Celiac Disease Increases the Risk of Multiple Sclerosis: Evidence from Mendelian Randomization and the Role of CCL19.

IF 2.1 4区 医学 Q3 MEDICINE, RESEARCH & EXPERIMENTAL
Experimental Neurobiology Pub Date : 2025-04-30 Epub Date: 2025-04-15 DOI:10.5607/en25009
Seongjin Lim, Junhua Wu, Yeon Woo Kim, Sun Woo Lim, Juhee Shin, Hyo Jung Shin, Sang Ryong Kim, Dong Woon Kim
{"title":"Celiac Disease Increases the Risk of Multiple Sclerosis: Evidence from Mendelian Randomization and the Role of CCL19.","authors":"Seongjin Lim, Junhua Wu, Yeon Woo Kim, Sun Woo Lim, Juhee Shin, Hyo Jung Shin, Sang Ryong Kim, Dong Woon Kim","doi":"10.5607/en25009","DOIUrl":null,"url":null,"abstract":"<p><p>Celiac disease (CeD) is an autoimmune disorder triggered by gluten, primarily affecting the small intestine but potentially impacting other systems, including the nervous system through the gut-brain axis. This study employed Mendelian randomization (MR) to explore the causal relationships between CeD and several neurological disorders, with a particular focus on multiple sclerosis (MS). Utilizing genetic data from the OpenGWAS and Finngen databases, we applied various MR methods, including Inverse Variance Weighted (IVW), IVW-multiplicative random effects (MRE), weighted median (WM), MR-Egger, and robust adjusted profile score (RAPS), to investigate these associations. The analysis revealed no significant causal relationship between CeD and several other neurological disorders, but a significant positive association with MS was found (IVW OR=1.1919, 95% CI: 1.0851~1.3092, p=0.0002). Further analysis indicated that the mediator CCL19 plays a significant role in the pathway from CeD to MS, suggesting that CCL19 may be a key factor in the immune response linking these conditions. This mediation effect highlights the potential mechanism through which CeD increases the risk of developing MS. These findings emphasize the complexity of the relationship between CeD and MS, indicating the need for further research to understand these connections better and their clinical implications.</p>","PeriodicalId":12263,"journal":{"name":"Experimental Neurobiology","volume":"34 2","pages":"63-76"},"PeriodicalIF":2.1000,"publicationDate":"2025-04-30","publicationTypes":"Journal Article","fieldsOfStudy":null,"isOpenAccess":false,"openAccessPdf":"https://www.ncbi.nlm.nih.gov/pmc/articles/PMC12069928/pdf/","citationCount":"0","resultStr":null,"platform":"Semanticscholar","paperid":null,"PeriodicalName":"Experimental Neurobiology","FirstCategoryId":"3","ListUrlMain":"https://doi.org/10.5607/en25009","RegionNum":4,"RegionCategory":"医学","ArticlePicture":[],"TitleCN":null,"AbstractTextCN":null,"PMCID":null,"EPubDate":"2025/4/15 0:00:00","PubModel":"Epub","JCR":"Q3","JCRName":"MEDICINE, RESEARCH & EXPERIMENTAL","Score":null,"Total":0}
引用次数: 0

Abstract

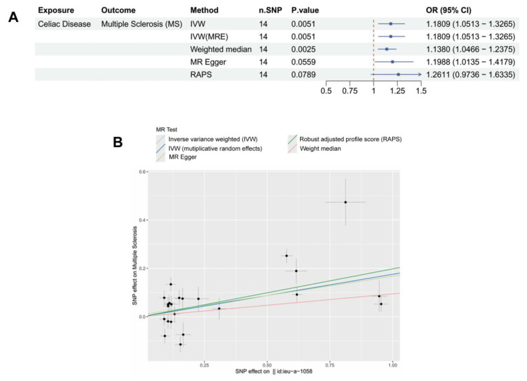
Celiac disease (CeD) is an autoimmune disorder triggered by gluten, primarily affecting the small intestine but potentially impacting other systems, including the nervous system through the gut-brain axis. This study employed Mendelian randomization (MR) to explore the causal relationships between CeD and several neurological disorders, with a particular focus on multiple sclerosis (MS). Utilizing genetic data from the OpenGWAS and Finngen databases, we applied various MR methods, including Inverse Variance Weighted (IVW), IVW-multiplicative random effects (MRE), weighted median (WM), MR-Egger, and robust adjusted profile score (RAPS), to investigate these associations. The analysis revealed no significant causal relationship between CeD and several other neurological disorders, but a significant positive association with MS was found (IVW OR=1.1919, 95% CI: 1.0851~1.3092, p=0.0002). Further analysis indicated that the mediator CCL19 plays a significant role in the pathway from CeD to MS, suggesting that CCL19 may be a key factor in the immune response linking these conditions. This mediation effect highlights the potential mechanism through which CeD increases the risk of developing MS. These findings emphasize the complexity of the relationship between CeD and MS, indicating the need for further research to understand these connections better and their clinical implications.

Abstract Image

Abstract Image

Abstract Image

乳糜泻增加多发性硬化症的风险:来自孟德尔随机化和CCL19作用的证据
乳糜泻(CeD)是一种由麸质引发的自身免疫性疾病,主要影响小肠,但可能影响其他系统,包括通过肠-脑轴的神经系统。本研究采用孟德尔随机化(MR)来探讨CeD与几种神经系统疾病之间的因果关系,特别关注多发性硬化症(MS)。利用来自OpenGWAS和Finngen数据库的遗传数据,我们应用了各种MR方法,包括逆方差加权(IVW)、IVW乘法随机效应(MRE)、加权中位数(WM)、MR- egger和稳健调整谱评分(RAPS),来研究这些关联。分析显示,CeD与其他几种神经系统疾病无显著的因果关系,但与MS有显著的正相关(IVW OR=1.1919, 95% CI: 1.0851~1.3092, p=0.0002)。进一步分析表明,CCL19介质在CeD到MS的通路中发挥重要作用,提示CCL19可能是连接这些疾病的免疫应答的关键因素。这一中介效应凸显了CeD增加MS发病风险的潜在机制。这些发现强调了CeD与MS之间关系的复杂性,表明需要进一步研究以更好地理解这些联系及其临床意义。
本文章由计算机程序翻译,如有差异,请以英文原文为准。
求助全文
约1分钟内获得全文 求助全文
来源期刊
Experimental Neurobiology
Experimental Neurobiology Neuroscience-Cellular and Molecular Neuroscience
CiteScore
4.30
自引率
4.20%
发文量
29
期刊介绍: Experimental Neurobiology is an international forum for interdisciplinary investigations of the nervous system. The journal aims to publish papers that present novel observations in all fields of neuroscience, encompassing cellular & molecular neuroscience, development/differentiation/plasticity, neurobiology of disease, systems/cognitive/behavioral neuroscience, drug development & industrial application, brain-machine interface, methodologies/tools, and clinical neuroscience. It should be of interest to a broad scientific audience working on the biochemical, molecular biological, cell biological, pharmacological, physiological, psychophysical, clinical, anatomical, cognitive, and biotechnological aspects of neuroscience. The journal publishes both original research articles and review articles. Experimental Neurobiology is an open access, peer-reviewed online journal. The journal is published jointly by The Korean Society for Brain and Neural Sciences & The Korean Society for Neurodegenerative Disease.
×
引用
GB/T 7714-2015
复制
MLA
复制
APA
复制
导出至
BibTeX EndNote RefMan NoteFirst NoteExpress
×
提示
您的信息不完整,为了账户安全,请先补充。
现在去补充
×
提示
您因"违规操作"
具体请查看互助需知
我知道了
×
提示
确定
请完成安全验证×
copy
已复制链接
快去分享给好友吧!
我知道了
右上角分享
点击右上角分享
0
联系我们:info@booksci.cn Book学术提供免费学术资源搜索服务,方便国内外学者检索中英文文献。致力于提供最便捷和优质的服务体验。 Copyright © 2023 布克学术 All rights reserved.
京ICP备2023020795号-1
ghs 京公网安备 11010802042870号
Book学术文献互助
Book学术文献互助群
群 号:604180095
Book学术官方微信