Biomarkers for successful tapering of a tumor necrosis factor inhibitor in patients with radiographic axial spondyloarthritis: A pilot study.

IF 2.1 Q2 MEDICINE, GENERAL & INTERNAL
SAGE Open Medicine Pub Date : 2025-04-12 eCollection Date: 2025-01-01 DOI:10.1177/20503121251330812
Hong Ki Min, Ji-Yeon Lee
{"title":"Biomarkers for successful tapering of a tumor necrosis factor inhibitor in patients with radiographic axial spondyloarthritis: A pilot study.","authors":"Hong Ki Min, Ji-Yeon Lee","doi":"10.1177/20503121251330812","DOIUrl":null,"url":null,"abstract":"<p><strong>Background: </strong>Tumor necrosis factor inhibitors are the most widely used biological disease-modifying antirheumatic drugs for radiographic axial spondyloarthritis. After achieving remission with tumor necrosis factor inhibitor treatment, experts recommend tapering tumor necrosis factor inhibitor. However, biomarkers for successful tumor necrosis factor inhibitor tapering in radiographic axial spondyloarthritis have not been identified.</p><p><strong>Objectives: </strong>To identify biomarkers associated with successful tumor necrosis factor inhibitor tapering in patients with radiographic axial spondyloarthritis.</p><p><strong>Design: </strong>We prospectively collected blood samples from radiographic axial spondyloarthritis patients at single tertiary hospital.</p><p><strong>Methods: </strong>Patients with radiographic axial spondyloarthritis who achieved remission (axial spondyloarthritis disease activity score < 1.3) after treatment with tumor necrosis factor inhibitor were enrolled. Baseline demographics, medication history, and laboratory data were collected when the tumor necrosis factor inhibitor dose was tapered. The percentage of helper T cell subtypes (Th1/Th2/Th17/Th22) in peripheral blood, and serum levels of tumor necrosis factor-α, interleukin-12, IL-17A, IL-22, IL-23, interferon (IFN)-γ, soluble CD14, and zonulin, were measured. Patients were assigned to tumor necrosis factor inhibitor tapering success (axial spondyloarthritis disease activity score < 2.1) or failure (axial spondyloarthritis disease activity score ⩾ 2.1) groups according to disease activity (assessed at 12 weeks posttumor necrosis factor inhibitor tapering).</p><p><strong>Results: </strong>Twenty radiographic axial spondyloarthritis patients were enrolled (median age, 31.0 years; 65% males). Most (80%) were positive for human leukocyte antigen-B27. The change of axial spondyloarthritis disease activity score in the tumor necrosis factor inhibitor-tapering failure group was 1.36, while that in the tumor necrosis factor inhibitor-tapering success group was 0.07. The percentage of Th1 and Th17 cells was significantly lower, and that of Th2 cells higher, in the tumor necrosis factor inhibitor-tapering success group. In addition, serum levels of IL-12, IL-17A, IL-22, IFN-γ, tumor necrosis factor-α, zonulin, and soluble CD14 were significantly lower in the tumor necrosis factor inhibitor-tapering success group.</p><p><strong>Conclusion: </strong>Patients with radiographic axial spondyloarthritis who achieve successful tumor necrosis factor inhibitor tapering had lower percentages of Th1 and Th17 cells, a higher percentage of Th2 cells, and lower serum levels of IL-12, IL-17A, IL-22, IFN-γ, tumor necrosis factor-α, zonulin, and soluble CD14 at the time of tumor necrosis factor inhibitor tapering. These findings may help to identify patients with radiographic axial spondyloarthritis for whom tumor necrosis factor inhibitor tapering is appropriate.</p>","PeriodicalId":21398,"journal":{"name":"SAGE Open Medicine","volume":"13 ","pages":"20503121251330812"},"PeriodicalIF":2.1000,"publicationDate":"2025-04-12","publicationTypes":"Journal Article","fieldsOfStudy":null,"isOpenAccess":false,"openAccessPdf":"https://www.ncbi.nlm.nih.gov/pmc/articles/PMC12033542/pdf/","citationCount":"0","resultStr":null,"platform":"Semanticscholar","paperid":null,"PeriodicalName":"SAGE Open Medicine","FirstCategoryId":"1085","ListUrlMain":"https://doi.org/10.1177/20503121251330812","RegionNum":0,"RegionCategory":null,"ArticlePicture":[],"TitleCN":null,"AbstractTextCN":null,"PMCID":null,"EPubDate":"2025/1/1 0:00:00","PubModel":"eCollection","JCR":"Q2","JCRName":"MEDICINE, GENERAL & INTERNAL","Score":null,"Total":0}
引用次数: 0

Abstract

Background: Tumor necrosis factor inhibitors are the most widely used biological disease-modifying antirheumatic drugs for radiographic axial spondyloarthritis. After achieving remission with tumor necrosis factor inhibitor treatment, experts recommend tapering tumor necrosis factor inhibitor. However, biomarkers for successful tumor necrosis factor inhibitor tapering in radiographic axial spondyloarthritis have not been identified.

Objectives: To identify biomarkers associated with successful tumor necrosis factor inhibitor tapering in patients with radiographic axial spondyloarthritis.

Design: We prospectively collected blood samples from radiographic axial spondyloarthritis patients at single tertiary hospital.

Methods: Patients with radiographic axial spondyloarthritis who achieved remission (axial spondyloarthritis disease activity score < 1.3) after treatment with tumor necrosis factor inhibitor were enrolled. Baseline demographics, medication history, and laboratory data were collected when the tumor necrosis factor inhibitor dose was tapered. The percentage of helper T cell subtypes (Th1/Th2/Th17/Th22) in peripheral blood, and serum levels of tumor necrosis factor-α, interleukin-12, IL-17A, IL-22, IL-23, interferon (IFN)-γ, soluble CD14, and zonulin, were measured. Patients were assigned to tumor necrosis factor inhibitor tapering success (axial spondyloarthritis disease activity score < 2.1) or failure (axial spondyloarthritis disease activity score ⩾ 2.1) groups according to disease activity (assessed at 12 weeks posttumor necrosis factor inhibitor tapering).

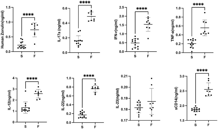
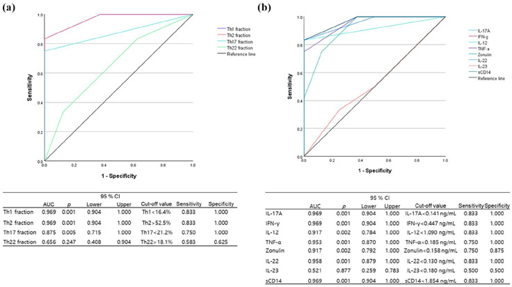
Results: Twenty radiographic axial spondyloarthritis patients were enrolled (median age, 31.0 years; 65% males). Most (80%) were positive for human leukocyte antigen-B27. The change of axial spondyloarthritis disease activity score in the tumor necrosis factor inhibitor-tapering failure group was 1.36, while that in the tumor necrosis factor inhibitor-tapering success group was 0.07. The percentage of Th1 and Th17 cells was significantly lower, and that of Th2 cells higher, in the tumor necrosis factor inhibitor-tapering success group. In addition, serum levels of IL-12, IL-17A, IL-22, IFN-γ, tumor necrosis factor-α, zonulin, and soluble CD14 were significantly lower in the tumor necrosis factor inhibitor-tapering success group.

Conclusion: Patients with radiographic axial spondyloarthritis who achieve successful tumor necrosis factor inhibitor tapering had lower percentages of Th1 and Th17 cells, a higher percentage of Th2 cells, and lower serum levels of IL-12, IL-17A, IL-22, IFN-γ, tumor necrosis factor-α, zonulin, and soluble CD14 at the time of tumor necrosis factor inhibitor tapering. These findings may help to identify patients with radiographic axial spondyloarthritis for whom tumor necrosis factor inhibitor tapering is appropriate.

Abstract Image

Abstract Image

Abstract Image

x线摄影治疗轴性脊柱性关节炎患者肿瘤坏死因子抑制剂成功逐渐减少的生物标志物:一项初步研究。
背景:肿瘤坏死因子抑制剂是影像学轴型脊柱性关节炎应用最广泛的生物减病抗风湿药物。在肿瘤坏死因子抑制剂治疗达到缓解后,专家建议逐渐减少肿瘤坏死因子抑制剂。然而,放射成像的轴性脊柱性关节炎中肿瘤坏死因子抑制剂成功逐渐减少的生物标志物尚未确定。目的:确定与影像学诊断的中轴性脊柱炎患者肿瘤坏死因子抑制剂逐渐减少成功相关的生物标志物。设计:我们前瞻性地采集了在单一三级医院接受放射治疗的轴型脊柱炎患者的血液样本。结果:纳入20例影像学诊断的轴型脊柱炎患者(中位年龄31.0岁;65%的男性)。多数(80%)人白细胞抗原b27阳性。肿瘤坏死因子抑制-锥化失败组轴型颈椎病活动性评分变化为1.36,肿瘤坏死因子抑制-锥化成功组疾病活动性评分变化为0.07。肿瘤坏死因子抑制剂减径成功组Th1、Th17细胞比例明显降低,Th2细胞比例明显升高。此外,IL-12、IL-17A、IL-22、IFN-γ、肿瘤坏死因子-α、zonulin和可溶性CD14水平在肿瘤坏死因子抑制剂逐渐减少成功组显著降低。结论:影像学诊断的轴型脊柱炎患者在肿瘤坏死因子抑制剂逐渐减少时,Th1和Th17细胞百分比较低,Th2细胞百分比较高,血清IL-12、IL-17A、IL-22、IFN-γ、肿瘤坏死因子-α、zonulin和可溶性CD14水平较低。这些发现可能有助于鉴别影像学诊断的中轴性脊柱炎患者是否适合肿瘤坏死因子抑制剂逐渐减少治疗。
本文章由计算机程序翻译,如有差异,请以英文原文为准。
求助全文
约1分钟内获得全文 求助全文
来源期刊
SAGE Open Medicine
SAGE Open Medicine MEDICINE, GENERAL & INTERNAL-
CiteScore
3.50
自引率
4.30%
发文量
289
审稿时长
12 weeks
×
引用
GB/T 7714-2015
复制
MLA
复制
APA
复制
导出至
BibTeX EndNote RefMan NoteFirst NoteExpress
×
提示
您的信息不完整,为了账户安全,请先补充。
现在去补充
×
提示
您因"违规操作"
具体请查看互助需知
我知道了
×
提示
确定
请完成安全验证×
copy
已复制链接
快去分享给好友吧!
我知道了
右上角分享
点击右上角分享
0
联系我们:info@booksci.cn Book学术提供免费学术资源搜索服务,方便国内外学者检索中英文文献。致力于提供最便捷和优质的服务体验。 Copyright © 2023 布克学术 All rights reserved.
京ICP备2023020795号-1
ghs 京公网安备 11010802042870号
Book学术文献互助
Book学术文献互助群
群 号:604180095
Book学术官方微信