Assessing the Economic Implications of a Diagnosis-Related Groups Payment System in Iran's Health System Transformation Plan.

IF 1.5 Q2 MEDICINE, GENERAL & INTERNAL
International Journal of Preventive Medicine Pub Date : 2025-04-24 eCollection Date: 2025-01-01 DOI:10.4103/ijpvm.ijpvm_359_23
Yousef Khadivi, Mohsen Nabi Meibodi, Fatemeh Saghafi, Reza Khadivi
{"title":"Assessing the Economic Implications of a Diagnosis-Related Groups Payment System in Iran's Health System Transformation Plan.","authors":"Yousef Khadivi, Mohsen Nabi Meibodi, Fatemeh Saghafi, Reza Khadivi","doi":"10.4103/ijpvm.ijpvm_359_23","DOIUrl":null,"url":null,"abstract":"<p><strong>Background: </strong>The Health System Transformation Plan (HSTP) in Iran aimed to enhance universal health coverage through improved access and reduced out-of-pocket payments. However, rising healthcare expenditures have posed challenges. The Diagnosis-Related Groups (DRG) payment system has been implemented in developed countries to reduce costs, improve efficiency, and enhance service quality. This study estimates the potential cost savings in pharmaceutical and inpatient services within the HSTP framework, focusing on public hospitals affiliated with Isfahan University of Medical Sciences (MUI).</p><p><strong>Methods: </strong>This study was conducted in three stages. First, a cross-sectional study design was used to collect current inpatient and pharmaceutical costs from public hospitals affiliated with MUI before and after the health sector reform. Second, a meta-analysis was conducted to determine the effects of implementing the DRG payment system on the costs of inpatient and pharmaceutical services. Finally, the possible costs of medication and hospitalization in 2015 were estimated by applying the annual inflation rate. The predicted costs were calculated by multiplying the impact values of the DRG payment system on the estimated expenses in 2015. The potential cost savings were calculated by subtracting the current expenses from the predicted expenses based on the DRG payment system.</p><p><strong>Results: </strong>Based on the assumption ratio of changes following the implementation of the DRG payment system, the study estimated cost savings of $60,282,055 in both inpatient and pharmaceutical expenses.</p><p><strong>Conclusions: </strong>Implementing the DRG payment system could have resulted in significant cost savings, equivalent to 9.2% of the total health sector expenditures of MUI.</p>","PeriodicalId":14342,"journal":{"name":"International Journal of Preventive Medicine","volume":"16 ","pages":"22"},"PeriodicalIF":1.5000,"publicationDate":"2025-04-24","publicationTypes":"Journal Article","fieldsOfStudy":null,"isOpenAccess":false,"openAccessPdf":"https://www.ncbi.nlm.nih.gov/pmc/articles/PMC12080936/pdf/","citationCount":"0","resultStr":null,"platform":"Semanticscholar","paperid":null,"PeriodicalName":"International Journal of Preventive Medicine","FirstCategoryId":"1085","ListUrlMain":"https://doi.org/10.4103/ijpvm.ijpvm_359_23","RegionNum":0,"RegionCategory":null,"ArticlePicture":[],"TitleCN":null,"AbstractTextCN":null,"PMCID":null,"EPubDate":"2025/1/1 0:00:00","PubModel":"eCollection","JCR":"Q2","JCRName":"MEDICINE, GENERAL & INTERNAL","Score":null,"Total":0}
引用次数: 0

Abstract

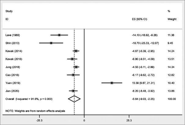
Background: The Health System Transformation Plan (HSTP) in Iran aimed to enhance universal health coverage through improved access and reduced out-of-pocket payments. However, rising healthcare expenditures have posed challenges. The Diagnosis-Related Groups (DRG) payment system has been implemented in developed countries to reduce costs, improve efficiency, and enhance service quality. This study estimates the potential cost savings in pharmaceutical and inpatient services within the HSTP framework, focusing on public hospitals affiliated with Isfahan University of Medical Sciences (MUI).

Methods: This study was conducted in three stages. First, a cross-sectional study design was used to collect current inpatient and pharmaceutical costs from public hospitals affiliated with MUI before and after the health sector reform. Second, a meta-analysis was conducted to determine the effects of implementing the DRG payment system on the costs of inpatient and pharmaceutical services. Finally, the possible costs of medication and hospitalization in 2015 were estimated by applying the annual inflation rate. The predicted costs were calculated by multiplying the impact values of the DRG payment system on the estimated expenses in 2015. The potential cost savings were calculated by subtracting the current expenses from the predicted expenses based on the DRG payment system.

Results: Based on the assumption ratio of changes following the implementation of the DRG payment system, the study estimated cost savings of $60,282,055 in both inpatient and pharmaceutical expenses.

Conclusions: Implementing the DRG payment system could have resulted in significant cost savings, equivalent to 9.2% of the total health sector expenditures of MUI.

Abstract Image

Abstract Image

Abstract Image

评估伊朗卫生系统转型计划中与诊断相关的团体支付系统的经济影响。
背景:伊朗的卫生系统转型计划(HSTP)旨在通过改善可及性和减少自付费用来加强全民健康覆盖。然而,不断增长的医疗支出带来了挑战。为了降低成本、提高效率和提高服务质量,发达国家已经实施了诊断相关组(DRG)支付制度。本研究估计了在HSTP框架内的制药和住院服务的潜在成本节约,重点是伊斯法罕医科大学(MUI)附属的公立医院。方法:本研究分三个阶段进行。首先,采用横断面研究设计收集卫生部门改革前后MUI所属公立医院的住院费用和药费。其次,进行了一项荟萃分析,以确定实施DRG支付系统对住院和药品服务成本的影响。最后,应用年通货膨胀率估算2015年可能的用药和住院费用。预测成本是通过将DRG支付系统对2015年估计费用的影响值相乘来计算的。通过从基于DRG支付系统的预测费用中减去当前费用来计算潜在的成本节约。结果:根据DRG支付系统实施后变化的假设比率,该研究估计住院和药品费用节省了60,282,055美元。结论:实施DRG支付系统可以节省大量费用,相当于MUI卫生部门总支出的9.2%。
本文章由计算机程序翻译,如有差异,请以英文原文为准。
求助全文
约1分钟内获得全文 求助全文
来源期刊
International Journal of Preventive Medicine
International Journal of Preventive Medicine MEDICINE, GENERAL & INTERNAL-
CiteScore
3.20
自引率
4.80%
发文量
107
期刊介绍: International Journal of Preventive Medicine, a publication of Isfahan University of Medical Sciences, is a peer-reviewed online journal with Continuous print on demand compilation of issues published. The journal’s full text is available online at http://www.ijpvmjournal.net. The journal allows free access (Open Access) to its contents and permits authors to self-archive final accepted version of the articles on any OAI-compliant institutional / subject-based repository. The journal will cover technical and clinical studies related to health, ethical and social issues in field of Preventive Medicine. Articles with clinical interest and implications will be given preference.
×
引用
GB/T 7714-2015
复制
MLA
复制
APA
复制
导出至
BibTeX EndNote RefMan NoteFirst NoteExpress
×
提示
您的信息不完整,为了账户安全,请先补充。
现在去补充
×
提示
您因"违规操作"
具体请查看互助需知
我知道了
×
提示
确定
请完成安全验证×
copy
已复制链接
快去分享给好友吧!
我知道了
右上角分享
点击右上角分享
0
联系我们:info@booksci.cn Book学术提供免费学术资源搜索服务,方便国内外学者检索中英文文献。致力于提供最便捷和优质的服务体验。 Copyright © 2023 布克学术 All rights reserved.
京ICP备2023020795号-1
ghs 京公网安备 11010802042870号
Book学术文献互助
Book学术文献互助群
群 号:604180095
Book学术官方微信