The biological characteristics and life table parameters of Plodia interpunctella (Lepidoptera: Pyralidae) reared on different maize varieties.

IF 2 3区 农林科学 Q1 ENTOMOLOGY
Zahra Saeedi, Masumeh Ziaee, Mehdi Esfandiari, Somaiyeh Ghasemzadeh
{"title":"The biological characteristics and life table parameters of Plodia interpunctella (Lepidoptera: Pyralidae) reared on different maize varieties.","authors":"Zahra Saeedi, Masumeh Ziaee, Mehdi Esfandiari, Somaiyeh Ghasemzadeh","doi":"10.1093/jisesa/ieaf047","DOIUrl":null,"url":null,"abstract":"<p><p>The Indianmeal moth, Plodia interpunctella (Hübner) is a major polyphagous pest of stored food products causing serious quantity and quality losses. In this study, the life history of P. interpunctella was evaluated on different maize varieties, including Simon, Valbom, 703, BK, and BC678. The preadult duration for P. interpunctella were 35.5, 43.1, 39.2, 43.4, and 36.8 d on Simon, Valbom, 703, BK, and BC678, respectively. The mean total longevity on Valbom was 52.2 d which was significantly longer than the 41.8 d on Simon (P = 0.012). The developmental period of moths was the most prolonged on Valbom indicating low nutritional suitability of this variety. However, the moths preferred Valbom for oviposition, and more than 132 eggs were laid on this variety. The most intrinsic rate of increase (r) was reported on BC678 and Simon, while the lowest population growth rate was on BK and Valbom. The highest r value on BC678 and Simon could be due to their high moisture and protein content. Based on the shorter preadult, total preoviposition period, mean generation time and higher life table parameters (gross reproductive rate, r, and λ) that occurred on the BC678, make this variety most favorable host for P. interpunctella. The findings highlighted the importance of maize variety selection in managing this pest in stored food products.</p>","PeriodicalId":16156,"journal":{"name":"Journal of Insect Science","volume":"25 3","pages":""},"PeriodicalIF":2.0000,"publicationDate":"2025-05-09","publicationTypes":"Journal Article","fieldsOfStudy":null,"isOpenAccess":false,"openAccessPdf":"https://www.ncbi.nlm.nih.gov/pmc/articles/PMC12082450/pdf/","citationCount":"0","resultStr":null,"platform":"Semanticscholar","paperid":null,"PeriodicalName":"Journal of Insect Science","FirstCategoryId":"97","ListUrlMain":"https://doi.org/10.1093/jisesa/ieaf047","RegionNum":3,"RegionCategory":"农林科学","ArticlePicture":[],"TitleCN":null,"AbstractTextCN":null,"PMCID":null,"EPubDate":"","PubModel":"","JCR":"Q1","JCRName":"ENTOMOLOGY","Score":null,"Total":0}
引用次数: 0

Abstract

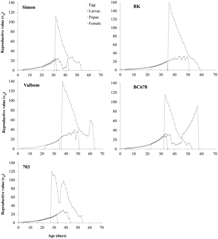
The Indianmeal moth, Plodia interpunctella (Hübner) is a major polyphagous pest of stored food products causing serious quantity and quality losses. In this study, the life history of P. interpunctella was evaluated on different maize varieties, including Simon, Valbom, 703, BK, and BC678. The preadult duration for P. interpunctella were 35.5, 43.1, 39.2, 43.4, and 36.8 d on Simon, Valbom, 703, BK, and BC678, respectively. The mean total longevity on Valbom was 52.2 d which was significantly longer than the 41.8 d on Simon (P = 0.012). The developmental period of moths was the most prolonged on Valbom indicating low nutritional suitability of this variety. However, the moths preferred Valbom for oviposition, and more than 132 eggs were laid on this variety. The most intrinsic rate of increase (r) was reported on BC678 and Simon, while the lowest population growth rate was on BK and Valbom. The highest r value on BC678 and Simon could be due to their high moisture and protein content. Based on the shorter preadult, total preoviposition period, mean generation time and higher life table parameters (gross reproductive rate, r, and λ) that occurred on the BC678, make this variety most favorable host for P. interpunctella. The findings highlighted the importance of maize variety selection in managing this pest in stored food products.

Abstract Image

Abstract Image

Abstract Image

不同玉米品种饲养点间倍蛾的生物学特性及生命表参数。
印度飞蛾(Plodia interpunctella, h bner)是储粮中主要的多食性害虫,造成严重的数量和质量损失。以Simon、Valbom、703、BK、BC678等不同玉米品种为研究对象,研究了点间假单胞菌的生活史。在Simon、Valbom、703、BK和BC678上,点间小蠊的成虫潜伏期分别为35.5、43.1、39.2、43.4和36.8 d。瓦尔博姆的平均总寿命为52.2 d,显著长于西蒙的41.8 d (P = 0.012)。飞蛾发育时期在瓦尔邦上最长,说明该品种营养适宜性较低。然而,飞蛾更倾向于瓦尔博姆产卵,在这个品种上产卵超过132个。b678和Simon的内在增长率(r)最高,BK和Valbom的人口增长率最低。BC678和Simon的r值最高可能是由于它们的水分和蛋白质含量高。BC678具有较短的成虫前期、总产卵期、平均世代时间和较高的生命表参数(总繁殖率、r和λ),是斑间拟虫最有利的寄主。研究结果强调了玉米品种选择在储藏食品中管理这种害虫的重要性。
本文章由计算机程序翻译,如有差异,请以英文原文为准。
求助全文
约1分钟内获得全文 求助全文
来源期刊
Journal of Insect Science
Journal of Insect Science 生物-昆虫学
CiteScore
3.70
自引率
0.00%
发文量
80
审稿时长
7.5 months
期刊介绍: The Journal of Insect Science was founded with support from the University of Arizona library in 2001 by Dr. Henry Hagedorn, who served as editor-in-chief until his death in January 2014. The Entomological Society of America was very pleased to add the Journal of Insect Science to its publishing portfolio in 2014. The fully open access journal publishes papers in all aspects of the biology of insects and other arthropods from the molecular to the ecological, and their agricultural and medical impact.
×
引用
GB/T 7714-2015
复制
MLA
复制
APA
复制
导出至
BibTeX EndNote RefMan NoteFirst NoteExpress
×
提示
您的信息不完整,为了账户安全,请先补充。
现在去补充
×
提示
您因"违规操作"
具体请查看互助需知
我知道了
×
提示
确定
请完成安全验证×
copy
已复制链接
快去分享给好友吧!
我知道了
右上角分享
点击右上角分享
0
联系我们:info@booksci.cn Book学术提供免费学术资源搜索服务,方便国内外学者检索中英文文献。致力于提供最便捷和优质的服务体验。 Copyright © 2023 布克学术 All rights reserved.
京ICP备2023020795号-1
ghs 京公网安备 11010802042870号
Book学术文献互助
Book学术文献互助群
群 号:604180095
Book学术官方微信