, based on post-bronchodilator spirometry results. The study assessed the agreement between these classifications and the stability of each over a 3-year period, categorising patients into four patterns: no change (stable stage throughout), progression (persistent shift to severe stage), instability (fluctuating between higher and lower stages) and reversal (sustained improvement to a less severe stage).

Results: The STAR classification system identified a higher proportion of patients with instability or reversal patterns (42.1%) compared with the GOLD classification (31.0%). While fair coherence was noted between the two classifications over 3 years, the STAR classification demonstrated greater variability. Compared with the GOLD classification, the STAR classification exhibited a higher proportion of instability or reversal patterns in stage 2 but a lower proportion of these patterns in stage 4.

Conclusion: Compared with the GOLD classification, the STAR classification demonstrated higher instability and reversal patterns, suggesting the need for careful consideration for its use in long-term COPD management. Further research is required to explore the clinical implications of these findings and to refine the use of these classifications.

Abstract Image

Abstract Image

慢性阻塞性肺疾病GOLD与STAR肺功能分级稳定性的比较
背景:慢性阻塞性肺疾病(COPD)的诊断通常依赖于肺活量测定。气流阻塞分级(STAR)是一种新提出的肺功能严重程度分级系统,被认为是比其他分级更好的预后预测指标。然而,STAR分类的长期稳定性,特别是与全球慢性阻塞性肺疾病倡议(GOLD)分类相比,仍不清楚。方法:在这项回顾性队列研究中,我们分析了来自台湾两所大学医院的按绩效付费计划的622例COPD患者的数据。根据支气管扩张剂后肺活量测定结果,对患者进行GOLD和STAR分类。该研究评估了这些分类之间的一致性及其在3年期间的稳定性,将患者分为四种模式:无变化(整个稳定阶段)、进展(持续向严重阶段转移)、不稳定(在较高和较低阶段之间波动)和逆转(持续改善到较轻的阶段)。结果:与GOLD分类(31.0%)相比,STAR分类系统识别出更高比例的不稳定或逆转模式患者(42.1%)。虽然两种分类在3年内具有相当的一致性,但STAR分类显示出更大的变异性。与GOLD分类相比,STAR分类在第2阶段表现出较高比例的不稳定或逆转模式,而在第4阶段这些模式的比例较低。结论:与GOLD分类相比,STAR分类表现出更高的不稳定性和逆转模式,提示在COPD长期治疗中使用STAR分类需要谨慎考虑。需要进一步的研究来探索这些发现的临床意义,并完善这些分类的使用。
本文章由计算机程序翻译,如有差异,请以英文原文为准。
求助全文
约1分钟内获得全文 求助全文
来源期刊
BMJ Open Respiratory Research
BMJ Open Respiratory Research RESPIRATORY SYSTEM-
CiteScore
6.60
自引率
2.40%
发文量
95
审稿时长
12 weeks
期刊介绍: BMJ Open Respiratory Research is a peer-reviewed, open access journal publishing respiratory and critical care medicine. It is the sister journal to Thorax and co-owned by the British Thoracic Society and BMJ. The journal focuses on robustness of methodology and scientific rigour with less emphasis on novelty or perceived impact. BMJ Open Respiratory Research operates a rapid review process, with continuous publication online, ensuring timely, up-to-date research is available worldwide. The journal publishes review articles and all research study types: Basic science including laboratory based experiments and animal models, Pilot studies or proof of concept, Observational studies, Study protocols, Registries, Clinical trials from phase I to multicentre randomised clinical trials, Systematic reviews and meta-analyses.
×
引用
GB/T 7714-2015
复制
MLA
复制
APA
复制
导出至
BibTeX EndNote RefMan NoteFirst NoteExpress
×
提示
您的信息不完整,为了账户安全,请先补充。
现在去补充
×
提示
您因"违规操作"
具体请查看互助需知
我知道了
×
提示
确定
请完成安全验证×
copy
已复制链接
快去分享给好友吧!
我知道了
右上角分享
点击右上角分享
0
联系我们:info@booksci.cn Book学术提供免费学术资源搜索服务,方便国内外学者检索中英文文献。致力于提供最便捷和优质的服务体验。 Copyright © 2023 布克学术 All rights reserved.
京ICP备2023020795号-1
ghs 京公网安备 11010802042870号
Book学术文献互助
Book学术文献互助群
群 号:604180095
Book学术官方微信