Difluprednate achieves a similar clinical outcome after trabeculectomy compared to prednisolone acetate at a significantly lower drop frequency.

IF 2.3 Q2 OPHTHALMOLOGY
Therapeutic Advances in Ophthalmology Pub Date : 2025-05-11 eCollection Date: 2025-01-01 DOI:10.1177/25158414251338602
Marc Töteberg-Harms, Douglas J Rhee
{"title":"Difluprednate achieves a similar clinical outcome after trabeculectomy compared to prednisolone acetate at a significantly lower drop frequency.","authors":"Marc Töteberg-Harms, Douglas J Rhee","doi":"10.1177/25158414251338602","DOIUrl":null,"url":null,"abstract":"<p><strong>Background: </strong>The success of trabeculectomy is highly dependent on postoperative control of inflammation and fibrosis. Prednisolone acetate is the most commonly used topical steroid after ophthalmic surgery. However, non-compliance and adherence problems are constantly thwarting this goal. A topical eye drop regimen that requires fewer drops per day and still achieves the same success rates regarding controlling fibrosis and inflammation is desirable.</p><p><strong>Objective: </strong>This study aimed to evaluate whether similar success rates can be achieved with topical difluprednate, comparable to prednisolone acetate, following trabeculectomy.</p><p><strong>Design: </strong>A single-center, single-surgeon retrospective chart review.</p><p><strong>Methods: </strong>Retrospectively, medical records were evaluated. Inclusion criteria were age ⩾18 years with no upper limit and a diagnosis of open-angle glaucoma. Exclusion criteria were follow-up of <3 months and a history of a concurrent surgery that lowers IOP other than laser trabeculoplasty, cataract surgery, or trabecular meshwork bypass procedures. Success was defined as IOP ⩽ 21 mmHg and ⩾20% reduction below baseline after 1 month, no hypotony (IOP > 5 mmHg), no subsequent glaucoma surgery, and no loss of light perception vision. Primary outcome measures were time to failure and Kaplan-Meier survival, and secondary outcome measures were change in IOP, number of anti-glaucoma medications (AGM), and postoperative interventions and complications.</p><p><strong>Results: </strong>In all, 115 eyes were analyzed: 75 eyes in the prednisolone acetate group, and 40 eyes in the difluprednate group. Baseline characteristics and demographics were similar between the groups. IOP and AGM were significantly lowered, with no difference between the two groups. Failure rates varied between 12% and 31% at 1 year in the prednisolone arm, and between 12% and 35% in the difluprednate arm. No differences between the two treatment arms were found regarding survival statistics.</p><p><strong>Conclusion: </strong>There was no difference in the success rate between the drug used to treat postoperative inflammation and prevent scarring after trabeculectomy. However, fewer drops per day were necessary in the difluprednate group. Both groups showed no difference in the amount by which IOP and AGM were reduced.</p>","PeriodicalId":23054,"journal":{"name":"Therapeutic Advances in Ophthalmology","volume":"17 ","pages":"25158414251338602"},"PeriodicalIF":2.3000,"publicationDate":"2025-05-11","publicationTypes":"Journal Article","fieldsOfStudy":null,"isOpenAccess":false,"openAccessPdf":"https://www.ncbi.nlm.nih.gov/pmc/articles/PMC12066868/pdf/","citationCount":"0","resultStr":null,"platform":"Semanticscholar","paperid":null,"PeriodicalName":"Therapeutic Advances in Ophthalmology","FirstCategoryId":"1085","ListUrlMain":"https://doi.org/10.1177/25158414251338602","RegionNum":0,"RegionCategory":null,"ArticlePicture":[],"TitleCN":null,"AbstractTextCN":null,"PMCID":null,"EPubDate":"2025/1/1 0:00:00","PubModel":"eCollection","JCR":"Q2","JCRName":"OPHTHALMOLOGY","Score":null,"Total":0}
引用次数: 0

Abstract

Background: The success of trabeculectomy is highly dependent on postoperative control of inflammation and fibrosis. Prednisolone acetate is the most commonly used topical steroid after ophthalmic surgery. However, non-compliance and adherence problems are constantly thwarting this goal. A topical eye drop regimen that requires fewer drops per day and still achieves the same success rates regarding controlling fibrosis and inflammation is desirable.

Objective: This study aimed to evaluate whether similar success rates can be achieved with topical difluprednate, comparable to prednisolone acetate, following trabeculectomy.

Design: A single-center, single-surgeon retrospective chart review.

Methods: Retrospectively, medical records were evaluated. Inclusion criteria were age ⩾18 years with no upper limit and a diagnosis of open-angle glaucoma. Exclusion criteria were follow-up of <3 months and a history of a concurrent surgery that lowers IOP other than laser trabeculoplasty, cataract surgery, or trabecular meshwork bypass procedures. Success was defined as IOP ⩽ 21 mmHg and ⩾20% reduction below baseline after 1 month, no hypotony (IOP > 5 mmHg), no subsequent glaucoma surgery, and no loss of light perception vision. Primary outcome measures were time to failure and Kaplan-Meier survival, and secondary outcome measures were change in IOP, number of anti-glaucoma medications (AGM), and postoperative interventions and complications.

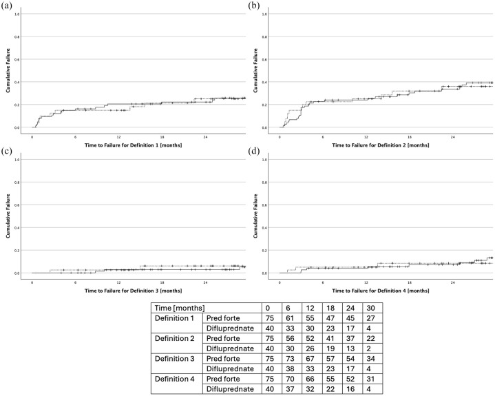
Results: In all, 115 eyes were analyzed: 75 eyes in the prednisolone acetate group, and 40 eyes in the difluprednate group. Baseline characteristics and demographics were similar between the groups. IOP and AGM were significantly lowered, with no difference between the two groups. Failure rates varied between 12% and 31% at 1 year in the prednisolone arm, and between 12% and 35% in the difluprednate arm. No differences between the two treatment arms were found regarding survival statistics.

Conclusion: There was no difference in the success rate between the drug used to treat postoperative inflammation and prevent scarring after trabeculectomy. However, fewer drops per day were necessary in the difluprednate group. Both groups showed no difference in the amount by which IOP and AGM were reduced.

Abstract Image

Abstract Image

Abstract Image

与醋酸泼尼松龙相比,二氟泼尼酯在小梁切除术后取得了相似的临床结果,但下降频率明显较低。
背景:小梁切除术的成功高度依赖于术后炎症和纤维化的控制。醋酸泼尼松龙是眼科手术后最常用的外用类固醇。然而,不遵守和遵守问题不断阻碍这一目标的实现。需要一种局部滴眼液方案,每天需要更少的滴眼液,但在控制纤维化和炎症方面仍能达到相同的成功率。目的:本研究旨在评估小梁切除术后外用二氟泼尼酯(与醋酸泼尼松龙相当)是否能达到相似的成功率。设计:单中心、单外科医生回顾性图表回顾。方法:回顾性分析病历资料。纳入标准是年龄大于或等于18岁,没有上限,诊断为开角型青光眼。排除标准为随访5毫米汞柱,无后续青光眼手术,无光感视力丧失。主要结局指标是失败时间和Kaplan-Meier生存期,次要结局指标是IOP的变化、抗青光眼药物(AGM)的数量、术后干预措施和并发症。结果:共分析115只眼:醋酸泼尼松龙组75只眼,二氟泼尼酯组40只眼。两组之间的基线特征和人口统计学相似。IOP和AGM均显著降低,两组间无差异。泼尼松龙组1年失败率为12% - 31%,二氟泼尼酯组为12% - 35%。两个治疗组的生存统计数据没有差异。结论:小梁切除术后使用药物治疗术后炎症和预防瘢痕形成的成功率无显著差异。然而,在二氟泼尼酯组中,每天需要的滴剂较少。两组在IOP和AGM降低的数量上没有差异。
本文章由计算机程序翻译,如有差异,请以英文原文为准。
求助全文
约1分钟内获得全文 求助全文
来源期刊
CiteScore
4.50
自引率
0.00%
发文量
44
审稿时长
12 weeks
×
引用
GB/T 7714-2015
复制
MLA
复制
APA
复制
导出至
BibTeX EndNote RefMan NoteFirst NoteExpress
×
提示
您的信息不完整,为了账户安全,请先补充。
现在去补充
×
提示
您因"违规操作"
具体请查看互助需知
我知道了
×
提示
确定
请完成安全验证×
copy
已复制链接
快去分享给好友吧!
我知道了
右上角分享
点击右上角分享
0
联系我们:info@booksci.cn Book学术提供免费学术资源搜索服务,方便国内外学者检索中英文文献。致力于提供最便捷和优质的服务体验。 Copyright © 2023 布克学术 All rights reserved.
京ICP备2023020795号-1
ghs 京公网安备 11010802042870号
Book学术文献互助
Book学术文献互助群
群 号:604180095
Book学术官方微信