Relationship between Tongue Pressure and Nutritional Status in Patients Undergoing Maintenance Hemodialysis: A Single-center Cross-sectional Study.

IF 1.5
Progress in rehabilitation medicine Pub Date : 2025-05-14 eCollection Date: 2025-01-01 DOI:10.2490/prm.20250012
Yasushi Kosuge, Shinoe Fujita, Asami Kamiyama, Kayoko Saijo, Rieko Matsumoto, Tomomi Ogawa, Hisanori Wakabayashi, Hiroyuki Watanabe
{"title":"Relationship between Tongue Pressure and Nutritional Status in Patients Undergoing Maintenance Hemodialysis: A Single-center Cross-sectional Study.","authors":"Yasushi Kosuge, Shinoe Fujita, Asami Kamiyama, Kayoko Saijo, Rieko Matsumoto, Tomomi Ogawa, Hisanori Wakabayashi, Hiroyuki Watanabe","doi":"10.2490/prm.20250012","DOIUrl":null,"url":null,"abstract":"<p><strong>Objectives: </strong>This study aimed to investigate tongue pressure in patients undergoing maintenance hemodialysis (MHD) and identify factors associated with tongue pressure, such as nutritional status and sarcopenia components.</p><p><strong>Methods: </strong>This cross-sectional study included 80 outpatients undergoing MHD at our hospital between February and August 2024. Tongue pressure was measured using a tongue pressure measuring device. Patients were divided into groups of low tongue pressure (<30 kPa) and high tongue pressure (≥30 kPa). The geriatric nutritional risk index (GNRI) and the nutritional risk index for Japanese hemodialysis patients (NRI-JH) were used as nutritional indicators. To identify factors strongly associated with tongue pressure in MHD, a multiple regression analysis was performed, with tongue pressure as the dependent variable.</p><p><strong>Results: </strong>The median age of the participants was 81.0 years. The mean tongue pressure was 29.0 kPa, and 58.8% of the patients had tongue pressure less than 30 kPa. Tongue pressure was significantly lower in the oldest age group (≥85 years) than in the younger groups (≤64 years and 65-74 years). Significant correlations were noted between tongue pressure and age, serum albumin, skeletal muscle mass index, phase angle, and handgrip strength. In the multivariate analysis, age, GNRI, and handgrip strength were independent predictors of tongue pressure.</p><p><strong>Conclusions: </strong>This study revealed that age, handgrip strength, and GNRI were independently associated with tongue pressure in patients undergoing MHD. These factors may be used as indicators of tongue pressure in patients undergoing MHD.</p>","PeriodicalId":74584,"journal":{"name":"Progress in rehabilitation medicine","volume":"10 ","pages":"20250012"},"PeriodicalIF":1.5000,"publicationDate":"2025-05-14","publicationTypes":"Journal Article","fieldsOfStudy":null,"isOpenAccess":false,"openAccessPdf":"https://www.ncbi.nlm.nih.gov/pmc/articles/PMC12068940/pdf/","citationCount":"0","resultStr":null,"platform":"Semanticscholar","paperid":null,"PeriodicalName":"Progress in rehabilitation medicine","FirstCategoryId":"1085","ListUrlMain":"https://doi.org/10.2490/prm.20250012","RegionNum":0,"RegionCategory":null,"ArticlePicture":[],"TitleCN":null,"AbstractTextCN":null,"PMCID":null,"EPubDate":"2025/1/1 0:00:00","PubModel":"eCollection","JCR":"","JCRName":"","Score":null,"Total":0}
引用次数: 0

Abstract

Objectives: This study aimed to investigate tongue pressure in patients undergoing maintenance hemodialysis (MHD) and identify factors associated with tongue pressure, such as nutritional status and sarcopenia components.

Methods: This cross-sectional study included 80 outpatients undergoing MHD at our hospital between February and August 2024. Tongue pressure was measured using a tongue pressure measuring device. Patients were divided into groups of low tongue pressure (<30 kPa) and high tongue pressure (≥30 kPa). The geriatric nutritional risk index (GNRI) and the nutritional risk index for Japanese hemodialysis patients (NRI-JH) were used as nutritional indicators. To identify factors strongly associated with tongue pressure in MHD, a multiple regression analysis was performed, with tongue pressure as the dependent variable.

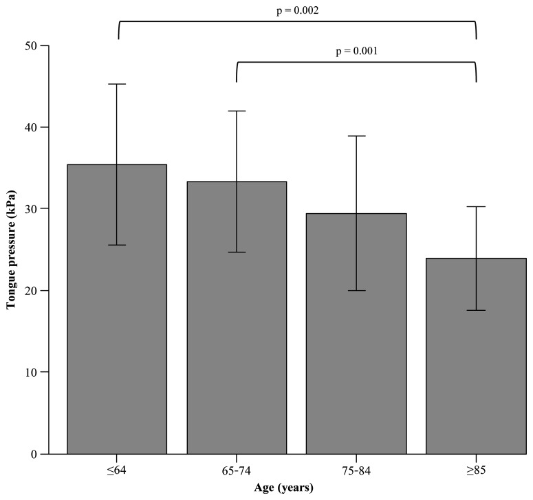
Results: The median age of the participants was 81.0 years. The mean tongue pressure was 29.0 kPa, and 58.8% of the patients had tongue pressure less than 30 kPa. Tongue pressure was significantly lower in the oldest age group (≥85 years) than in the younger groups (≤64 years and 65-74 years). Significant correlations were noted between tongue pressure and age, serum albumin, skeletal muscle mass index, phase angle, and handgrip strength. In the multivariate analysis, age, GNRI, and handgrip strength were independent predictors of tongue pressure.

Conclusions: This study revealed that age, handgrip strength, and GNRI were independently associated with tongue pressure in patients undergoing MHD. These factors may be used as indicators of tongue pressure in patients undergoing MHD.

Abstract Image

Abstract Image

维持性血液透析患者舌压与营养状况的关系:一项单中心横断面研究。
目的:本研究旨在调查维持性血液透析(MHD)患者的舌压,并确定与舌压相关的因素,如营养状况和肌肉减少症成分。方法:对我院2024年2月至8月接受MHD门诊治疗的80例患者进行横断面研究。用舌压测量仪测量舌压。患者被分为舌压低组(结果:参与者的中位年龄为81.0岁。舌压平均值为29.0 kPa, 58.8%的患者舌压小于30 kPa。高龄组(≥85岁)舌压明显低于低龄组(≤64岁和65 ~ 74岁)。舌压与年龄、血清白蛋白、骨骼肌质量指数、相位角和握力之间存在显著相关性。在多变量分析中,年龄、GNRI和握力是舌压的独立预测因子。结论:本研究揭示年龄、握力和GNRI与MHD患者舌压独立相关。这些因素可以作为MHD患者舌压的指标。
本文章由计算机程序翻译,如有差异,请以英文原文为准。
求助全文
约1分钟内获得全文 求助全文
来源期刊
自引率
0.00%
发文量
0
×
引用
GB/T 7714-2015
复制
MLA
复制
APA
复制
导出至
BibTeX EndNote RefMan NoteFirst NoteExpress
×
提示
您的信息不完整,为了账户安全,请先补充。
现在去补充
×
提示
您因"违规操作"
具体请查看互助需知
我知道了
×
提示
确定
请完成安全验证×
copy
已复制链接
快去分享给好友吧!
我知道了
右上角分享
点击右上角分享
0
联系我们:info@booksci.cn Book学术提供免费学术资源搜索服务,方便国内外学者检索中英文文献。致力于提供最便捷和优质的服务体验。 Copyright © 2023 布克学术 All rights reserved.
京ICP备2023020795号-1
ghs 京公网安备 11010802042870号
Book学术文献互助
Book学术文献互助群
群 号:604180095
Book学术官方微信