Impact of neutrophil-to-lymphocyte ratio on survival outcomes among cirrhotic and non-cirrhotic patients with advanced hepatocellular carcinoma under atezolizumab-bevacizumab combination therapy.

IF 2.2 Q3 GASTROENTEROLOGY & HEPATOLOGY
Annals of Gastroenterology Pub Date : 2025-05-01 Epub Date: 2025-04-22 DOI:10.20524/aog.2025.0963
Spyridon Pantzios, Orestis Sidiropoulos, Antonia Syriha, Ioanna Stathopoulou, Sofia Rellou, Emmanouil Nychas, Georgia Barla, Nikolaos Ptohis, Ioannis Elefsiniotis
{"title":"Impact of neutrophil-to-lymphocyte ratio on survival outcomes among cirrhotic and non-cirrhotic patients with advanced hepatocellular carcinoma under atezolizumab-bevacizumab combination therapy.","authors":"Spyridon Pantzios, Orestis Sidiropoulos, Antonia Syriha, Ioanna Stathopoulou, Sofia Rellou, Emmanouil Nychas, Georgia Barla, Nikolaos Ptohis, Ioannis Elefsiniotis","doi":"10.20524/aog.2025.0963","DOIUrl":null,"url":null,"abstract":"<p><strong>Background: </strong>The efficacy of atezolizumab-bevacizumab in patients with hepatocellular carcinoma (HCC) has not been studied separately in cirrhotic and non-cirrhotic patients. Our aim was to evaluate the efficacy of atezolizumab-bevacizumab in these patients, in relation to baseline values of the neutrophil-to-lymphocyte ratio (NLR).</p><p><strong>Methods: </strong>We divided 57 atezolizumab-bevacizumab-treated HCC patients according to baseline NLR (>3: NLR-H, ≤3: NLR-L) and studied overall survival (OS) and progression-free survival (PFS) in 4 groups: group A, non-cirrhotic/NLR-L; group B, non-cirrhotic/NLR-H; group C, cirrhotic/NLR-L; and group D, cirrhotic/NLR-H.</p><p><strong>Results: </strong>The 4 groups were comparable except for etiology, ALBI grade, macrovascular invasion, Barcelona Clinic Liver Cancer stage and prior therapy. Median OS and PFS were 30, 10, 12 and 5 months, and 14, 4, 8 and 2 months, for groups A, B, C, D, respectively (P<0.001). By Cox regression, cirrhotic/NLR-H patients showed significantly worse OS and PFS. Cirrhotic/NLR-L patients had better OS (12 vs. 5 months, P=0.002) and PFS (8 vs. 2 months, P=0.028) compared to cirrhotic/NLR-H. NLR was significantly correlated with OS (P=0.015). Non-cirrhotic/NLR-L patients had better OS (30 vs. 10 months, P=0.006) and PFS (15 vs. 4 months, P=0.01) compared to non-cirrhotic/NLR-H patients. Prior therapy was significantly correlated with better OS (30 vs. 8 months, P<0.001) and PFS (24 vs. 4 months, P<0.001) in non-cirrhotic patients.</p><p><strong>Conclusions: </strong>Cirrhotic/NLR-H HCC patients presented the worst survival. NLR is an independent risk factor for worse survival in cirrhotic patients. Prior therapy is the only factor significantly correlated with OS and PFS in non-cirrhotic patients.</p>","PeriodicalId":7978,"journal":{"name":"Annals of Gastroenterology","volume":"38 3","pages":"319-327"},"PeriodicalIF":2.2000,"publicationDate":"2025-05-01","publicationTypes":"Journal Article","fieldsOfStudy":null,"isOpenAccess":false,"openAccessPdf":"https://www.ncbi.nlm.nih.gov/pmc/articles/PMC12070338/pdf/","citationCount":"0","resultStr":null,"platform":"Semanticscholar","paperid":null,"PeriodicalName":"Annals of Gastroenterology","FirstCategoryId":"1085","ListUrlMain":"https://doi.org/10.20524/aog.2025.0963","RegionNum":0,"RegionCategory":null,"ArticlePicture":[],"TitleCN":null,"AbstractTextCN":null,"PMCID":null,"EPubDate":"2025/4/22 0:00:00","PubModel":"Epub","JCR":"Q3","JCRName":"GASTROENTEROLOGY & HEPATOLOGY","Score":null,"Total":0}
引用次数: 0

Abstract

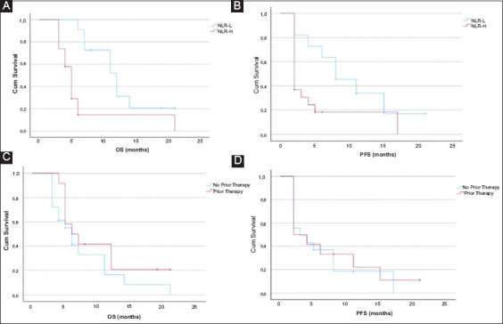
Background: The efficacy of atezolizumab-bevacizumab in patients with hepatocellular carcinoma (HCC) has not been studied separately in cirrhotic and non-cirrhotic patients. Our aim was to evaluate the efficacy of atezolizumab-bevacizumab in these patients, in relation to baseline values of the neutrophil-to-lymphocyte ratio (NLR).

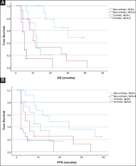
Methods: We divided 57 atezolizumab-bevacizumab-treated HCC patients according to baseline NLR (>3: NLR-H, ≤3: NLR-L) and studied overall survival (OS) and progression-free survival (PFS) in 4 groups: group A, non-cirrhotic/NLR-L; group B, non-cirrhotic/NLR-H; group C, cirrhotic/NLR-L; and group D, cirrhotic/NLR-H.

Results: The 4 groups were comparable except for etiology, ALBI grade, macrovascular invasion, Barcelona Clinic Liver Cancer stage and prior therapy. Median OS and PFS were 30, 10, 12 and 5 months, and 14, 4, 8 and 2 months, for groups A, B, C, D, respectively (P<0.001). By Cox regression, cirrhotic/NLR-H patients showed significantly worse OS and PFS. Cirrhotic/NLR-L patients had better OS (12 vs. 5 months, P=0.002) and PFS (8 vs. 2 months, P=0.028) compared to cirrhotic/NLR-H. NLR was significantly correlated with OS (P=0.015). Non-cirrhotic/NLR-L patients had better OS (30 vs. 10 months, P=0.006) and PFS (15 vs. 4 months, P=0.01) compared to non-cirrhotic/NLR-H patients. Prior therapy was significantly correlated with better OS (30 vs. 8 months, P<0.001) and PFS (24 vs. 4 months, P<0.001) in non-cirrhotic patients.

Conclusions: Cirrhotic/NLR-H HCC patients presented the worst survival. NLR is an independent risk factor for worse survival in cirrhotic patients. Prior therapy is the only factor significantly correlated with OS and PFS in non-cirrhotic patients.

Abstract Image

Abstract Image

Abstract Image

中性粒细胞/淋巴细胞比率对阿特唑单抗-贝伐单抗联合治疗下肝硬化和非肝硬化晚期肝癌患者生存结局的影响
背景:阿特唑单抗-贝伐单抗治疗肝细胞癌(HCC)的疗效尚未分别在肝硬化和非肝硬化患者中进行研究。我们的目的是评估atezolizumab-bevacizumab在这些患者中的疗效,与中性粒细胞与淋巴细胞比率(NLR)的基线值相关。方法:我们根据基线NLR(≤3:NLR- h,≤3:NLR- l)对57例阿特唑单抗-贝伐单抗治疗的HCC患者进行分组,研究4组总生存期(OS)和无进展生存期(PFS): A组,非肝硬化/NLR- l;B组为非肝硬化/NLR-H组;C组为肝硬化/NLR-L;D组为肝硬化/NLR-H。结果:4组患者除病因、ALBI分级、大血管侵犯情况、巴塞罗那临床肝癌分期及既往治疗情况外,均具有可比性。A、B、C、D组的中位OS和PFS分别为30、10、12和5个月,14、4、8和2个月(结论:肝硬化/NLR-H HCC患者的生存期最差。NLR是肝硬化患者生存恶化的独立危险因素。在非肝硬化患者中,既往治疗是唯一与OS和PFS显著相关的因素。
本文章由计算机程序翻译,如有差异,请以英文原文为准。
求助全文
约1分钟内获得全文 求助全文
来源期刊
Annals of Gastroenterology
Annals of Gastroenterology GASTROENTEROLOGY & HEPATOLOGY-
CiteScore
4.30
自引率
0.00%
发文量
58
×
引用
GB/T 7714-2015
复制
MLA
复制
APA
复制
导出至
BibTeX EndNote RefMan NoteFirst NoteExpress
×
提示
您的信息不完整,为了账户安全,请先补充。
现在去补充
×
提示
您因"违规操作"
具体请查看互助需知
我知道了
×
提示
确定
请完成安全验证×
copy
已复制链接
快去分享给好友吧!
我知道了
右上角分享
点击右上角分享
0
联系我们:info@booksci.cn Book学术提供免费学术资源搜索服务,方便国内外学者检索中英文文献。致力于提供最便捷和优质的服务体验。 Copyright © 2023 布克学术 All rights reserved.
京ICP备2023020795号-1
ghs 京公网安备 11010802042870号
Book学术文献互助
Book学术文献互助群
群 号:604180095
Book学术官方微信