Physiological Distribution of 18F-FDG in the Spinal Cord of Disease-Free Subjects

IF 1.1 Q4 RADIOLOGY, NUCLEAR MEDICINE & MEDICAL IMAGING
Selin Kesim, Salih Özgüven
{"title":"Physiological Distribution of <sup>18</sup>F-FDG in the Spinal Cord of Disease-Free Subjects","authors":"Selin Kesim, Salih Özgüven","doi":"10.4274/mirt.galenos.2025.56514","DOIUrl":null,"url":null,"abstract":"<p><strong>Objectives: </strong><sup>18</sup>Fluorine-fluorodeoxyglucose (<sup>18</sup>F-FDG) uptake in the spinal cord is not unusual and may mimic metastatic disease. The physiological characterization and variability of spinal cord <sup>18</sup>F-FDG metabolism provide valuable information, especially in patients with suspected malignancies. We aimed to investigate the physiological <sup>18</sup>F-FDG uptake pattern within the spinal cord and its associations in a normal population.</p><p><strong>Methods: </strong>We retrospectively analyzed <sup>18</sup>F-FDG positron emission tomography/computed tomography images of 140 adult patients who were confirmed to be disease-free over a one-year follow-up period. The maximal and mean standard uptake values (SUV<sub>max</sub>, SUV<sub>mean</sub>) were measured at each mid-vertebral level from C1 to L5, and normalized to liver and blood pool uptake. Correlations between <sup>18</sup>F-FDG uptake and patient demographics, clinical parameters, and environmental temperature were evaluated.</p><p><strong>Results: </strong><sup>18</sup>F-FDG uptake demonstrated a decreasing trend from the cervical to lumbar vertebrae, with a notable increase at the lower thoracic levels (T11-T12). There was a significant negative correlation between <sup>18</sup>F-FDG uptake and age (p<0.001), fasting glucose level (p=0.016), and diabetic status (p=0.003). No significant association was found between spinal cord <sup>18</sup>F-FDG uptake and gender, weight, height, body mass index, <sup>18</sup>F-FDG dose, or environmental temperature.</p><p><strong>Conclusion: </strong>Normal distribution of <sup>18</sup>F-FDG in the spinal cord of disease-free individuals decreases from cervical to lumbar levels, although it notably increases at the lower thoracic and mid-lower cervical levels. Uptake significantly decreases with age, with a higher fasting blood glucose level, and in diabetic patients.</p>","PeriodicalId":44681,"journal":{"name":"Molecular Imaging and Radionuclide Therapy","volume":" ","pages":"107-113"},"PeriodicalIF":1.1000,"publicationDate":"2025-06-03","publicationTypes":"Journal Article","fieldsOfStudy":null,"isOpenAccess":false,"openAccessPdf":"https://www.ncbi.nlm.nih.gov/pmc/articles/PMC12134945/pdf/","citationCount":"0","resultStr":null,"platform":"Semanticscholar","paperid":null,"PeriodicalName":"Molecular Imaging and Radionuclide Therapy","FirstCategoryId":"1085","ListUrlMain":"https://doi.org/10.4274/mirt.galenos.2025.56514","RegionNum":0,"RegionCategory":null,"ArticlePicture":[],"TitleCN":null,"AbstractTextCN":null,"PMCID":null,"EPubDate":"2025/5/15 0:00:00","PubModel":"Epub","JCR":"Q4","JCRName":"RADIOLOGY, NUCLEAR MEDICINE & MEDICAL IMAGING","Score":null,"Total":0}
引用次数: 0

Abstract

Objectives: 18Fluorine-fluorodeoxyglucose (18F-FDG) uptake in the spinal cord is not unusual and may mimic metastatic disease. The physiological characterization and variability of spinal cord 18F-FDG metabolism provide valuable information, especially in patients with suspected malignancies. We aimed to investigate the physiological 18F-FDG uptake pattern within the spinal cord and its associations in a normal population.

Methods: We retrospectively analyzed 18F-FDG positron emission tomography/computed tomography images of 140 adult patients who were confirmed to be disease-free over a one-year follow-up period. The maximal and mean standard uptake values (SUVmax, SUVmean) were measured at each mid-vertebral level from C1 to L5, and normalized to liver and blood pool uptake. Correlations between 18F-FDG uptake and patient demographics, clinical parameters, and environmental temperature were evaluated.

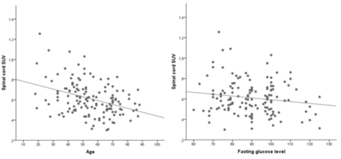
Results: 18F-FDG uptake demonstrated a decreasing trend from the cervical to lumbar vertebrae, with a notable increase at the lower thoracic levels (T11-T12). There was a significant negative correlation between 18F-FDG uptake and age (p<0.001), fasting glucose level (p=0.016), and diabetic status (p=0.003). No significant association was found between spinal cord 18F-FDG uptake and gender, weight, height, body mass index, 18F-FDG dose, or environmental temperature.

Conclusion: Normal distribution of 18F-FDG in the spinal cord of disease-free individuals decreases from cervical to lumbar levels, although it notably increases at the lower thoracic and mid-lower cervical levels. Uptake significantly decreases with age, with a higher fasting blood glucose level, and in diabetic patients.

Abstract Image

Abstract Image

Abstract Image

无病受试者脊髓18F-FDG的生理分布。
目的:18脊髓中氟-氟脱氧葡萄糖(18F-FDG)摄取并不罕见,可能与转移性疾病相似。脊髓18F-FDG代谢的生理特征和变异性提供了有价值的信息,特别是在疑似恶性肿瘤的患者中。我们的目的是研究正常人群脊髓内18F-FDG的生理摄取模式及其相关性。方法:我们回顾性分析了140名成年患者的18F-FDG正电子发射断层扫描/计算机断层扫描图像,这些患者在一年的随访期间被证实无疾病。从C1到L5的每个椎体中间水平测量最大和平均标准摄取值(SUVmax, SUVmean),并将其归一化为肝脏和血池摄取。评估18F-FDG摄取与患者人口统计学、临床参数和环境温度之间的相关性。结果:从颈椎到腰椎,18F-FDG摄取呈下降趋势,胸椎下部水平明显增加(T11-T12)。18F-FDG摄取与年龄呈显著负相关(p18F-FDG摄取与性别、体重、身高、体重指数、18F-FDG剂量或环境温度呈显著负相关)。结论:无病个体脊髓18F-FDG的正态分布从颈椎到腰椎水平降低,但在胸椎下段和颈椎中下段水平显著升高。随着年龄的增长、空腹血糖水平的升高和糖尿病患者的摄入显著减少。
本文章由计算机程序翻译,如有差异,请以英文原文为准。
求助全文
约1分钟内获得全文 求助全文
来源期刊
Molecular Imaging and Radionuclide Therapy
Molecular Imaging and Radionuclide Therapy RADIOLOGY, NUCLEAR MEDICINE & MEDICAL IMAGING-
CiteScore
1.30
自引率
0.00%
发文量
50
期刊介绍: Molecular Imaging and Radionuclide Therapy (Mol Imaging Radionucl Ther, MIRT) is publishes original research articles, invited reviews, editorials, short communications, letters, consensus statements, guidelines and case reports with a literature review on the topic, in the field of molecular imaging, multimodality imaging, nuclear medicine, radionuclide therapy, radiopharmacy, medical physics, dosimetry and radiobiology.
×
引用
GB/T 7714-2015
复制
MLA
复制
APA
复制
导出至
BibTeX EndNote RefMan NoteFirst NoteExpress
×
提示
您的信息不完整,为了账户安全,请先补充。
现在去补充
×
提示
您因"违规操作"
具体请查看互助需知
我知道了
×
提示
确定
请完成安全验证×
copy
已复制链接
快去分享给好友吧!
我知道了
右上角分享
点击右上角分享
0
联系我们:info@booksci.cn Book学术提供免费学术资源搜索服务,方便国内外学者检索中英文文献。致力于提供最便捷和优质的服务体验。 Copyright © 2023 布克学术 All rights reserved.
京ICP备2023020795号-1
ghs 京公网安备 11010802042870号
Book学术文献互助
Book学术文献互助群
群 号:604180095
Book学术官方微信