Protective Effects of Isolated Curcumin From Curcuma longa on Key Enzymes Involved in the Insulin Signaling Pathway and Digestive and Metabolic Enzymes Associated With Obesity, Type 2 Diabetes, and Hypertension.

IF 3.4 3区 医学 Q2 ENDOCRINOLOGY & METABOLISM
Journal of Diabetes Research Pub Date : 2025-05-08 eCollection Date: 2025-01-01 DOI:10.1155/jdr/8050374
Munirah S O Alhar, Walaa I El-Sofany, Aljazi Abdullah AlRashidi, Khaled Hamden
{"title":"Protective Effects of Isolated Curcumin From <i>Curcuma longa</i> on Key Enzymes Involved in the Insulin Signaling Pathway and Digestive and Metabolic Enzymes Associated With Obesity, Type 2 Diabetes, and Hypertension.","authors":"Munirah S O Alhar, Walaa I El-Sofany, Aljazi Abdullah AlRashidi, Khaled Hamden","doi":"10.1155/jdr/8050374","DOIUrl":null,"url":null,"abstract":"<p><p>This study explores the potential of curcumin (CUR), extracted from <i>Curcuma longa</i>, in combating obesity and Type 2 diabetes. Obesity and Type 2 diabetes were induced in rats through a high-fat and high-fructose diet (HFFD), and CUR, after purification and characterization by Fourier transform infrared spectroscopy (FTIR) and ultraviolet (UV) spectroscopy, was administered for 3 months via gastric gavage. The results show that CUR supplementation activates the insulin signaling pathway in a dose-dependent manner, leading to improved insulin sensitivity. Specifically, administering CUR at a daily dose of 100 mg/kg significantly reduces the activities of protein tyrosine phosphatase (PTP1B) and dipeptidyl peptidase-4 (DPP-4) by 43% and 45%, respectively, in obese and Type 2 diabetic rats compared to untreated obese rats. Furthermore, CUR effectively inhibits lipase and <i>α</i>-amylase activities at both the serum and intestinal levels. In obese rats, CUR administration reduces glycogen phosphorylase (GP) activity by 35% and enhances glycogen synthase (GS) activity by 78%, leading to a substantial increase in hepatic glycogen content. Additionally, CUR also led to a 21% reduction in food intake and a 12% decrease in water consumption. These changes contributed to significant reductions in the blood sugar and glycosylated hemoglobin (HbA1c) levels, with decreases of 59% and 53%, respectively. Additionally, administering CUR at a dose of 100 mg/kg body weight reduced thiobarbituric acid reactive substances (TBARSs), hydrogen peroxide (H<sub>2</sub>O<sub>2</sub>), and total oxidant status (TOS) in obese and diabetic rats, with reductions of 49%, 59%, and 58%, respectively. Furthermore, CUR demonstrates a strong regulatory effect on the levels of low-density lipoprotein cholesterol (LDL-C), high-density lipoprotein cholesterol (HDL-C), and total cholesterol (TC). Overall, these results underscore the CUR potential for treating and preventing diabetes and obesity.</p>","PeriodicalId":15576,"journal":{"name":"Journal of Diabetes Research","volume":"2025 ","pages":"8050374"},"PeriodicalIF":3.4000,"publicationDate":"2025-05-08","publicationTypes":"Journal Article","fieldsOfStudy":null,"isOpenAccess":false,"openAccessPdf":"https://www.ncbi.nlm.nih.gov/pmc/articles/PMC12081152/pdf/","citationCount":"0","resultStr":null,"platform":"Semanticscholar","paperid":null,"PeriodicalName":"Journal of Diabetes Research","FirstCategoryId":"3","ListUrlMain":"https://doi.org/10.1155/jdr/8050374","RegionNum":3,"RegionCategory":"医学","ArticlePicture":[],"TitleCN":null,"AbstractTextCN":null,"PMCID":null,"EPubDate":"2025/1/1 0:00:00","PubModel":"eCollection","JCR":"Q2","JCRName":"ENDOCRINOLOGY & METABOLISM","Score":null,"Total":0}
引用次数: 0

Abstract

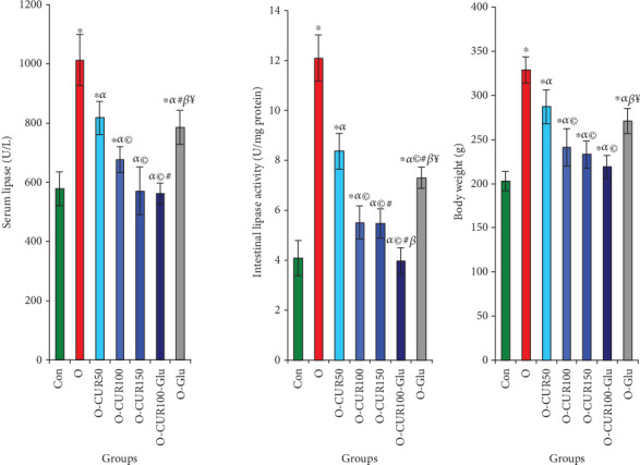
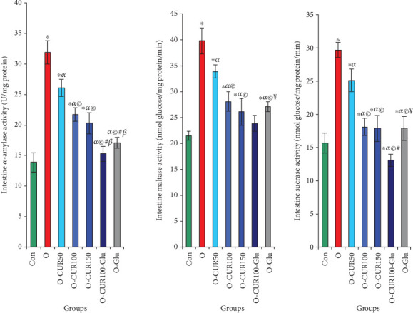
This study explores the potential of curcumin (CUR), extracted from Curcuma longa, in combating obesity and Type 2 diabetes. Obesity and Type 2 diabetes were induced in rats through a high-fat and high-fructose diet (HFFD), and CUR, after purification and characterization by Fourier transform infrared spectroscopy (FTIR) and ultraviolet (UV) spectroscopy, was administered for 3 months via gastric gavage. The results show that CUR supplementation activates the insulin signaling pathway in a dose-dependent manner, leading to improved insulin sensitivity. Specifically, administering CUR at a daily dose of 100 mg/kg significantly reduces the activities of protein tyrosine phosphatase (PTP1B) and dipeptidyl peptidase-4 (DPP-4) by 43% and 45%, respectively, in obese and Type 2 diabetic rats compared to untreated obese rats. Furthermore, CUR effectively inhibits lipase and α-amylase activities at both the serum and intestinal levels. In obese rats, CUR administration reduces glycogen phosphorylase (GP) activity by 35% and enhances glycogen synthase (GS) activity by 78%, leading to a substantial increase in hepatic glycogen content. Additionally, CUR also led to a 21% reduction in food intake and a 12% decrease in water consumption. These changes contributed to significant reductions in the blood sugar and glycosylated hemoglobin (HbA1c) levels, with decreases of 59% and 53%, respectively. Additionally, administering CUR at a dose of 100 mg/kg body weight reduced thiobarbituric acid reactive substances (TBARSs), hydrogen peroxide (H2O2), and total oxidant status (TOS) in obese and diabetic rats, with reductions of 49%, 59%, and 58%, respectively. Furthermore, CUR demonstrates a strong regulatory effect on the levels of low-density lipoprotein cholesterol (LDL-C), high-density lipoprotein cholesterol (HDL-C), and total cholesterol (TC). Overall, these results underscore the CUR potential for treating and preventing diabetes and obesity.

Abstract Image

Abstract Image

Abstract Image

姜黄素对肥胖、2型糖尿病和高血压相关胰岛素信号通路关键酶和消化代谢酶的保护作用
本研究探讨了姜黄素(Curcuma longa)在对抗肥胖和2型糖尿病中的潜力。通过高脂高果糖饮食(HFFD)诱导大鼠肥胖和2型糖尿病,经傅里叶变换红外光谱(FTIR)和紫外光谱(UV)纯化和表征后,经胃灌胃给药3个月。结果表明,补充CUR以剂量依赖的方式激活胰岛素信号通路,从而改善胰岛素敏感性。具体来说,与未治疗的肥胖大鼠相比,每天给药100 mg/kg的CUR显著降低了肥胖大鼠和2型糖尿病大鼠的蛋白酪氨酸磷酸酶(PTP1B)和二肽基肽酶-4 (DPP-4)的活性,分别降低了43%和45%。此外,在血清和肠道水平上,CUR都能有效抑制脂肪酶和α-淀粉酶的活性。在肥胖大鼠中,CUR使糖原磷酸化酶(GP)活性降低35%,使糖原合成酶(GS)活性提高78%,导致肝糖原含量大幅增加。此外,CUR还能减少21%的食物摄入和12%的水消耗。这些变化导致血糖和糖化血红蛋白(HbA1c)水平显著降低,分别降低59%和53%。此外,给药100 mg/kg体重的CUR降低了肥胖和糖尿病大鼠的硫巴比妥酸活性物质(TBARSs)、过氧化氢(H2O2)和总氧化状态(TOS),分别降低了49%、59%和58%。此外,CUR对低密度脂蛋白胆固醇(LDL-C)、高密度脂蛋白胆固醇(HDL-C)和总胆固醇(TC)水平有很强的调节作用。总的来说,这些结果强调了CUR治疗和预防糖尿病和肥胖的潜力。
本文章由计算机程序翻译,如有差异,请以英文原文为准。
求助全文
约1分钟内获得全文 求助全文
来源期刊
Journal of Diabetes Research
Journal of Diabetes Research ENDOCRINOLOGY & METABOLISM-MEDICINE, RESEARCH & EXPERIMENTAL
CiteScore
8.40
自引率
2.30%
发文量
152
审稿时长
14 weeks
期刊介绍: Journal of Diabetes Research is a peer-reviewed, Open Access journal that publishes research articles, review articles, and clinical studies related to type 1 and type 2 diabetes. The journal welcomes submissions focusing on the epidemiology, etiology, pathogenesis, management, and prevention of diabetes, as well as associated complications, such as diabetic retinopathy, neuropathy and nephropathy.
×
引用
GB/T 7714-2015
复制
MLA
复制
APA
复制
导出至
BibTeX EndNote RefMan NoteFirst NoteExpress
×
提示
您的信息不完整,为了账户安全,请先补充。
现在去补充
×
提示
您因"违规操作"
具体请查看互助需知
我知道了
×
提示
确定
请完成安全验证×
copy
已复制链接
快去分享给好友吧!
我知道了
右上角分享
点击右上角分享
0
联系我们:info@booksci.cn Book学术提供免费学术资源搜索服务,方便国内外学者检索中英文文献。致力于提供最便捷和优质的服务体验。 Copyright © 2023 布克学术 All rights reserved.
京ICP备2023020795号-1
ghs 京公网安备 11010802042870号
Book学术文献互助
Book学术文献互助群
群 号:604180095
Book学术官方微信