Feasibility of a Novel Autoinflation Device to Treat Pediatric Otitis Media With Effusion At-Home.

IF 1.8 Q2 OTORHINOLARYNGOLOGY
OTO Open Pub Date : 2025-05-14 eCollection Date: 2025-04-01 DOI:10.1002/oto2.70128
Maria-Jose Soto, Nanki Hura, Intan Oldakowska, Matthew Oldakowski, Paul Bumbak, Peter Luke Santa Maria
{"title":"Feasibility of a Novel Autoinflation Device to Treat Pediatric Otitis Media With Effusion At-Home.","authors":"Maria-Jose Soto, Nanki Hura, Intan Oldakowska, Matthew Oldakowski, Paul Bumbak, Peter Luke Santa Maria","doi":"10.1002/oto2.70128","DOIUrl":null,"url":null,"abstract":"<p><strong>Objective: </strong>Otitis media with effusion (OME) affects 90% of children before school age, with current guidelines recommending tympanostomy tubes for persistent OME and hearing loss after 3 months of \"Watchful Waiting,\" due to the risk of complications including long-term conductive hearing loss. Current nonsurgical treatment options are limited. This study evaluates the feasibility of at-home use of a novel prototype autoinflation device for children with OME or eustachian tube dysfunction.</p><p><strong>Study design: </strong>Single-arm cohort study.</p><p><strong>Setting: </strong>Pediatric otolaryngology private clinic.</p><p><strong>Methods: </strong>Children aged 1 to 12 years with OME were recruited from a pediatric otolaryngology clinic and asked to use the device twice daily for 4 weeks. Baseline audiometry and tympanometry were performed at recruitment, with subsequent tympanometry testing after first use and at 2, 4, 8, and 12 weeks. Audiometry testing was repeated at week 4. Compliance was tracked using an App.</p><p><strong>Results: </strong>Twenty-one patients were included (average age: 5.1 years, range: 2-12 years). After a single session, 86% of patients had middle ear pressure improvement in at least one ear, which maintained stable at 83% at week 4. Additionally, 86% of patients with hearing loss exhibited improvement at 4 weeks, where the average pure tone average in ears with baseline hearing loss improved from 26.8 to 18.9 dB HL.</p><p><strong>Conclusion: </strong>These results demonstrate significant improvement in both tympanometry and audiometry after 4 weeks of device use. This indicates a strong potential benefit in regular ventilation of the middle ear for pediatric patients with OME undergoing \"Watchful Waiting.\"</p>","PeriodicalId":19697,"journal":{"name":"OTO Open","volume":"9 2","pages":"e70128"},"PeriodicalIF":1.8000,"publicationDate":"2025-05-14","publicationTypes":"Journal Article","fieldsOfStudy":null,"isOpenAccess":false,"openAccessPdf":"https://www.ncbi.nlm.nih.gov/pmc/articles/PMC12076345/pdf/","citationCount":"0","resultStr":null,"platform":"Semanticscholar","paperid":null,"PeriodicalName":"OTO Open","FirstCategoryId":"1085","ListUrlMain":"https://doi.org/10.1002/oto2.70128","RegionNum":0,"RegionCategory":null,"ArticlePicture":[],"TitleCN":null,"AbstractTextCN":null,"PMCID":null,"EPubDate":"2025/4/1 0:00:00","PubModel":"eCollection","JCR":"Q2","JCRName":"OTORHINOLARYNGOLOGY","Score":null,"Total":0}
引用次数: 0

Abstract

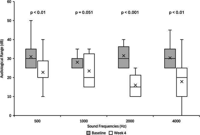
Objective: Otitis media with effusion (OME) affects 90% of children before school age, with current guidelines recommending tympanostomy tubes for persistent OME and hearing loss after 3 months of "Watchful Waiting," due to the risk of complications including long-term conductive hearing loss. Current nonsurgical treatment options are limited. This study evaluates the feasibility of at-home use of a novel prototype autoinflation device for children with OME or eustachian tube dysfunction.

Study design: Single-arm cohort study.

Setting: Pediatric otolaryngology private clinic.

Methods: Children aged 1 to 12 years with OME were recruited from a pediatric otolaryngology clinic and asked to use the device twice daily for 4 weeks. Baseline audiometry and tympanometry were performed at recruitment, with subsequent tympanometry testing after first use and at 2, 4, 8, and 12 weeks. Audiometry testing was repeated at week 4. Compliance was tracked using an App.

Results: Twenty-one patients were included (average age: 5.1 years, range: 2-12 years). After a single session, 86% of patients had middle ear pressure improvement in at least one ear, which maintained stable at 83% at week 4. Additionally, 86% of patients with hearing loss exhibited improvement at 4 weeks, where the average pure tone average in ears with baseline hearing loss improved from 26.8 to 18.9 dB HL.

Conclusion: These results demonstrate significant improvement in both tympanometry and audiometry after 4 weeks of device use. This indicates a strong potential benefit in regular ventilation of the middle ear for pediatric patients with OME undergoing "Watchful Waiting."

Abstract Image

Abstract Image

Abstract Image

一种新型自动充气装置治疗儿童中耳炎积液的可行性。
目的:中耳炎积液(OME)影响90%的学龄前儿童,目前的指南建议在“观察等待”3个月后持续性中耳炎和听力损失的鼓膜造瘘管,因为存在并发症的风险,包括长期传导性听力损失。目前的非手术治疗选择有限。本研究评估了在家中使用一种新型原型自动充气装置治疗OME或咽鼓管功能障碍儿童的可行性。研究设计:单臂队列研究。单位:小儿耳鼻喉科私人诊所。方法:从儿童耳鼻喉科门诊招募1至12岁的OME患儿,要求每天使用该装置两次,持续4周。在招募时进行基线听力测量和鼓室测量,在首次使用后和第2、4、8和12周进行鼓室测量。第4周再次进行听力测试。结果:纳入21例患者(平均年龄5.1岁,范围2-12岁)。单次治疗后,86%的患者至少有一只耳朵的中耳压得到改善,在第4周时稳定在83%。此外,86%的听力损失患者在4周时表现出改善,基线听力损失的耳朵平均纯音从26.8 dB HL改善到18.9 dB HL。结论:这些结果表明,在使用设备4周后,鼓室测量和听力测量均有显著改善。这表明常规中耳通气对处于“观察等待”期的OME患儿具有很强的潜在益处。
本文章由计算机程序翻译,如有差异,请以英文原文为准。
求助全文
约1分钟内获得全文 求助全文
来源期刊
OTO Open
OTO Open Medicine-Surgery
CiteScore
2.70
自引率
0.00%
发文量
115
审稿时长
15 weeks
×
引用
GB/T 7714-2015
复制
MLA
复制
APA
复制
导出至
BibTeX EndNote RefMan NoteFirst NoteExpress
×
提示
您的信息不完整,为了账户安全,请先补充。
现在去补充
×
提示
您因"违规操作"
具体请查看互助需知
我知道了
×
提示
确定
请完成安全验证×
copy
已复制链接
快去分享给好友吧!
我知道了
右上角分享
点击右上角分享
0
联系我们:info@booksci.cn Book学术提供免费学术资源搜索服务,方便国内外学者检索中英文文献。致力于提供最便捷和优质的服务体验。 Copyright © 2023 布克学术 All rights reserved.
京ICP备2023020795号-1
ghs 京公网安备 11010802042870号
Book学术文献互助
Book学术文献互助群
群 号:604180095
Book学术官方微信