Effects of ciprofol on respiratory-related adverse incidence in patients with obesity during painless gastroscopy: a prospective, randomized clinical trial.

IF 2.1 3区 医学 Q2 ANESTHESIOLOGY
Yanjing Zhang, Danru Xie, Feifei Li, Mengjiao Che, Yaoheng Yang, Geng Li, Yiwen Zhang
{"title":"Effects of ciprofol on respiratory-related adverse incidence in patients with obesity during painless gastroscopy: a prospective, randomized clinical trial.","authors":"Yanjing Zhang, Danru Xie, Feifei Li, Mengjiao Che, Yaoheng Yang, Geng Li, Yiwen Zhang","doi":"10.1186/s13741-025-00529-5","DOIUrl":null,"url":null,"abstract":"<p><strong>Background: </strong>Ciprofol is an intravenous anesthetic agent which in low doses produces sedation. It was developed via structural modification of propofol. Ciprofol is claimed to reduce respiratory depression. The object of the present study was to investigate whether or not ciprofol did actually reduce respiratory depression or not in patients with obesity undergoing gastroscopy.</p><p><strong>Methods: </strong>A total of 84 patients with obesity scheduled for gastroscopy were enrolled. The participants were randomly allocated to receive sedation with ciprofol (group C) or propofol (group P). The primary outcome was the incidence of respiratory-related adverse events (AEs), whereas the secondary outcomes were the incidence of further intraoperative and postoperative AEs; procedure and anesthesia success rates; Narcotrend index (NI); induction dosage; procedure time; recovery time; discharge time; and satisfaction ratings from the patients, anesthesiologists, and endoscopists.</p><p><strong>Results: </strong>The incidence of respiratory-related AEs was significantly lower in group C than in group P (17.5% vs. 57.5%; P < 0.001). The occurrence of hypotension and movement during procedural events in group C was markedly reduced compared with that in group P (P = 0.024 and 0.007, respectively). No notable differences were observed in the occurrence of additional AEs or in the success rates of the procedure and anesthesia between the two groups (P > 0.05). The three-point satisfaction levels were comparable between the groups (P > 0.05).</p><p><strong>Conclusions: </strong>0.4 mg/kg of ciprofol provides anesthesia comparable with 2.0 mg/kg of propofol. However, it is related to reduced respiratory-related AEs and hypotension during gastroscopy in patients with obesity; thus, ciprofol is preferred to propofol for anesthesia in obese patients.</p><p><strong>Trial registration: </strong>This study was registered in the Chinese Clinical Trial Registry (KYLS20230625; first registration date: 29/06/2023).</p>","PeriodicalId":19764,"journal":{"name":"Perioperative Medicine","volume":"14 1","pages":"49"},"PeriodicalIF":2.1000,"publicationDate":"2025-04-29","publicationTypes":"Journal Article","fieldsOfStudy":null,"isOpenAccess":false,"openAccessPdf":"https://www.ncbi.nlm.nih.gov/pmc/articles/PMC12038989/pdf/","citationCount":"0","resultStr":null,"platform":"Semanticscholar","paperid":null,"PeriodicalName":"Perioperative Medicine","FirstCategoryId":"3","ListUrlMain":"https://doi.org/10.1186/s13741-025-00529-5","RegionNum":3,"RegionCategory":"医学","ArticlePicture":[],"TitleCN":null,"AbstractTextCN":null,"PMCID":null,"EPubDate":"","PubModel":"","JCR":"Q2","JCRName":"ANESTHESIOLOGY","Score":null,"Total":0}
引用次数: 0

Abstract

Background: Ciprofol is an intravenous anesthetic agent which in low doses produces sedation. It was developed via structural modification of propofol. Ciprofol is claimed to reduce respiratory depression. The object of the present study was to investigate whether or not ciprofol did actually reduce respiratory depression or not in patients with obesity undergoing gastroscopy.

Methods: A total of 84 patients with obesity scheduled for gastroscopy were enrolled. The participants were randomly allocated to receive sedation with ciprofol (group C) or propofol (group P). The primary outcome was the incidence of respiratory-related adverse events (AEs), whereas the secondary outcomes were the incidence of further intraoperative and postoperative AEs; procedure and anesthesia success rates; Narcotrend index (NI); induction dosage; procedure time; recovery time; discharge time; and satisfaction ratings from the patients, anesthesiologists, and endoscopists.

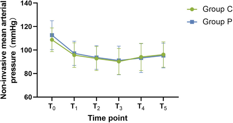
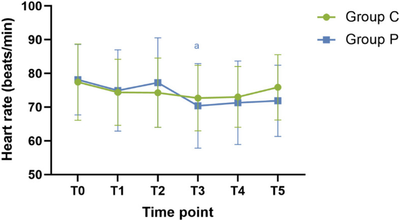
Results: The incidence of respiratory-related AEs was significantly lower in group C than in group P (17.5% vs. 57.5%; P < 0.001). The occurrence of hypotension and movement during procedural events in group C was markedly reduced compared with that in group P (P = 0.024 and 0.007, respectively). No notable differences were observed in the occurrence of additional AEs or in the success rates of the procedure and anesthesia between the two groups (P > 0.05). The three-point satisfaction levels were comparable between the groups (P > 0.05).

Conclusions: 0.4 mg/kg of ciprofol provides anesthesia comparable with 2.0 mg/kg of propofol. However, it is related to reduced respiratory-related AEs and hypotension during gastroscopy in patients with obesity; thus, ciprofol is preferred to propofol for anesthesia in obese patients.

Trial registration: This study was registered in the Chinese Clinical Trial Registry (KYLS20230625; first registration date: 29/06/2023).

Abstract Image

Abstract Image

Abstract Image

环丙酚对无痛胃镜检查中肥胖患者呼吸相关不良事件的影响:一项前瞻性随机临床试验
背景:环丙酚是一种低剂量的静脉麻醉药,具有镇静作用。它是通过异丙酚的结构改性而发展起来的。据说环丙酚可以减轻呼吸抑制。本研究的目的是调查环丙酚是否确实减轻了接受胃镜检查的肥胖患者的呼吸抑制。方法:共纳入84例计划进行胃镜检查的肥胖患者。参与者被随机分配接受环丙酚(C组)或异丙酚(P组)镇静。主要结局是呼吸相关不良事件(ae)的发生率,而次要结局是术中和术后进一步ae的发生率;手术和麻醉成功率;麻醉趋势指数;诱导剂量;手术时间;恢复时间;放电时间;以及患者,麻醉师和内窥镜师的满意度评分。结果:C组呼吸相关不良事件发生率明显低于P组(17.5% vs. 57.5%;P 0.05)。各组间三点满意度具有可比性(P < 0.05)。结论:0.4 mg/kg环丙酚的麻醉效果与2.0 mg/kg异丙酚相当。然而,它与肥胖患者胃镜检查时呼吸相关ae和低血压的减少有关;因此,在肥胖患者中,环丙酚比异丙酚更适合麻醉。试验注册:本研究已在中国临床试验注册中心注册(KYLS20230625;首次注册日期:2023年6月29日)。
本文章由计算机程序翻译,如有差异,请以英文原文为准。
求助全文
约1分钟内获得全文 求助全文
来源期刊
自引率
3.80%
发文量
55
审稿时长
10 weeks
×
引用
GB/T 7714-2015
复制
MLA
复制
APA
复制
导出至
BibTeX EndNote RefMan NoteFirst NoteExpress
×
提示
您的信息不完整,为了账户安全,请先补充。
现在去补充
×
提示
您因"违规操作"
具体请查看互助需知
我知道了
×
提示
确定
请完成安全验证×
copy
已复制链接
快去分享给好友吧!
我知道了
右上角分享
点击右上角分享
0
联系我们:info@booksci.cn Book学术提供免费学术资源搜索服务,方便国内外学者检索中英文文献。致力于提供最便捷和优质的服务体验。 Copyright © 2023 布克学术 All rights reserved.
京ICP备2023020795号-1
ghs 京公网安备 11010802042870号
Book学术文献互助
Book学术文献互助群
群 号:604180095
Book学术官方微信