Mendelian Randomization Analysis Reveals the Causal Relationships Between Autoimmune Diseases and Idiopathic Thrombocytopenic Purpura and the Mediating Role of Immune Cells.

IF 1.8 Q4 RHEUMATOLOGY
Kaiqing Yan, Lin Sun, Wenyu Gao, Qianqian Cui, Hongxiu Liu, Yun Tian, Siyu Gao, Yanping Ma
{"title":"Mendelian Randomization Analysis Reveals the Causal Relationships Between Autoimmune Diseases and Idiopathic Thrombocytopenic Purpura and the Mediating Role of Immune Cells.","authors":"Kaiqing Yan, Lin Sun, Wenyu Gao, Qianqian Cui, Hongxiu Liu, Yun Tian, Siyu Gao, Yanping Ma","doi":"10.5152/eurjrheum.2025.24100","DOIUrl":null,"url":null,"abstract":"<p><strong>Background: </strong>Idiopathic thrombocytopenic purpura (ITP) is related to multiple autoimmune diseases clinically, yet the causal relationship remains unclear. This study employed Mendelian randomization (MR) to explore the genetic causal relationship between autoimmune diseases and ITP and potential mediators in the European population.</p><p><strong>Methods: </strong>Summary statistics of 10 common autoimmune diseases and ITP were extracted for analysis. Bidirectional two-sample MR and two-step MR were conducted.</p><p><strong>Results: </strong>Multiple sclerosis (MS, inverse variance weighted [IVW]: odds ratio (OR)=5.840E+16, false discovery rate (FDR)=0.049), celiac disease (CeD, IVW: OR=1.173, FDR=0.023), systemic lupus erythematosus (SLE, IVW: OR=1.068, FDR=0.049), and autoimmune hyperthyroidism (AIH, IVW: OR=1.265, FDR=0.037) are risk factors for ITP. Rheumatoid arthritis (RA, IVW: OR=1.112, FDR=0.055) may be a potential risk factor. Crohn's disease (CD, IVW: OR=0.816, FDR=0.049), ulcerative colitis (UC, IVW: OR=0.709, FDR=0.042), and psoriasis (PsO, IVW: OR=1.690E - 04, FDR=0.042) are protective factors. No clear causal relationship between ankylosing spondylitis (AS, IVW: OR=1.016, FDR=0.553) and type 1 diabetes mellitus (T1DM, IVW: OR=1.035, FDR=0.577) and ITP. Immune cells act as mediators between CeD and ITP and CD and ITP.</p><p><strong>Conclusion: </strong>This study clarified the relationship between some autoimmune diseases and ITP and the mediating role of immune cells.</p>","PeriodicalId":12066,"journal":{"name":"European journal of rheumatology","volume":"12 1","pages":"1-7"},"PeriodicalIF":1.8000,"publicationDate":"2025-04-23","publicationTypes":"Journal Article","fieldsOfStudy":null,"isOpenAccess":false,"openAccessPdf":"https://www.ncbi.nlm.nih.gov/pmc/articles/PMC12060185/pdf/","citationCount":"0","resultStr":null,"platform":"Semanticscholar","paperid":null,"PeriodicalName":"European journal of rheumatology","FirstCategoryId":"1085","ListUrlMain":"https://doi.org/10.5152/eurjrheum.2025.24100","RegionNum":0,"RegionCategory":null,"ArticlePicture":[],"TitleCN":null,"AbstractTextCN":null,"PMCID":null,"EPubDate":"","PubModel":"","JCR":"Q4","JCRName":"RHEUMATOLOGY","Score":null,"Total":0}
引用次数: 0

Abstract

Background: Idiopathic thrombocytopenic purpura (ITP) is related to multiple autoimmune diseases clinically, yet the causal relationship remains unclear. This study employed Mendelian randomization (MR) to explore the genetic causal relationship between autoimmune diseases and ITP and potential mediators in the European population.

Methods: Summary statistics of 10 common autoimmune diseases and ITP were extracted for analysis. Bidirectional two-sample MR and two-step MR were conducted.

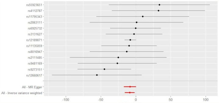
Results: Multiple sclerosis (MS, inverse variance weighted [IVW]: odds ratio (OR)=5.840E+16, false discovery rate (FDR)=0.049), celiac disease (CeD, IVW: OR=1.173, FDR=0.023), systemic lupus erythematosus (SLE, IVW: OR=1.068, FDR=0.049), and autoimmune hyperthyroidism (AIH, IVW: OR=1.265, FDR=0.037) are risk factors for ITP. Rheumatoid arthritis (RA, IVW: OR=1.112, FDR=0.055) may be a potential risk factor. Crohn's disease (CD, IVW: OR=0.816, FDR=0.049), ulcerative colitis (UC, IVW: OR=0.709, FDR=0.042), and psoriasis (PsO, IVW: OR=1.690E - 04, FDR=0.042) are protective factors. No clear causal relationship between ankylosing spondylitis (AS, IVW: OR=1.016, FDR=0.553) and type 1 diabetes mellitus (T1DM, IVW: OR=1.035, FDR=0.577) and ITP. Immune cells act as mediators between CeD and ITP and CD and ITP.

Conclusion: This study clarified the relationship between some autoimmune diseases and ITP and the mediating role of immune cells.

Abstract Image

Abstract Image

Abstract Image

孟德尔随机化分析揭示自身免疫性疾病与特发性血小板减少性紫癜的因果关系及免疫细胞的介导作用
背景:特发性血小板减少性紫癜(ITP)在临床上与多种自身免疫性疾病有关,但因果关系尚不清楚。本研究采用孟德尔随机化(MR)方法在欧洲人群中探讨自身免疫性疾病与ITP及其潜在介质之间的遗传因果关系。方法:对10例常见自身免疫性疾病及ITP进行汇总统计分析。进行双向双样品核磁共振和两步核磁共振。结果:多发性硬化症(MS,逆方差加权[IVW]:优势比(OR)=5.840E+16,假发现率(FDR)=0.049)、乳糜泻(CeD, IVW: OR=1.173, FDR=0.023)、系统性红斑狼疮(SLE, IVW: OR=1.068, FDR=0.049)、自身免疫性甲亢(AIH, IVW: OR=1.265, FDR=0.037)是ITP的危险因素。类风湿关节炎(RA, IVW: OR=1.112, FDR=0.055)可能是潜在的危险因素。克罗恩病(CD, IVW: OR=0.816, FDR=0.049)、溃疡性结肠炎(UC, IVW: OR=0.709, FDR=0.042)、牛皮癣(PsO, IVW: OR=1.690E - 04, FDR=0.042)是保护因素。强直性脊柱炎(AS, IVW: OR=1.016, FDR=0.553)与1型糖尿病(T1DM, IVW: OR=1.035, FDR=0.577)、ITP无明确的因果关系。免疫细胞在CeD与ITP、CD与ITP之间起中介作用。结论:本研究阐明了部分自身免疫性疾病与ITP的关系及免疫细胞的介导作用。
本文章由计算机程序翻译,如有差异,请以英文原文为准。
求助全文
约1分钟内获得全文 求助全文
来源期刊
自引率
0.00%
发文量
56
审稿时长
7 weeks
×
引用
GB/T 7714-2015
复制
MLA
复制
APA
复制
导出至
BibTeX EndNote RefMan NoteFirst NoteExpress
×
提示
您的信息不完整,为了账户安全,请先补充。
现在去补充
×
提示
您因"违规操作"
具体请查看互助需知
我知道了
×
提示
确定
请完成安全验证×
copy
已复制链接
快去分享给好友吧!
我知道了
右上角分享
点击右上角分享
0
联系我们:info@booksci.cn Book学术提供免费学术资源搜索服务,方便国内外学者检索中英文文献。致力于提供最便捷和优质的服务体验。 Copyright © 2023 布克学术 All rights reserved.
京ICP备2023020795号-1
ghs 京公网安备 11010802042870号
Book学术文献互助
Book学术文献互助群
群 号:604180095
Book学术官方微信